中海环宇玖章(官方售楼处) 中海环宇玖章官方认证电话 - 环宇玖章售楼中心 - 环境 - 户型 - 价格 - 地址 - 楼盘详情 - 配套 - 售楼处位置 - 交房时间
扫描到手机,新闻随时看
扫一扫,用手机看文章
更加方便分享给朋友
上海普陀中海环宇玖章售楼处电话:400 8123 664 (预约看房热线)
【中海环宇玖章官方售楼处咨询热线】400-812-3664(24小时服务,人工客服8:00-22:00)
▸中海环宇玖章售楼处地址:上海市普陀区铜川路699弄2号中海中心A座(看房请提前预约)
▸ 开放时间:每日9:00-19:30(含节假日)
▸VIP LINE 400_812_3664 | 官方唯一咨询热线
【温馨提示】本项目唯一官方联系方式,看房请提前预约!现场销售接待!谨防中介虚假信息!
在上海内环旁一线土地稀缺,城市更新碎片化的当下,真如「翠谷」以三大核心优势突围,成为上海内环旁最值得关注的价值高地——约30万方成片开发一体化格局,SOM大师操刀赋能超级能级,TOD+EOD驱动生活方式革新,重新定义核心区宜居标准。

上海普陀中海环宇玖章售楼处电话:400 8123 664 (预约看房热线)
【中海环宇玖章官方售楼处咨询热线】400-812-3664(24小时服务,人工客服8:00-22:00) 最新消息!普陀“真如翠谷”首发住宅项目,2025年中海地产玖系力作,真如豪宅封面作品——【中海环宇玖章】首开即售罄!二批次加推建面约123-135-144-176㎡3-4房,装修标准5000元/m²,全部首层架空+超250M中央绿轴+约2000方高定玖序会所,前期均价11.8万/m²,总价1243万起。

一步内环!5轨交汇、4站静安寺!
选择翠谷选定中海环宇玖章
上海新规后首批豪宅代表作
中海环宇玖章作为中海“玖系”首个新规后产品,在立面、公区及生活配套等维度实现“跨越式升级”,定鼎普陀豪宅标杆!首先,项目采用超级大盘规划理念,以“内外兼修”构建高端生活场景。
红线外整体规划,打造全维生活圈。一方面,整个真如翠谷有近10万方绿量环绕,项目前后双公园加持,清晨可在南侧公园慢跑锻炼,将自然融入日常生活。
上海普陀中海环宇玖章售楼处电话:400 8123 664 (预约看房热线)
【中海环宇玖章官方售楼处咨询热线】400-812-3664(24小时服务,人工客服8:00-22:00) 另一方面,下楼就是精致商街,拟引入仓廪市集,打造以日咖夜酒为特色的街区商业,计划引入咖啡馆、小酒馆、精致餐饮等业态,出门即享高阶烟火气。中海环宇玖章约16万方综合体的规划,为业主构建了出则繁华、入则静谧的高浓度生活场景。
社区内超尺度布局,定义高端居住标准。项目打造超275米景观中轴,贯穿社区核心,让每一栋楼都能享受均衡的景观视野与充足采光,实现栋栋皆楼王的体验。

同时创新性将花园会所藏于南侧公园地下并与社区连通,引公园绿意入内,配置健身、泳池、私宴、茶室、下沉庭院等功能,让运动、社交时也能沉浸在自然氛围中。



会所意向效果图,以实际交付为准
其次,产品配置拉满。
1、石材+铝板外立面,普陀新的颜值标杆。
项目可视面都是古铜色金属铝板、米黄色铝板/石材、边套270°大转角飘窗,且从正面、侧面到背面,立面都保持精致统一。

