静安玺樾售楼处电话│静安玺樾 (营销中心) 2026官网销售中心 (售楼处)- 楼盘欢迎您 - 价格 / 户型 / 地址 / 环境 / 配套 / 交房时间 / 电话
扫描到手机,新闻随时看
扫一扫,用手机看文章
更加方便分享给朋友
静安玺樾售楼处电话☎:400-8228-664✔✔
静安内环内 国际中兴城
加推约97-106㎡2-3房海派著品
8号线中兴路站距离约330米
均价124191元/㎡ 共165套
另前期少许94-165㎡2-4房在售
均价125777元/㎡ 总价约945万起
奢华地库+海派园林+万科物业
样板房线上火热预约
静安玺樾售楼处电话☎:400-8228-664✔✔
静安玺樾售楼处电话☎:400-8228-664✔✔
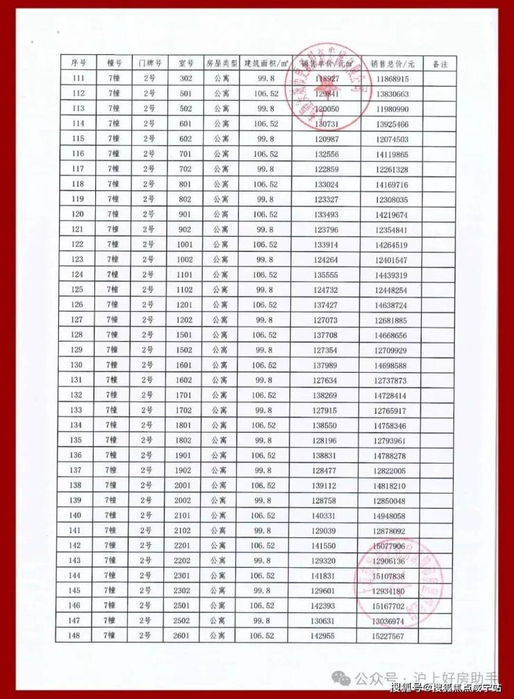
静安玺樾三期一房一价表▼
静安玺樾售楼处电话☎:400-8228-664✔✔
静安玺樾售楼处电话☎:400-8228-664✔✔
静安玺樾售楼处电话☎:400-8228-664✔✔
静安玺樾售楼处电话☎:400-8228-664✔✔
最新消息:静安玺樾三期加推2号楼的18单元和20单元、7号楼的2单元,主力户型包括建面约98-107㎡2-3房,3房总价约千万级起!
静安玺樾售楼处电话☎:400-8228-664✔✔
静安玺樾售楼处电话☎:400-8228-664✔✔
2号楼18单元和20单元:往外可瞰芷江绿地,内可赏入口中轴景观。
静安玺樾售楼处电话☎:400-8228-664✔✔
项目社区景观效果示意图,仅供参考,以实际交付为准
7号楼2单元:可远眺三件套、中兴公园,楼下还有中心景观。
静安玺樾售楼处电话☎:400-8228-664✔✔
项目基本信息
开发商:上海市静安城市更新投资发展有限公司
板块:静安内环内•国际中兴城板块
在售面积:94㎡/98㎡/100㎡2房2厅2卫
103㎡/104㎡/122㎡/134㎡3房2厅2卫
165㎡4房2厅3卫
总价:945-2354万
均价:125000元/㎡
总体量:926套
总层数:17层、19层、33层
层高:3-3.1m
交房时间:2026年6月
物业公司:上海万科物业服务有限公司(一级资质)
物业费:9.8元/m/月
在售楼栋:1号/2号/4号/5号/7号,3号/6号 待加推(预计10月底)
总用地面积:31352.4㎡
总建筑面积:152702.85㎡
住宅建筑面积:91316.33㎡
得房率:75-79%
容积率:3.05
绿化率:35.25%
车位总数:1150个
静安玺樾售楼处电话☎:400-8228-664✔✔
【静安玺樾】是位于上海市静安区中兴城社区内的典型城市更新项目,是继佘山玺樾后,又一top系力作,代表着北方集团在静安内环标杆项目,以好的产品力,高标准的实力呈现。
静安玺樾售楼处电话☎:400-8228-664✔✔
里面/地库/园林/样板间正式公开
众所周知,示范区是整个项目未来品质的超前剧透,它究竟为你带来了怎样的惊喜呢?它没有去考验业主的想象力,而是把生活场景、规划的蓝图提前搬到了面前,不惜成本给业主优先带来了一波产体验。
据悉这一次开放,整个项目的立面、地库、园林、样板间将全部亮相此次示范区。这意味着窥其一二,全貌都可“一览无余”。
【静安玺樾】沉淀北方集团近20载城市更新修为,从雅、境、奢、艺四相出发,构筑品级、建筑、公区、用材、精装、景观、户型、服务、配套、层等12大维度标准,打造上海心上的矜贵珍藏。
