上海世纪前滩天汇-世纪前滩天汇(上海)楼盘详情-房价-户型-交通-小区环境
扫描到手机,新闻随时看
扫一扫,用手机看文章
更加方便分享给朋友
上海世纪前滩天汇
售楼部热线:400-9678-224欢迎来电咨询! 可预约销售人员,专业一对一热情服务,让您用专业眼光去买房。
最新消息!前滩开盘当天去化77%!世纪前滩·天汇,直接认购中!前滩新房收官之作,建面约110-290㎡2-4房,均价13.2万!一房一价
继世纪前滩天御入市后
前滩收官之作
——世纪前滩·天汇
建面约110-290㎡2-4房
仅258席!入住前滩新房的最后机会!
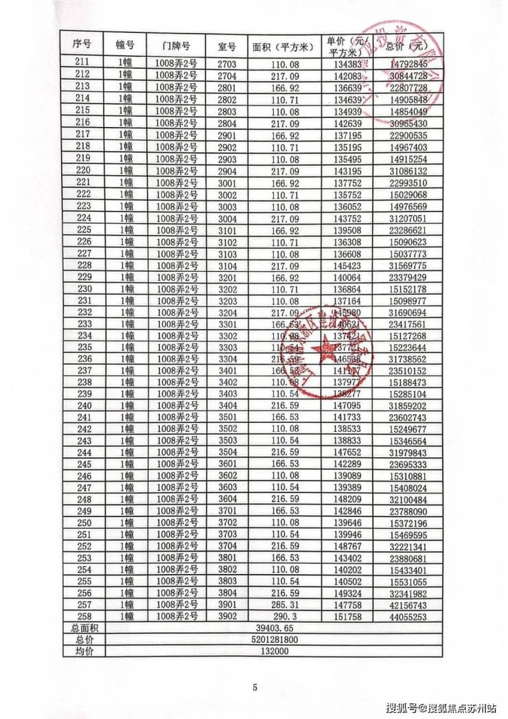
项目有2栋住宅楼,总高39层,住宅5楼起,3梯4户设计。
主力户型:约110平米左右两房两厅,约163平米三房两厅,约213-217平米四房两厅,合计仅258套。
前滩21地块位于前滩太古里商业旁,总体量高达约60万㎡,是一个集购物中心、企业办公和住宅为一体的综合型项目。
21地块包括21-02&21-03两个小地块,两个地块都不是纯住宅,均配建办公楼及商业中心。
整个21地块包含2栋约200米的办公楼和办公楼裙楼5层的商业中心,还有4栋约149米的超高层住宅。
21-02地块「世纪前滩天御」已于5月首开入市,均价12.98万/m²。21-03地块「世纪前滩天汇」则是前滩最后收官的住宅项目地块。
地块介绍:
拟建一栋159.5米高的32层写字楼(裙楼为局部5层的商业中心),以及两栋146.05米高的39层公寓楼。
四至范围:东至济阳路,南至海阳西路,西至东育路与前康路,北至前安路
△公示图
该地块总建筑面积约21.95万方,用地面积约2.37万方,容积率为5.5,约258套住宅。
效果图如下:
其他3盘则都是3房户型为主,户型也没那么多样。

世纪前滩天汇大户型在十批次几乎没有竞品,小户型竞争激烈,或存在捡漏可能。
其次,项目本身的超高层属性在上海市场也有一些争议。
世纪前滩天汇推出2栋39F超高层,总高146米。超高层豪宅,究竟值不值得买呢?

所以,超高层住宅有优势也有劣势,各有千秋。
最后说下世纪前滩天汇的周边配套,项目占据着整个前滩的核心位置,是一个四线交汇的TOD综合体。
项目比邻前滩太古里和信德文化中心,下楼步行尽享前滩顶级配套!
通过6/8/11/19号线四条轨交,徐汇滨江、徐家汇、人民广场、陆家嘴也都在业主的生活圈内。
世纪前滩天汇本身也是前滩的地标建筑之一,地上地下有超过17万㎡的商业规划,与前滩太古里组合起来,构成了一个近30万㎡的超级商业枢纽,规模媲美徐家汇ITC。
毋庸置疑,这里将会成为上海又一个“宇宙中心级”商业中心。
世纪前滩天汇均价约13.2万/㎡,浦东前滩次新房很多,二手房价我们参考地段更好,房龄比较新的晶耀名邸三期。
根据链家的挂牌信息,晶耀名邸目前挂牌价普遍在17-19万/㎡。