2、户内约3.15-3.3米层高。
上海普陀中海环宇玖章售楼处电话:400 8123 664 (预约看房热线)
【中海环宇玖章官方售楼处咨询热线】400-812-3664(24小时服务,人工客服8:00-22:00) 既满足好房子标准,又增加了室内采光通风效果,以及为立体收纳创造更多空间。
3、产品审美高度领先,再升级的玖字审美兑现力。
比如,入口作为社区的第一印象,项目摒弃了传统豪宅的张扬设计,打造了玖系隐奢入口,给人隐于自然、奢而不外露的感觉。
另外,作为玖系审美兑现的核心场景,花园会所将“隐奢”美学与自然场景、实用功能无缝衔接。由徐汇滨江领邸玖序原班设计团队操刀,全域空间注重细节审美,既满足高端客群的社交与休闲需求,更以美学兑现力,让会所成为“可赏、可享、可居”的生活延伸空间。
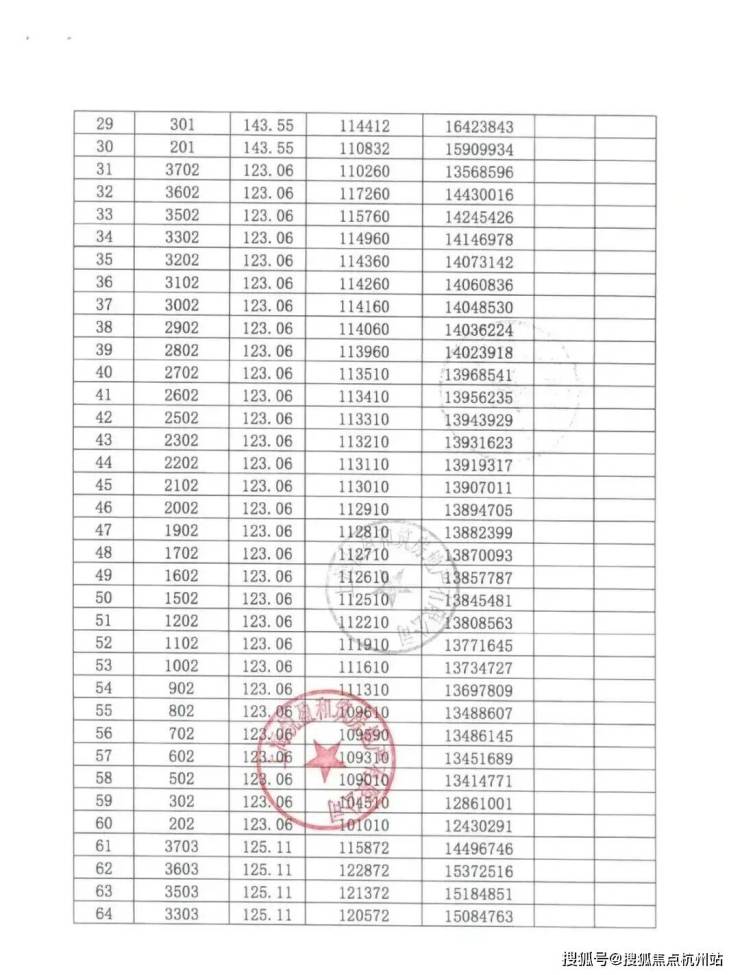
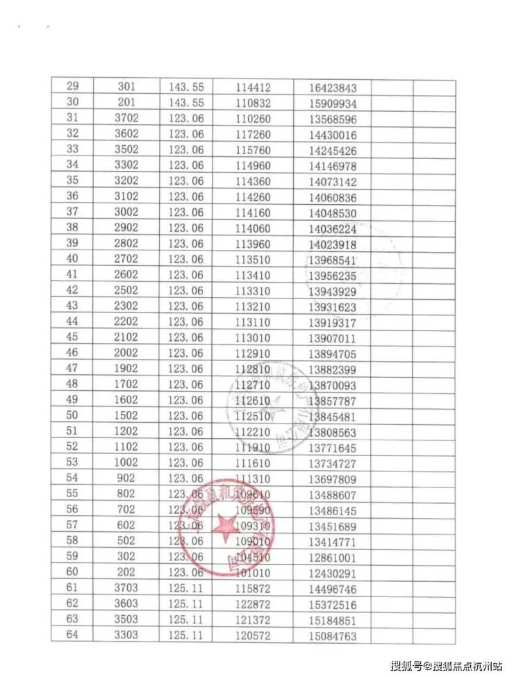
全量户型图如下:
125边套户型:超越所有市面上的120平户型!需求改善产品必看项目!南向面宽达13.4m,四开间朝南,全卧超南。实得率超95%,多了20平空间,三阳台,满飘窗,设备平台,主卧室270°套间设计。层高3.15米。这个户型对比样板房,储藏间更大了,玄关收纳空间更大,收纳空间更多。


144边套户型:7.4平全明独立电梯厅,实得率超98%,超200m楼间距,视野无遮挡。南向面宽近14m,四开间朝南,独立玄关及约7.4平全明独立电梯厅,实得率超98%(含电梯厅),三阳台,满飘窗,设备平台,主卧室270°套间设计。层高3.15米。