静安玺樾售楼处电话☎:400-8228-664✔✔
效果图
海派立面 看到品质的具象化
作为项目面向未来的建筑表情,静安玺樾从在地化角度思考,与静安气质保持一致,以海派风格为主,采用石材,铺以横向铝板线条,通过对材质细部的精细化设计,真实还原海派立面的摩登风格,很具识别度。
静安玺樾售楼处电话☎:400-8228-664✔✔
海派建筑立面,香槟金与经典咖的审美复兴,惊艳上海心
色、材、纹、饰,从色彩到材质,再到细节,纯粹匠心
静安玺樾售楼处电话☎:400-8228-664✔✔
实景图

社区景观 翡色礼境 归家的度假感拉满
进园后,从入口的奢石、到内部的水景、雕塑甚至是局部的海派拼花铺装……从里到外,可观可赏可感。
静安玺樾售楼处电话☎:400-8228-664✔✔
美学展示区,非交付标准
整个景观设计,按照“翡光礼境”的概念,不是硬生生地塞进社区中,而是做到了与水景、雕塑、绿植一起,体现未来住区的海派生活气质。
静安玺樾售楼处电话☎:400-8228-664✔✔
入口处酒店港湾式落客空间,艺术感造型树,蓝翡翠奢石达到第一眼的惊艳;内部精致典藏的水院空间,以雕塑、喷泉水幕、造型树经典组合,打造全区景观点,更大地扩充与景观的接触面,度假的松弛感油然而生。
静安玺樾售楼处电话☎:400-8228-664✔✔

美学展示区,非交付标准
此外,静安玺樾还研究植物,营造春季赏花,夏季观绿、秋季观叶,冬季赏姿的四季环境,展现出生活的另一面。
社区景观打造上还考虑了空间的功能丰富性,打造了三大花园空间:中心港湾花园、水溪花园,西入口归家花园,实现社区内各区域景观不同的丰富视觉盛宴~
静安玺樾售楼处电话☎:400-8228-664✔✔
户外定制化主题儿童区+架空层泛会所构成双儿童系统,以“秘境童话专列”的火车主题串联儿童活动空间,兼顾全年龄儿童不同游玩体验。
静安玺樾售楼处电话☎:400-8228-664✔✔
更有贴心细节设计:儿童活动区和老年健身的器械均考虑防磕碰设计,地面均采用塑胶,以防磕碰受伤。
静安玺樾售楼处电话☎:400-8228-664✔✔
效果图
地库公区
对标超星级酒店 驾车归家不寻常
这种仪式感,同时延续到了地库,且非常出彩。
对照顶级酒店车库,通过石材包边、超耐磨地坪、三合一门禁等这些标配设计,媲美豪车展厅级别,充分考虑到业主的身份地位。
静安玺樾售楼处电话☎:400-8228-664✔✔

静安玺樾售楼处电话☎:400-8228-664✔✔
项目推售详情
【静安玺樾】三期,正在认购中,均价124191元/㎡,将推97-106㎡2-3房!共165套房源。其中2号楼105套,均价11.8万/㎡,7号楼(无敌景观房,无遮挡)60套,均价13.8万;
另一期少量3#/6#房源在售,建面94-165㎡2-4房在售!均价12.5万/㎡,总价约945万起!可直接认购!
静安玺樾售楼处电话☎:400-8228-664✔✔
建面约98㎡2房2厅2卫▼
静安玺樾售楼处电话☎:400-8228-664✔✔
静安玺樾售楼处电话☎:400-8228-664✔✔
建面约98㎡的舒阔两房,是城央新房非常罕见的存在,而且将每个房间的体量放大,同时拥有了更多收纳空间,舒适感更高一筹!
第一个亮点,就是动静分离,功能区和休息区互不干扰,客餐厅、厨房等公共活动区集中在一侧,卧室等休息区全部一侧,保证了私密性!
