【新盘】锦绣澜湾(上海锦绣澜湾)官方网站-锦绣澜湾楼盘详情-房价-户型图-容积率-小区环境
扫描到手机,新闻随时看
扫一扫,用手机看文章
更加方便分享给朋友
上海浦东锦绣澜湾售楼处电话:400-8828-814✔✔【预约热线】锦绣澜湾售楼处营销中心:400-8828-814锦绣澜湾售楼处电话/地址☎:400-882-8814(开发商热线)如有问题欢迎来电咨询,专业一对一热情服务,让您用专业眼光去买房。浦东航头镇核心板块,建面约89-127㎡3房户型,均价4.8361万/㎡精装&毛坯,浦东18号线地铁航头站旁。
项目地块信息
2022年7月25日,二批次土拍,上海祝湛建设发展有限公司(陆家嘴)以底价316580万元竞得浦东新区航头镇商贸中心单元(PDS1-0203)A2A-06、A2B-04地块,房地联动价4.83万/㎡!
锦绣澜湾售楼处电话☎:400-882-8814(预约热线)✔✔✔
项目东至A2B-03地块,南至航潭路,西至A2A-05地块,北至A2A-05、A2B-03地块,位于金地艺华年与爱法奥朗新庄园之间,距离18号线航头站步行距离约1.5公里!
项目区位示意图
项目总投资约50亿元,将为航头镇提供约1300套高品质商品住宅,计划于2025年10月竣工交付。
锦绣澜湾售楼处电话☎:400-882-8814(预约热线)✔✔✔作为陆家嘴集团进军航头的首个项目,项目团队从规划、建筑、景观、室内四大维度精心设计,并将在项目开发过程中,用心打磨项目每一个细节,秉持“陆家嘴”品牌的有品质、高标准建设理念,致力于打造有温度的精品建筑。
项目推售详情
锦绣澜湾售楼处电话☎:400-882-8814(预约热线)✔✔✔【陆家嘴锦绣澜湾】是一个大型商品房居住社区,占地面积约6.9万平方米,总建筑面积20.5万平方米,规划建设22幢高层住宅及其配套用房、一层地下车库,同时还将代建怡谷路。
锦绣澜湾售楼处电话☎:400-882-8814(预约热线)✔✔✔
项目整体采用现代典雅的建筑风格,打造新海派滨水国际生活住区。建筑立面简洁又不失庄重典雅。
项目效果图
景观方面,营造公园式景观和滨水湾居生活场景,地块未来打造三面环水,造就舒适私密的岛居氛围。匹配“新海派生活”的多元需求。
项目效果图
锦绣澜湾售楼处电话☎:400-882-8814(预约热线)✔✔✔
项目效果图
项目以森系围界,拥有优美的天际线,秉承以人为本的原则,运用植物大健康战略营造防尘降噪、降温降湿的康养人居,以“康养”贯穿全园。具体包括:
·约230m烟火慢街区,大尺度全季共享街区;
·约320m景观礼仪轴,活力、现代的城市界面。
项目效果图
锦绣澜湾售楼处电话☎:400-882-8814(预约热线)✔✔✔
项目效果图
产品方面,项目将推出建面约89-99-105-127㎡三房,全飘窗设计,精装或毛坯交付,可满足不同的置业需求,总价约354万-650万左右!
全套户型图如下:
建面约89㎡3房,户型方正,三开间朝南。餐客厅一体,连通阳台,采光通风俱佳。全卧飘窗,主卧套房设计,提升了舒适度。1.5卫设计更加人性化,便于使用。
锦绣澜湾售楼处电话☎:400-882-8814(预约热线)✔✔✔
建面约99㎡3房,双开间朝南,双联观景阳台,具有良好的采光、通风。LDK设计,增强互动交流。套房式主卧,步入式衣帽间,兼具舒适性和私密性。
锦绣澜湾售楼处电话☎:400-882-8814(预约热线)✔✔✔
锦绣澜湾售楼处电话☎:400-882-8814(预约热线)✔✔✔建面约105㎡3房,餐客大横厅设计,与南面阔景阳台相连,采光通风良好。全卧飘窗,主卧套房设计,提升了居住舒适度。U型厨房,动线流畅。
多面采光,南向双联阳台,增强了通透性。独立储物间设计,更具有实用性、功能性。动线合理,没有面积浪费。
建面约127㎡3房,飞机户型,动静分区。双套房设计,私密性舒适性俱佳。客厅预留灵动空间,可作为书房、儿童活动区使用。
样板间实景图▼
锦绣澜湾售楼处电话☎:400-882-8814(预约热线)✔✔✔
项目区位配套
交通配套方面:项目周边16/18号线双轨交环绕。距离18号线航头站步行距离约1.5公里。18号线被称为浦东南北新动脉,全线可与15条轨交换乘,无论到市区还是浦东核心区域都比较方便!