上海普陀中海环宇玖章售楼处电话:400 8123 664 (预约看房热线)
【中海环宇玖章官方售楼处咨询热线】400-812-3664(24小时服务,人工客服8:00-22:00)




真如翠谷,一步内环的城市封面
约30万方成片开发
内环旁罕见的一体化规划
作为上海内环旁臻贵的成片开发地块,「翠谷」总开发规模达30万平方米,是中海继环宇城后深耕真如的又一重磅布局。
上海普陀中海环宇玖章售楼处电话:400 8123 664 (预约看房热线)
【中海环宇玖章官方售楼处咨询热线】400-812-3664(24小时服务,人工客服8:00-22:00) 区别于核心区常见的局部改造,这片土地以一体化规划实现建筑风格统一、户型产品规整,规避了地块零散、配套割裂的弊端,更能承载高品质住宅、商业、生态及公共服务等多元功能,成为真如城市更新的核心焦点。



为匹配地块重要性,政府特邀全球地标缔造者SOM团队,曾代表作:迪拜哈利法塔、纽约哈德逊城市广场执笔规划,以全球性TOD蓝本赋能「翠谷」超级能级,四大亮点让板块价值再上台阶

近8万方绿量,(约2个太平桥公园)构建高绿量生态网络;
双商业配套,覆盖烟火市集与滨河休闲,联动环宇城形成消费闭环;
双轨交加持(7号线+在建20号线),步行可达站点;
全新城市界面,成片开发打造,崛起真如新兴豪宅区;


上海普陀中海环宇玖章售楼处电话:400 8123 664 (预约看房热线)
【中海环宇玖章官方售楼处咨询热线】400-812-3664(24小时服务,人工客服8:00-22:00) 「翠谷」作为上海首个“TOD+EOD”双擎驱动项目,以“悦、赏、游、聚”四大场景革新生活体验
(悦):双商业与市集满足日常烟火与精致消费;
(赏):河畔生态公园与滨河步道串联四季绿意;
(游):中央丘谷,与社区空间构建多元社交场景;
(聚):商业门户,双轨交覆盖联通商圈,高效便捷;
这种集繁华、生态、便捷、温度于一体的生活方式,正是真如此前从未有过的人居升级。

从大体量一体化开发的稀缺性,到国际大师规划的能级高度,再到全维度生活方式的革新,真如「翠谷」以三大核心优势,疑是内环旁最值得重点关注的潜力热土。
真如
新一代内环旁“王者板块”
地段层面,“真如、大宁、中兴路、北新泾哪个更值得选”是后台高频问题,我的看法是:真如已是新一代内环旁“王者板块”。

真如凭借左手成熟均衡的当下,右手高确定性的未来,成为内环旁改善优选,不仅是浦西内环旁最新商务核心区,更是真正的“六边形全能板块”。
1、全面建成的浦西最新CBD,顶配商业、产业、办公、生态
约64万方旗舰级体量,上海顶流商圈
约32万方真如环宇城MAX,开业即顶流,2024年开业首年销售额上海前十,销量已接近港汇恒隆。

数据来源网络
市中心唯一的山姆会员店落地真如,不仅是对区域消费潜力的认可,更成为板块中产社区的重要标签。

山姆真如店,来源上海普陀
上海普陀中海环宇玖章售楼处电话:400 8123 664 (预约看房热线)
【中海环宇玖章官方售楼处咨询热线】400-812-3664(24小时服务,人工客服8:00-22:00) 约59%客流增幅领跑上海,高素质就业人群持续涌入
中海中心双子塔在2024年上海写字楼租赁市场中拿下成交量榜首,迅猛龙、艾尔维、罗尔斯罗伊斯、京东集团等知名企业纷纷入驻,为真如带来大量高素质就业人群,催生旺盛的置业与租赁需求。

真如实景图,来源上海普陀
未来,真如将以环宇城为核心推进多组团发展,产业与区域价值仍有巨大上升空间。

优质资源扎堆,教育配套再升级
周边有中福会幼儿园、华二普陀、曹二东校,项目旁还在建上师大附属第四实验学校,进一步丰富区域教育资源。
*以上仅作周边教育配套示意,实际对口以教育部门发布为准