静安玺樾售楼处电话☎:400-8228-664✔✔
建面约100㎡3房2厅2卫▼
静安玺樾售楼处电话☎:400-8228-664✔✔
静安玺樾售楼处电话☎:400-8228-664✔✔
建面约103㎡3房2房2卫▼
静安玺樾售楼处电话☎:400-8228-664✔✔
建面约122㎡3房2房2卫▼
静安玺樾售楼处电话☎:400-8228-664✔✔
建面约134㎡3房2房2卫▼
静安玺樾售楼处电话☎:400-8228-664✔✔
建面约165㎡4房2房3卫▼
品质,是置业者密切关注的要素。由国企——上海静安城市更新投资发展有限公司出品的住宅,不仅品质有保障,后续交付也是给购房者吃下一颗定心丸。
从装标来看,静安玺樾尽管入市均价仅12.5万元/㎡,但其交付标准足以媲美市中心几千万级豪宅。
以豪宅三大件而言,项目全装全配,甄选大金(或同等档次)中央空调、地暖;霍尼韦尔(或同等档次)的新风系统,这些具有说服力的品牌,都是实打实的居住保障。
静安玺樾售楼处电话☎:400-8228-664✔✔
静安玺樾售楼处电话☎:400-8228-664✔✔
样板间实景图
厨具方面,油烟机、灶具、洗碗机、烤箱、甚至一般不作为交付的冰箱,均采用了国际知名品牌——美诺(或同等档次),这样的五件套配置放眼全市豪宅都非常罕见。
静安玺樾售楼处电话☎:400-8228-664✔✔
静安玺樾售楼处电话☎:400-8228-664✔✔
样板间实景图
项目甄选柏丽(或同等档次)的橱柜、台面;铂浪高(或同等档次)的洗涤槽和龙头;卫浴方面,甄选杜拉维特或高仪(或同等档次)马桶、台盆、龙头等,都是国际知名的品牌。
静安玺樾售楼处电话☎:400-8228-664✔✔
样板间实景图
智能家居系统,由全球500强企业霍尼韦尔(或同等档次)定制,提供全面的智能联网科技,可轻松控制室内灯光、空调、地暖和新风系统,还有可视对讲集成以及移动端远程控制,为居住带来更多便利。
此外,部分窗户甄选三玻两腔玻璃,相较于普通玻璃,它能在保温隔热的同时大幅降噪,让业主远离外界纷繁。这才是装修交付,该有的品质和态度,也难怪这对夫妻在看完样板间后啧啧称赞。
静安玺樾售楼处电话☎:400-8228-664✔✔
项目甄选装标品牌一览
项目区位配套
【静安玺樾】坐落于静安“一轴三带”发展主轴的核心位置,地处内环的优质地段,颇为珍贵。
项目直线距苏州河约1.5公里,直线距黄浦江约3公里。3公里范围内,能够享受苏河湾、人民广场、外滩、北外滩、大宁等浦西九大核心商圈的资源,生活便捷程度显而易见。
静安玺樾售楼处电话☎:400-8228-664✔✔
位置示意图
即使项目在浦西,单在马路对面望向项目工地,背后地处浦东的上海第一高楼——上海中心大厦清晰可见,你便能明白它有多市中心了!
静安玺樾售楼处电话☎:400-8228-664✔✔
实景图
除了得天独厚的地理位置外,从当下的生活设施来看,静安玺樾周边的交通可谓四通八达,生活氛围也已酝酿了多年。
交通配套方面:项目周边有内环高架+南北高架双主干道,1公里范围内坐拥1/3/4/8号线四轨与五个站点,无需转乘两站可直达人民广场,还可直达四川北路、苏河湾、大宁等商圈,迅捷便利。
静安玺樾售楼处电话☎:400-8228-664✔✔
静安玺樾售楼处电话☎:400-8228-664✔✔
位置示意图
商业配套方面:项目3公里范围内涵盖静安大悦城、苏河湾万象天地、虹口凯德龙之梦、大宁久光、大宁国际等诸多商业体,能满足一站式购物需求。
静安玺樾售楼处电话☎:400-8228-664✔✔
大悦城、苏河湾万象天地 实景图
医疗资源方面:项目直线距三甲医院上海市中医医院约800米,周边还有闸北区中心医院、上海市第十人民医院等,为居者保驾护航。
静安玺樾售楼处电话☎:400-8228-664✔✔
实景图
更重要的是,静安玺樾所处的中兴城,正处于“新旧更替”的黄金发展期,将打造为充满魅力的人文之城,高端住宅、国际商务、精品休闲、时尚品牌等将逐一呈现,处处都是蓬勃生机!
