(大华公园柏翠售楼处)首页网站丨2025【大华公园柏翠】欢迎您/售楼处电话/地址/备案价/楼盘详情

搜狐焦点苏州站 2025-07-03 09:26:51
用手机看
扫描到手机,新闻随时看

扫一扫,用手机看文章
更加方便分享给朋友

大华公园柏翠售楼处热线:400-8673-567本文总结了上海大华公园柏翠项目的详细信息,包括项目优势、房源类型、户型特点、价格走势、价格区间、生活配套等。大华公园柏翠凭借天然大氧吧、低密规划和品质保证,成为市场热销的项目。

大华公园柏翠·尊享热线:400-8673-567

上海大华公园柏翠·繁华芯上低密住区·恭迎品鉴

大华公园柏翠售楼处电话:400-867-3567项目凭 借天然大氧吧旁,板块的价值、低密的规划以及轻奢的品质,都是爆火市场的理由.

收官房源开盘热卖中!

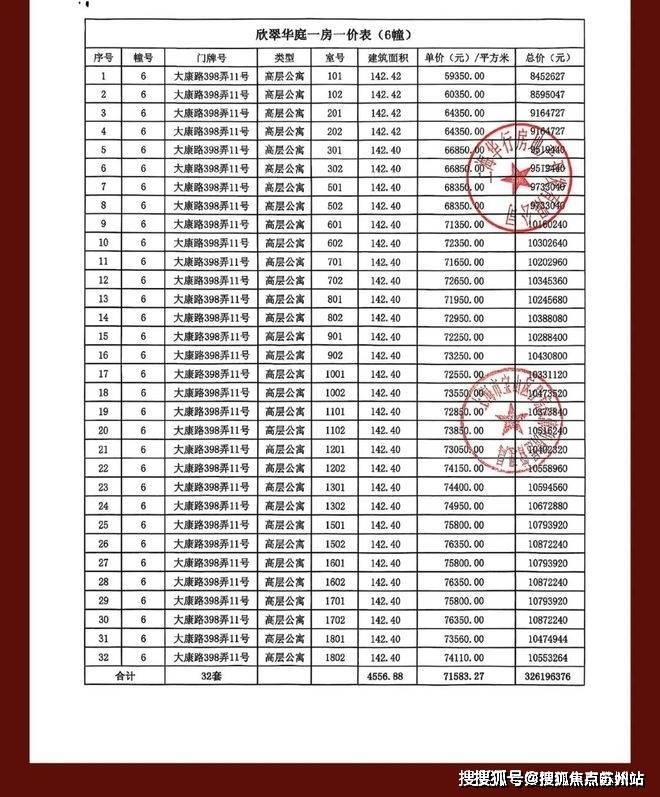
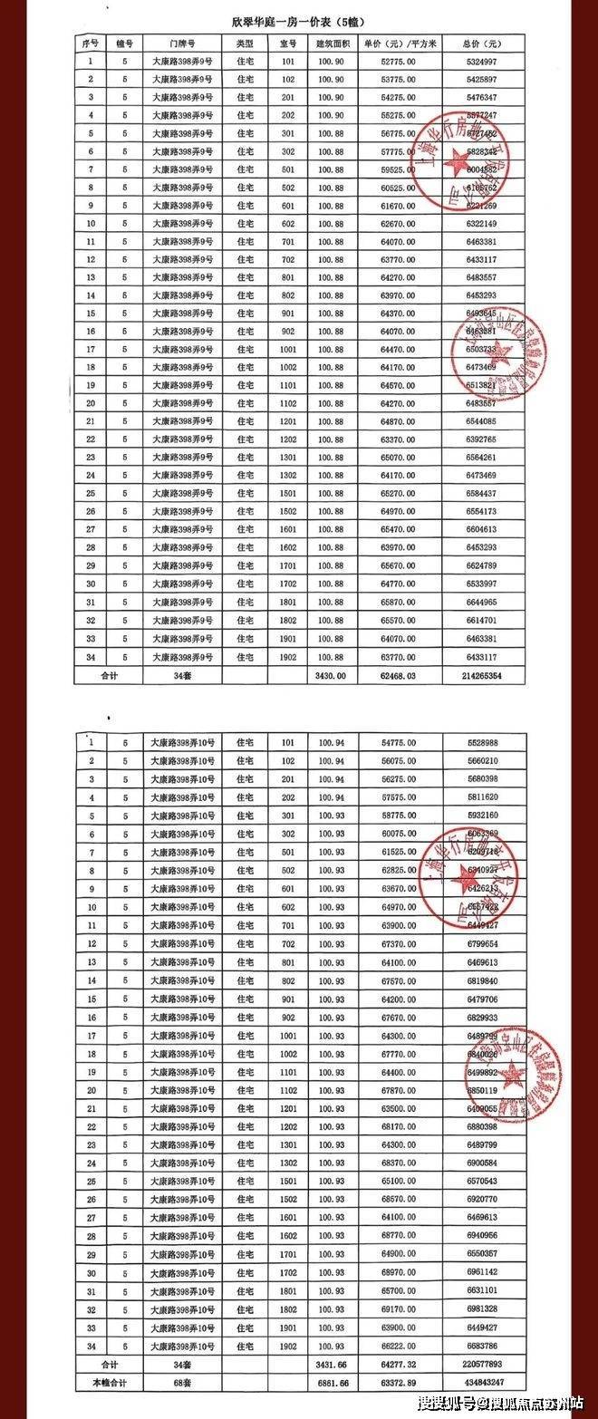
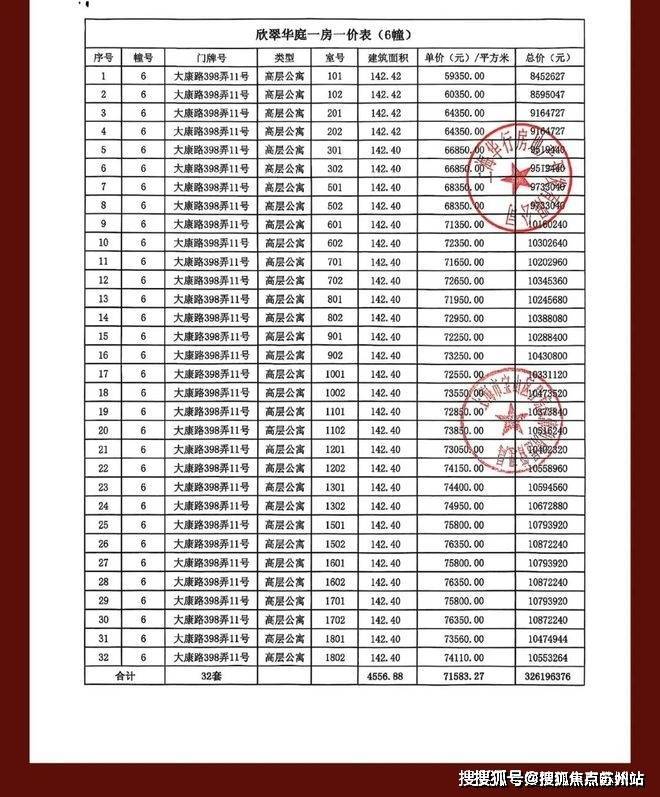
164套建面约101-142m²3-4房