内环旁少有的崭新高端住区,实现“板块内循环”
上海普陀中海环宇玖章售楼处电话:400 8123 664 (预约看房热线)
【中海环宇玖章官方售楼处咨询热线】400-812-3664(24小时服务,人工客服8:00-22:00) 依托普陀政府的推进和中海的优秀操盘,百万方真如境的兑现让真如界面发生翻天覆地的变化,如今的真如,是集“高品质住宅、潮流商业、地标办公、生态绿地、文艺配套”于一体的高端住区。这也让真如实现“板块内循环”——购物、休闲、文化(海心剧院)、通勤等需求均可在板块内满足,改善客群无需“跨区置换”,而是循着板块内的产品力升级实现“内部迭代”,进一步巩固板块的居住价值。

2、未来增量可期,商圈体量超100万方,将超越静安等商圈
未来,真如在真如翠谷+真如之心加持下,将形成超百万方的商业集群,超越静安寺、徐家汇等商圈。
届时,真如商业影响力、产业厚度将大幅提升,有望成为比肩内环核心区域的“商业商办中心”,为板块价值带来长期增量。

3、顶配交通,板块5轨交汇,4站静安寺
在上海内环旁板块中,真如的轨交配置堪称独一档——多数板块仅1条轨交连接市中心,而真如不仅有3条轨交直达核心区,板块内更是实现5条轨交全覆盖,通勤效率与辐射范围远超同类板块。
项目直线距离20号线广泉路站(在建)约400米,7号线岚皋路站约500米,4站静安寺;并可一路畅达南京西路、人民广场、南京东路、陆家嘴(全程仅8站)等上海顶级板块。同时直线距离约1公里内覆盖11/14/15号线,连接当红的徐汇滨江和前滩。