近2年,晶耀名邸非低区成交普遍集中在15-18万/㎡。
所以,世纪前滩天汇的一二手价差保守估计在3-6万之间!
总的来说,前滩仍具备较强的投资属性,世纪前滩天汇这批房源很可能也不会触发积分,小户型有捡漏机会。
上海世纪前滩天汇
售楼部热线:400-9678-224欢迎来电咨询! 可预约销售人员,专业一对一热情服务,让您用专业
眼光去买房。
房产知识解答:
一、现房和期房:
现房是已经建好的房子,而且可以直接领到房产证,过户入住。
二、70年产权
70年产权在我国法律规定中,“土地使用权”与“房屋产权”是两个不同的概念,土地使用权出让的较高年限是:居住用地70年,70年土地使用期满后,土地收归国有,地上建筑物仍然属于业主所有,如果再次申请土地使用权,则应该根据当时的地价水平,补缴土地出让金。
三、公摊
所谓公摊面积,是分摊的公用建筑面积的简称,它与套内建筑面积之和构成了一套商品房的建筑面积。需要分摊的共有建筑面积为整幢建筑物的建筑面积扣除整幢建筑物各套套内建筑面积之和,并扣除作为独立使用的地下室、车棚、车库,为多幢服务的警卫室、管理用房,以及人防工程等之后的建筑面积。
四、容积率
容积率,是指一个小区的地上总建筑面积与用地面积的比率。对于开发商来说,容积率决定地价成本在房屋中占的比例,而对于住户来说,容积率直接涉及到居住的舒适度。一个良好的居住小区,高层住宅容积率应不超过4,多层住宅应不超过1.5,绿地率应不低于40%。
五、得房率
得房率售楼处电话:400-9678-224【售楼热线】=(建筑面积-公摊面积)/销售面积,是买房比较重要的一个指标。计算房屋面积时,计算的是建筑面积,所以得房率太低,不实惠;太高,不方便。因为得房率越高,公共部分的面积就越少,住户也会感到压抑。一般,得房率在80%左右比较合适,公共部分既宽敞气派,分摊的面积也不会太多,比较实惠。
六、房屋使用面积
房屋使用面积是指住宅中以户(套)为单位的分户(套)门内全部可供使用的空间的水平投影面积。包括日常生活起居使用的卧室、起居室和客厅、亭子间、厨房、卫生间、室内走道、楼梯、壁橱、阳台、地下室、假层、附层(夹层)、阁楼(暗楼)等面积。住宅使用面积按住宅的内墙面水平投影线计算。内墙面装修厚度计入使用面积。
七、建筑类型
多层:高于10米、低于或等于24米的建筑物。多层房屋一般为4~8层,一般采用砖混结构,少数采用钢筋混凝土结构。
高层:高于24米的建筑。8层以上(可含8层)的建筑体,一般可分为小高层、高层和超高层。人们一般把8层至12或13层的建筑称为“小高层”。
低层:高度低于或等于10米的建筑物,一般是1~3层建筑物,如平房、别墅等。
Real estate knowledge answer:
1、 Current and future properties:
The current house is already built and can be directly obtained with a property certificate for transfer and occupancy.
2、 70 year property rights
In the legal provisions of China, the term "land use right" and "housing property right" are two different concepts. The higher term for the transfer of land use right is: 70 years for residential land. After the expiration of the 70 year land use period, the land will be nationalized, and the buildings on the ground will still belong to the owner. If the land use right is applied for again, the land transfer fee should be paid according to the current land price level.
3、 Public stall
The so-called shared area is the abbreviation of the shared public building area, which, together with the internal building area, constitutes the building area of a commercial housing. The shared building area that needs to be shared is the total building area of the entire building, minus the total building area of each suite of the entire building, and minus the building area of independ
上海世纪前滩天汇
售楼部热线:400-9678-224欢迎来电咨询! 可预约销售人员,专业一对一热情服务,让您用专业眼光去买房。
注:(免责声明:本宣传资料仅为宣传,内附所有资料,包括任何图片、插图、设计图、文字描述或其他资料,仅供参考或识别之用,不构成合同内容,具体内容以合同内容及政府最终审批为准。项目所涉及数据均为暂定,后期如有改动,请以各项证件及政府批文等为准,本宣传资料部分素材源于网络,最终交付标准以商品房买卖合同及政府等相关部门的批准文件为准。在法律允许的范围内,开发商保留修改本资料的权利,敬请留意。)
声明:本文由入驻焦点开放平台的作者撰写,除焦点官方账号外,观点仅代表作者本人,不代表焦点立场。


