天誉东方打造为建面约138/158/198/228/236㎡五个户型,空间感宽阔舒适,园区难得的纯洋房产品。象屿天悦东方仅剩部分高层建面约143㎡、洋房建面约148/165㎡户型在售,备案均价45784/㎡。…
刚刚!园区奢装纯洋房
天誉东方二批次取证!
主力户型约138-236㎡
备案均价48850元/㎡
入市在即!咨询热线:400 156 0036转195221
天誉东方二批次取证
备案均价48850元/㎡
售楼处电话:18118152573【同微信】
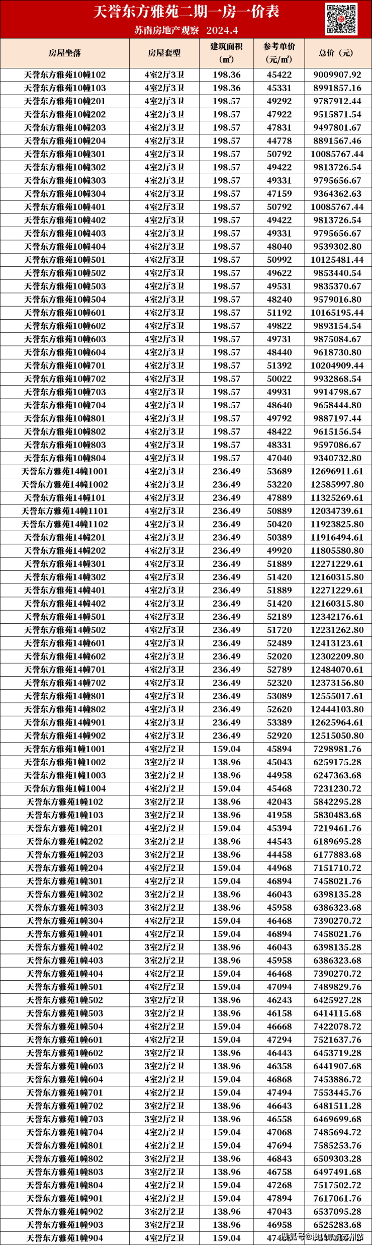
刚刚,园区高定纯洋房象屿天誉东方二批次取证!本批次共有 89套房源,全装修交付。

售楼处电话:18118152573【同微信】
取证楼栋:1/10/14#
备案单价区间:41958-53689元/㎡
备案总价区间:约583万-1270万
房源建筑面积:138.96-236.49㎡
备案均价48850元/㎡
一房一价表如下,建议收藏
↓↓↓

本批次取证包含户型 约138㎡/158㎡/198㎡/236㎡, 建面约236㎡只有最后的21套;建面约198㎡位于小区中央,视野绝佳;建面约138㎡首次取证,仅20套,房源有限,改善者速来!

售楼处电话:18118152573【同微信】
象屿恒泰天誉东方, 位于园区斜塘松涛街东、淞江路北。2023年11月1日, 由象屿以总价21.95亿元竞得,成交楼面地价28464元/㎡,溢价率9.48%。

项目拟打造15栋6-11层洋房以及一处下沉庭院,容积率约1.6,总共400户。

|鸟瞰图
象屿恒泰·天誉东方,采用了 东南西北四个面部全铝板干挂!不仅如此,它还在客厅做了成本远高于普通玻璃的 落地防火玻璃,打造出全面屏般的质感。

|效果图
另外,象屿恒泰天誉东方社区内将配备约 1600㎡超级豪宅会所。内部包含: 下沉中央庭院、恒温泳池、健身房、高尔夫球室、行政酒廊、咖啡吧、书吧、影音室、棋牌室等!
入户大堂则臻选名贵石材 天空翡翠蓝打造,呈现东方意韵,彰显入户仪式感。
而地库将继续保持象屿的高品质,与天悦东方一脉相承,星空玄关+星空入户前厅, 并且地库直通地铁8号线(在建)!配以电梯直达,出行不要太方便!