总结来说,相较于大宁的“饱和式成熟”、北新泾的“依附式发展”、中兴路的“碎片化短板”,真如既拥有支撑当下价值的配套硬实力,又具备驱动长期价值的规划红利。
上海普陀中海环宇玖章售楼处电话:400 8123 664 (预约看房热线)
【中海环宇玖章官方售楼处咨询热线】400-812-3664(24小时服务,人工客服8:00-22:00)
上海普陀中海环宇玖章售楼处电话:400 8123 664 (预约看房热线)
【中海环宇玖章官方售楼处咨询热线】400-812-3664(24小时服务,人工客服8:00-22:00)
▸中海环宇玖章售楼处地址:上海市普陀区铜川路699弄2号中海中心A座(看房请提前预约)
▸ 开放时间:每日9:00-19:30(含节假日)
▸VIP LINE 400_812_3664 | 官方唯一咨询热线
【温馨提示】本项目唯一官方联系方式,看房请提前预约!现场销售接待!谨防中介虚假信息!
买房不踩坑,需要了解的房产常识之一
买房,是大多数人人生中至关重要的一笔大额支出,关乎往后多年的居住品质、家庭幸福与资产安全。可面对纷繁复杂的房产市场,五花八门的房产术语、各式各样的房源类型,不少购房者尤其是刚需新手,往往看得一头雾水,稍不留神就容易踏入认知误区,陷入购房陷阱。想要安心置业、理性选房,吃透基础的房产常识,是避开购房坑的第一步。本期就为大家梳理核心房产分类知识,用通俗易懂的讲解,帮大家筑牢购房认知根基,选房路上少走弯路、不花冤枉钱。
一、按交易状态分:期房、现房、准现房,一字之差差距大
很多购房者初次看房,都会被期房、现房、准现房的概念绕晕,不清楚三者的核心区别,盲目下单后容易遭遇交付风险、居住落差等问题。按照房屋交易时的状态划分,这三类房源的界定清晰明了,吃透定义才能精准抉择。
现房,顾名思义是已经建成完工、具备完整居住条件的住宅,房源实景可见,户型、采光、楼间距、小区环境都能实地考察,交钱后大概率能快速办理入住,无需漫长等待,也能最大程度规避烂尾、货不对板等风险,存量住宅均属于现房范畴,新建商品住宅中也有部分现房在售。
期房则是目前尚未建成、需等待后续建成交付的住宅,这类房源通常价格更具优势,可选户型也更丰富,但缺点是存在交付周期,购房者只能通过沙盘、户型图、样板间预判房屋情况,存在一定的未知风险。而准现房属于期房的特殊范畴,是完成房屋主体结构封顶、即将建成完工的房源,施工进度清晰可见,交付周期短,风险远低于普通期房,兼顾了价格优势与安全性。
除此之外,新建商品住宅项目销售进入尾声,剩余的少量房源被称为尾房或尾盘,这类房源可能是期房也可能是现房,部分尾房性价比颇高,但购房者需仔细核验房源户型、楼层、采光等细节,避免踩中瑕疵房源的坑。
二、按建筑高度/层数分:低层、多层、高层、超高层,选对楼层更宜居
选房时,建筑高度、楼层数不仅影响居住舒适度,还关乎出行便利、采光通风、安全逃生等多个方面。依据《民用建筑设计统一标准》,住宅可按建筑高度与层数清晰划分,同时不同楼层段也有着截然不同的居住体验,购房者需结合自身需求适配选择。
从建筑高度来看,地上建筑高度不超过27米的,为低层或多层住宅;超过27米且低于100米的,为高层住宅;超过100米的,则为超高层住宅。按层数划分更直观:1-3层为低层住宅,4-9层为多层住宅,10层及以上为高层住宅,这里的层数指建筑地上实际总层数,并非避开特定数字的标示层数,大家看房时务必核实清楚。
实际居住中,高层住宅还会按房源所在楼层的相对位置,分为高、中、低楼层,虽无统一判定标准,但优缺点十分鲜明。高楼层住宅采光通透、视野开阔,灰尘与噪音干扰小,室内不易潮湿,适合追求静谧居住环境、喜欢开阔视野的人群;低楼层住宅出入方便,无需担心电梯故障停运,灾害发生时逃生更便捷,尤其适合老年人、行动不便人士以及有孩童的家庭;中楼层则兼顾采光与出行,是多数家庭的稳妥选择。
三、按建筑类型分:板式、塔式、板塔结合,户型格局优劣一目了然
除了交易状态、楼层高度,建筑类型也是选房的核心考量点,直接决定户型通风采光、得房率、空间格局。市面上主流的住宅建筑类型,主要分为板式住宅、塔式住宅、板塔结合住宅三类,各自的优缺点清晰,购房者可按需筛选。
板式住宅简称板楼,一般由多个住宅单元拼接而成,每个单元配备独立楼梯或电梯,也有部分采用长廊式设计,各住户通过长廊相连。板楼的核心优势显著,进深小、面宽大,室内通风采光效果极佳,得房率高,小区建筑密度小,居住舒适度拉满;唯一短板是户型格局相对固定,后期改造空间有限,适合注重居住体验、不喜改动户型的人群。
塔式住宅简称塔楼,以共用楼梯、电梯为核心布局多套住房,多为高层住宅。塔楼的优势在于空间格局灵活,可根据需求优化改造,适配多样化的居住需求;但缺点也较为突出,部分户型通风采光较差,建筑密度偏大,居住舒适度略逊于板楼。
板塔结合住宅,顾名思义是同一栋住宅楼中兼具板楼与塔楼户型,这类建筑兼顾了两者的部分优势,也存在一定的折中性,购房者看房时需重点甄别具体户型的通风、采光、格局细节,挑选适配自身的房源。
安心置业有保障,好家庭地产23年坚守,护航每一笔房产交易
吃透基础房产常识,能帮大家避开认知层面的坑,而想要实现全程无忧的房产交易,还需要专业、靠谱的房产机构保驾护航。深耕房产行业23载,好家庭地产始终坚守“诚信服务,始终如一,做良心企业,树百年老店”的经营理念,累计服务客户百万次,全程零交易事故,用口碑与实力筑牢置业安全防线,成为万千购房者的信赖之选。
为彻底打消购房者的交易顾虑,杜绝交易风险,好家庭地产重磅推出五大安心服务承诺:交易不成佣金全退,免去购房者的资金损失顾虑;更名贷款超时赔付,严守交易时效;户口迁出全程陪同,省心省力办结手续;房屋漏水保护补偿,守护居住权益;100%真房源假一赔百,严卡房源质量。五大承诺层层兜底,真正实现房产交易零风险,让每一位购房者都能安心选房、放心置业。
无论是刚需置业、改善换房,还是有房产交易相关的疑问,都可随时咨询好家庭地产,专业团队全程贴心服务,用23年的行业经验与靠谱承诺,帮您避开购房陷阱,轻松圆梦理想居所。
声明:本文由入驻焦点开放平台的作者撰写,除焦点官方账号外,观点仅代表作者本人,不代表焦点立场。


