熙和云庭售楼处电话→熙和云庭售楼中心电话→熙和云庭楼盘百科→首页网站→楼盘百科→首页网站→24小时热线电话
扫描到手机,新闻随时看
扫一扫,用手机看文章
更加方便分享给朋友
熙和云庭售楼处电话:400-812-3664
昆山熙和云庭售楼处电话☎:400-8123-664【开发商售楼处预约看房热线】(一对一热情服务)
看房请提前致电预约,可享受内部渠道优惠!联系销售人员获取最新一房一价表,官方售楼处最新优惠底价!开发商官方销售人员将详细介绍每个户型的独特设计和优势,带您参观样板间,感受精装修的品质和温馨氛围。您还可以了解周边配套设施,包括高端购物中心、优质学校和便捷交通网络,让您的居住体验更加完美。
主轴之上!超越居住想象
集萃一城繁华,构筑城芯生活
户型面积:约133㎡、152㎡、179㎡
预计均价:2.2w
容积率:2.0
绿化率:35.1%
装修配置:精装修
车位配比:1:1.92
交付时间:预计2025.12月
交付标准:精装修(带三大件)
总车位:1260户
物业费:约3.33/元/㎡
物业:中建物业
锦鸣雅居的真正魅力,绝不只是仰仗于品牌优势,更多是他对地段的精准拿捏。对于买房人来说,真
正的好地段,一句话概括就是“既要、又要、还要”。
既要有足够的人文底蕴和生活烟火气;
又要有生态宜居的湖湾公园;
还要有多元化的商业和国际化配套。
而锦鸣雅居正处于这样“既要、又要、还要”的改善圈内。位于昆山城东核芯位置,娄东路与吴淞江路
交汇处,直径3公里范围内,几乎囊括了昆山大部分优质配套。熙和云庭售楼处电话:400-8123-664
熙和云庭售楼处电话:400-812-3664
昆山熙和云庭售楼处电话☎:400-8123-664【开发商售楼处预约看房热线】(一对一热情服务)
熙和云庭售楼处电话:400-8123-664
昆山熙和云庭售楼处电话:400-8123-664
免责:本区位图仅概率表示位置关系,非比例制作
制作时间为2024年6月
这里有着城市快速路效应,距离苏州轨交11号线鱼池泾站约800米,周边中环东线、前进东路、震川
东路等城市主干道环绕,为出行按下快捷键。
通过景王路直达金鹰国际中心,周边还有世茂广场、夏驾河商务区、奥特莱斯等知名商业体,美好生
活画卷在这里展开。
家门口实现9年一站式教育,景王路一贯制学校(2024年交付)、苏大附中、震川高级中学、昆山狄
邦华曜学校等,书香氤氲伴成长,浸染孩子生活日常。(学区以政府主管部门划分为准,开发商不做
承诺)熙和云庭售楼处电话:400-8123-664
昆山熙和云庭售楼处电话:400-8123-664
熙和云庭售楼处电话:400-812-3664
昆山熙和云庭售楼处电话☎:400-8123-664【开发商售楼处预约看房热线】(一对一热情服务)
熙和云庭售楼处电话:400-8123-664
昆山熙和云庭售楼处电话:400-8123-664
配套图
这里也是散步的好去处,娄江、时代公园、夏驾河湿地公园都在附近,随时随地都可以来一场休闲放
松之旅。
02
小区概况
楼盘方面,项目依旧主打建发最为擅长的中式园林风格,小区由12栋18层的高层组成,总共可售约
780户。
熙和云庭售楼处电话:400-812-3664
昆山熙和云庭售楼处电话☎:400-8123-664【开发商售楼处预约看房热线】(一对一热情服务)
项目真石漆外立面,得房率约78%,小区不完全人车分流,有20多个地面车位在小区外围。由于目前
售楼处尚未建好,沙盘还是放在前期的云锦湾售楼处。
03
户型介绍熙和云庭售楼处电话:400-8123-664
昆山熙和云庭售楼处电话:400-8123-664
尤其是这些属于洋房的独特优势,让买房人欲罢不能:
一梯两户:为保证日常生活的私密性,锦鸣雅居一梯两户双开门电梯的设计,从此告别电梯的拥挤,
无需忍受尴尬的对视和寒暄,使归家成为一种仪式。(双开门电梯仅限170、203户型)
充足采光:项目最高只有10层,意味着项目有着更好的亲地性,每一户业主都能推窗即享绿地美景,
这是百米高空给不了的治愈。
得房率:不同于高层产品惊人的公摊面积,锦鸣雅居洋房的得房率超高,相同面积下,套内实用面积
远高于高层,更多空间得以被充分利用。
熙和云庭售楼处电话:400-8123-664
昆山熙和云庭售楼处电话:400-8123-664
景观效果图
很多人对这类产品真的缺乏抵抗力,毫不夸张地说,像这样的低密纯洋房社区,买到,即是人无我
有,错过,或将成为一种遗憾!