过会均价65327元/m²,总价520万起

124㎡户型已售罄大华公园柏翠售楼处电话:400-867-3567

大华公园柏翠售楼处电话:400-867-3567

户型图赏鉴

建面约101㎡越阶三房

大华公园柏翠售楼处电话:400-867-3567经典飞 机户型+三开间朝南+餐客厨一体化+约5.3m的阔绰横厅,整体南向面宽达到约11.5m!整个户型的通透度和采光度很棒.

全屋飘窗设计+不封阳台+整个户型几乎没有过道面积的浪费,每个房间面积都很实用!得房率很高!大华公园柏翠售楼处电话:400-867-3567

两卫的人性化设计,即使是上班早高峰,排队洗漱不用等待,非常细节.

这个户型兼顾了实用性,也很好地控制总价段,很适合小年轻群体上车!大华公园柏翠售楼处电话:400-867-3567

大华公园柏翠售楼处电话:400-867-3567

建面约124㎡超享四房

大华公园柏翠售楼处电话:400-867-3567四开间 朝南+南北通透!南向面宽达到约12.8m,采光度不言而喻清晨阳光照进来,开启活力满满的居家生活.

大华公园柏翠售楼处电话:400-867-3567主卧、 次卧、主卫、次卫都做了飘窗设计,很好地延展了空间感,美观又实用.得房率很高.不封阳台,相当于是赠送一半面积,实打实省钱.

建面约142㎡天幕四房大华公园柏翠售楼处电话:400-867-3567

这套建面约142㎡的四房,堪称人生进阶之作. 两个电梯厅,拥有独立的入户空间,类一梯一户的设计,“电梯前室+独立玄关”隔绝喧嚣、打扰,给到业主归家仪式感和尊崇感、私密性!

项目信息

大华公园柏翠售楼处电话:400-867-3567

大华公园柏翠售楼处电话:400-867-35673月26日,上海宝山区发布公示,拟以协议方式出让宝山区庙行镇N12-1001单元15-03地块(“城中村”改造项目-庙行镇康家村).

大华公园柏翠售楼处电话:400-867-3567根据现有的信息可以看到,此次推出的旧改地块,其实是在之前的新盘大华公园城市三期的南地块,两个地块紧挨着(四期:大华公园柏翠).

为什么不叫大华公园城市四期了?因为此次推出的是大华高端系列产品大华公园柏翠售楼处电话:400-867-3567.

大华公园柏翠售楼处电话:400-867-3567项目四至范围:东至15-06地块(公共绿地)、南至15-04地块、西至大康路、北至共康路,占地面积43500㎡,总建筑面积140051.13㎡,容积率2.20.大华公园柏翠售楼处电话:400-867-3567

大华公园柏翠售楼处电话:400-867-3567根据项目规划设计方案,拟建1 5幢建筑.其中,4幢16层、10幢17层、1幢18层保障房以及配套用房等建筑、其中18F的楼栋为保障房.整个小 区共计834户.可以看到,小区的排布比较传统,最大约70米开阔楼距,尊崇一梯两户,车位比也比较充足.大华公园柏翠售楼处电话:400-867-3567

大华公园柏翠·尊享热线:400-8673-567

上海大华公园柏翠·繁华芯上低密住区·恭迎品鉴

【房产小知识1】✨

买期房必查“五证”:《建设用地规划许可证》《国有土地使用证》《建设工程规划许可证》《建筑工程施工许可证》《商品房预售许可证》,缺任一证可能面临交房风险!

【房产小知识2】✨

贷款买房别忽视“月供警戒线”:月供最好不超过家庭月收入的30%,否则易陷入资金链紧张;组合贷时公积金贷款额度需提前查询当地上限。

【房产小知识3】✨

验房必看“三大渗漏点”:卫生间地漏、阳台下水口、屋顶墙角,可用纸巾贴缝观察是否返潮;墙面空鼓可用钥匙轻敲,清脆声即需标记整改。

【房产小知识4】✨

学区房落户需注意“时间红线”:热门学校多要求落户满3年(如北京西城),买房前务必查询目标学校最新政策,避免孩子入学受阻。

【房产小知识5】✨

二手房交易“个税减免”条件:满五唯一住房可免缴1%个人所得税(满五指房产证满5年,唯一指家庭唯一住房),交易时可省数万元!

【房产小知识6】✨

产权年限≠居住年限:住宅70年产权到期自动续期(《民法典》规定),到期前1年申请续期,每平方米约15.6元(以深圳试点为例)。

【房产小知识7】✨

户型选择“黄金面宽比”:南向面宽:进深≈1:1.5为最佳,如客厅面宽4米,进深宜≤6米,采光通风更优;避免“手枪型”“刀把型”异形户型。

【房产小知识8】✨

腰线层购房需谨慎:腰线设计可能导致阳台积灰、窗户遮光,收房时注意检查腰线高度,若影响采光可要求开发商整改或索赔。

大华公园柏翠·尊享热线:400-8673-567

上海大华公园柏翠·繁华芯上低密住区·恭迎品鉴

声明:本文由入驻焦点开放平台的作者撰写,除焦点官方账号外,观点仅代表作者本人,不代表焦点立场。