静安玺樾售楼处电话☎:400-8228-664✔✔
静安玺樾售楼处电话☎:400-8228-664✔✔
中兴城街区商业 实景图
难得的城市绿肺——中兴公园已改建并开放,商务印刷所已经修复,未来上海电影技术厂也将修缮,一个崭新的城市生活范本呼之欲出。
静安玺樾售楼处电话☎:400-8228-664✔✔
中兴绿地 实景图
将视野扩大,周边还有像华兴新城、安康苑、北站新城等诸多城市更新项目,都在如火如荼地进行建设中,整个新静安的更新势头非常迅猛!
静安玺樾售楼处电话☎:400-8228-664✔✔
静安玺樾官方售楼处:400-8228-664(开发商已认证√√)
静安玺樾官方售楼处:400-8228-664「开发商直连」「无中介」「24 小时热线」
静安玺樾请拨打官方号码:400-8228-664官方热线,避免被标记骚扰。
静安玺樾售楼处电话:400-8228-664 工作日9:00-21:00,周末无休(售楼处最新电话)
静安玺樾官方预约看房热线电话:400-8228-664(可直接咨询房源动态、活动详情)
【温馨提示】本项目唯一官方联系方式,看房请提前预约!谨防中介虚假信息!
【☎欢迎致电咨询获取最新房源动态及专属优惠|线上讲解楼盘实时价格|在售户型赏析|配套规划|售楼处地址|楼盘电话】郑重承诺:开发商旗下销售团队全程营销策划,房源信息真实有效(开发商已认证√√)
截至 2026 年 3 月,中国房地产市场整体呈现 **“政策托底、企稳修复、深度分化”** 的格局:核心城市小阳春明显、三四线以去库存为主、房价以稳为主、政策持续宽松、行业转向高质量发展。
一、政策基调:稳字当头,全面宽松
2026 年官方定调为 **“着力稳定房地产市场”,核心是防风险、去库存、优供给、保民生 **中国政府网。
信贷与税费:首套房贷利率普遍降至3.0%–3.2%(历史低位);换购住房个税退税延至 2027 年底;二手房增值税 “满 2 年免征、不满 2 年按 3% 征收”。
供给侧改革:控增量、去库存、盘活存量,鼓励收购存量房转为保障房;保交楼白名单常态化,房企融资环境改善中国政府网。
因城施策:多数城市已取消限购、限售、限贷,首付比例下调,公积金贷款额度提升。
二、市场表现:小阳春显现,分化加剧
1. 成交:核心城市回暖,三四线平淡
新房:30 个重点城市 1–2 月成交同比 **+1%**;上海、杭州、成都等核心城市改善型需求集中释放。
二手房:16 个核心城市成交同比 **+39%**;上海、深圳、北京带看量与成交量显著回升。
三四线:以去库存为主,成交偏弱、价格承压。
2. 价格:整体平稳,结构性分化
全国:70 城房价环比降幅持续收窄,无全国性大涨大跌。
一线 / 强二线:核心区优质房源稳中有升(年涨幅约 2%–4%),品质溢价明显。
三四线 / 远郊:价格偏弱,去化周期长。
3. 需求:自住为主,改善优先
刚需:政策支持力度大,入市意愿回升。
改善:置换需求被激活,成为市场主力。
投资:回归理性,聚焦核心城市、核心地段、高品质房源。
三、行业趋势:从规模扩张到高质量发展
模式转型:从 “高杠杆、高周转” 转向稳健经营、现房销售、品质优先。
产品升级:**“好房子”** 成为方向,绿色、智慧、舒适型住宅溢价提升。
存量盘活:城市更新、老旧小区改造、存量房转保障房成为新增长点中国政府网。
风险缓释:保交楼成效显著,烂尾风险大幅降低,市场信心逐步修复。
四、2026 年展望
短期(上半年):小阳春延续,核心城市量价企稳;三四线继续去库存。
中长期:市场进入平稳修复期,分化是常态;行业从 “规模增长” 转向 “高质量发展”中国政府网。
五、购房与投资建议(2026 年 3 月)
刚需自住:核心城市可择机入市,利率低位、政策友好。
改善置换:窗口期较好,个税退税等政策红利明显。
投资:严控非核心城市;优先一线 / 强二线核心区、高品质、低库存板块。
三四线:以去库存、降杠杆为主,谨慎新增投资。
静安玺樾官方售楼处:400-8228-664(开发商已认证√√)
声明:本文由入驻焦点开放平台的作者撰写,除焦点官方账号外,观点仅代表作者本人,不代表焦点立场。