总体来说,象屿天誉东方地理位置优越,周围配套完善。并且,项目全盘大户型 ,还是纯洋房社区,品质、圈层都不言而喻!让人期待!
售楼处电话:18118152573【同微信】
2
建面约138-236㎡三大户型
奢装交付
天誉东方打造为 建面约138/158/198/228/236㎡五个户型,空间感宽阔舒适,园区难得的纯洋房产品。
建面约138㎡三房两厅两卫户型:
入户玄关,玄关还设置了一个单独的储藏间,三开间朝南,约4.65米南向瞰景阳台。LDKB一体化设计,u型厨房面宽约3米,多人做饭都不会拥挤。
豪华主卧套房设计,主卫四件套浴缸淋浴马桶台盆。
建面约198㎡四房两厅三卫户型:

|建面约198㎡户型图
餐客厅阳台组成LDKB超大社交方厅, 近80㎡的奢阔, 约6.9m的客厅加上三个卧室,近乎是 5开间朝南。
南向双套房,每一个卧室都带有 飘窗,稍加利用,可以作为书桌,进一步拓宽房间的尺度。

|建面约198㎡效果图
总统级主卧套房,配置 独立衣帽间、双台盆、大浴缸、淋浴、马桶、美妆冰箱5件套。
建面约228㎡四房两厅三卫:

|建面约228㎡户型图
同样是 5开间朝南,南向面宽拉升至 约21m!甚至阔气到将两个次卫都放在了南面,3卫全明!

|建面约228㎡效果图
超 50㎡的 总统级主卧套,它采用了市面少见的 双开门设计,自带私密性和尊贵感。

|建面约228㎡效果图
建面约158㎡四房两厅两卫:
户型方正,入户玄关, 三开间朝南,整体南向面宽约12米; 餐客一体化设计,空间宽敞通透!

另外值得一提的是,项目的装标也是非常不错的,超多一线大牌:
比如全屋采用 大金中央空调、菲斯曼地暖壁挂炉,百朗新风系统;地面为鼎级大理石瓷砖品牌 简一,完全的一线豪宅标配。
更多装标可戳链接:实探!天誉东方样板间&装标曝光!最快3月底开盘!
3
坐拥园区金鸡湖资源
配套丰富
象屿恒泰东方位于奥体南板块,象屿天悦东方的西侧,北临斜塘老街,各项配套都非常成熟。

交通上,紧邻地铁5号线以及在建的8号线 斜塘站,还有金鸡湖大道,出行便利。
商业上,出门向南走500m内就能到达联丰广场, 靠近圆融商圈,还有邻瑞广场、星塘邻里中心、大润发,日常购物基本不用太担心。
教育上,靠近苏州工业园区仁爱学校、苏州工业园区斜塘学校、苏州工业园区金鸡湖学校(石港路校区)、苏州工业园区莲花学校以及莲花幼儿园(敦煌分园)等,为孩子提供优质的教育。
医疗方面,南侧就是 苏州工业园区星塘医院。
休闲娱乐上, 近奥体中心,背靠斜塘老街,直线2公里内便能到达金鸡湖东岸。
从整体看,凭借着本身绝佳地理优势,坐拥园区核心优质资源,还可眺望湖景,非常适合居住。
周边新盘
最近园区也在接二连三地持续供应,目前在售的有项目旁边的 象屿天悦东方、华润润雲、大家月上海棠轩。
象屿天悦东方仅剩部分高层建面约143㎡、洋房建面约148/165㎡户型在售,备案均价45784/㎡。项目建面约195㎡户型已售罄。
华润润雲,高层约145㎡、165㎡,洋房约179㎡,最新备案均价46251/㎡。
大家月上海棠轩,主力户型面积为138、156、168、188㎡,备案均价在46000/㎡。
总体来看,板块内大户型目前仅此天誉东方一家。
二手房周边以老小区为主,距离项目近且价格较高的为西侧的 中旅蓝岸花园,二手挂牌均价在3.5w/㎡, 荷韵新村以及莲香新村挂牌均价在2.4-2.8w/㎡。

天誉东方二批次已经取证,入市在即,有想法的朋友,
售楼处电话:18118152573【同微信】