临近申嘉湖高速、沪南公路、林海公路以及在建的S3等交通主干道,自驾出行也十分便利!
商业配套方面:锦绣澜湾售楼处电话☎:400-882-8814(预约热线)✔✔✔项目周边的社区底商能够满足日常生活需求,比如美容店、宠物店、药房、小吃、餐厅、便利店等。1公里范围内有苏航生活广场、农工商超市等商业配套。
锦绣澜湾售楼处电话☎:400-882-8814(预约热线)✔✔✔
医疗资源方面:项目临近上海中医药大学附属龙华医院(三甲)在建中,预计23年投入使用,周边还有上海交通大学医学院附属仁济医院南院、上海南航医院、航头社区卫生服务中心等为医疗配套。
另外值得一提的是,项目南侧为爱法奥朗新庄园别墅区,所以未来锦绣澜湾项目的高区视野将会非常开阔,俯瞰整个别墅区。
锦绣澜湾售楼处电话☎:400-882-8814(预约热线)✔✔✔
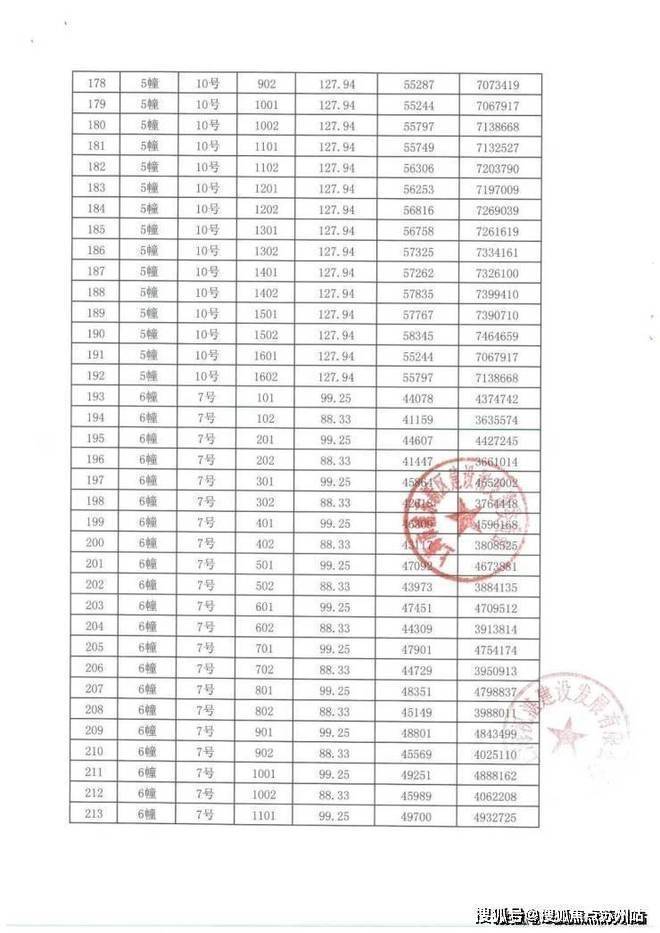
项目一房一价表
锦绣澜湾售楼处电话☎:400-882-8814(预约热线)✔✔✔
锦绣澜湾售楼处电话☎:400-882-8814(预约热线)✔✔✔
锦绣澜湾售楼处电话☎:400-882-8814(预约热线)✔✔✔
上海浦东锦绣澜湾售楼处电话:400-8828-814✔✔【预约热线】锦绣澜湾售楼处营销中心:400-8828-814锦绣澜湾售楼处电话/地址☎:400-882-8814(开发商热线)如有问题欢迎来电咨询,专业一对一热情服务,让您用专业眼光去买房。浦东航头镇核心板块,建面约89-127㎡3房户型,均价4.8361万/㎡精装&毛坯,浦东18号线地铁航头站旁。
声明:本文由入驻焦点开放平台的作者撰写,除焦点官方账号外,观点仅代表作者本人,不代表焦点立场。