全龄景观社区,为美好生活赋能
02
在景观设计之初,锦鸣雅居就对品质生活进行了深入思考,将静奢的品质感与舒适性融入其中,让业
主即使身处城市核心位置,归家的那一刻能轻松放下压力。
你可以在阳光草坪上和宠物抛接飞盘,在运动健身区锻炼身体,和邻居来几局热血球赛。
孩子们可以在自然课堂,认识各种各样的植物,在玩耍中探索、学习;也可以在儿童聚场里追逐嬉闹,永远不会缺少玩伴。
对长辈来说,在林间步道闲庭信步,或是在森之客厅聊聊家长里短、下下象棋,生活不会孤寂无聊。
景观效果图熙和云庭售楼处电话:400-8123-664
昆山熙和云庭售楼处电话:400-8123-664
突破想象!宽境品质大四房
03
改善,并不是单纯的面积变大,也不是多个房间的简单堆砌,改善的本质需求是:大尺度,更高标准
的生活方式。
锦鸣雅居的三款户型全都做到了大面宽,短进深,起步就是四开间朝南的格局,搭配南向双联阳台,
颠覆传统尺度!并突破性采用飘窗与开间同宽,拥有更宽阔、开放的景观视野,套内实用面积也同步
增加。
建面约143㎡,四室两厅两卫熙和云庭售楼处电话:400-812-3664
昆山熙和云庭售楼处电话☎:400-8123-664【开发商售楼处预约看房热线】(一对一热情服务)
熙和云庭售楼处电话:400-8123-664
昆山熙和云庭售楼处电话:400-8123-664
这个户型堪称改善洋房进阶之作,视野方面做到了promax版,南向4.5开间,约14.75米大尺度面宽
,搭配约8.15米的双联景观阳台。开间约5米的朗阔客厅,独立客餐厅空间,无论是休闲、娱乐还是聊
天会友,都给足了主人排面。
主卧套房设计,开间约3.6米,预留L形独立衣帽空间,完美解决衣物收纳需求。主卫全明设计,同时
配备淋浴房和浴缸,独享天地,自成一界。
建面约170㎡,四室两厅三卫
熙和云庭售楼处电话:400-8123-664
昆山熙和云庭售楼处电话:400-8123-664
私享入户空间,礼仪玄关,从归家开始就倍享尊崇。南向约16.3米面宽,约9.1米跑道级双联阳台,
南向采光简直无敌!U型开阔厨房,动线合理流畅,洗切炒烹一气呵成。
南向双套房设计,独立卫浴,三代同堂也可尊享私密空间;主卧开间约4.2米,预留L形独立衣帽间空
间,主卫全明设计+双台盆+浴缸配置,享受从容生活。
建面约203㎡,四室两厅三卫
熙和云庭售楼处电话:400-8123-664
昆山熙和云庭售楼处电话:400-8123-664
最为亮眼的当属5开间朝南的设计,南向约18.4米面宽,搭配约9.2米跑道级双联阳台,将尺度感放大
到MAX,气场全开;约6㎡尊崇入户玄关,美观精致且兼具强大的收纳功能。
南北双阳台,尊享独立家政空间,从容享受生活,南向双套房,私密有界,豪华套房般的主卧,约4.
4米的面宽,整体空间大气奢华,满配双台盆、预留衣帽区、浴缸淋浴,提升生活品质,享受奢雅生
活。
总结
项目位于宝山,是顾村大居北侧的开荒盘,目前周边的状态还是待开发。项目主打就打在“荒”字,因
此适合一定情况的投资人群,或者预算较低,分数较低的打新刚需群体。
楼盘虽然目前步行至地铁站距离较远,但是南侧规划中的言观路一旦开通,实际距离将缩短至800多
米。
建发特色的主打的中式园林风格之前在泗水和鸣有过介绍,比较两极化,有一定特有的粉丝群体为其
着迷,也有一定粉丝表示不能接受。
项目周边都是空地而非厂区,未来开发难度较低,日后能否成为老顾村的2.0,乃至3.0版本目前不好
说,但一定是有很大希望的。
如果你是一个对板块成熟度有一定需求的,可以前往美兰湖。但如果接受长期持有,不急于周边一定
配套的,可以前往一看。
当然如果预算有限但是分数足够,依旧可以一等之后顾村的中铁建以及大华等位置更好的项目。
精致的轻奢与优雅的简美交融,演绎出超凡脱俗的空间美。本案为一套轻奢大平层,灰色基调下,优雅的石膏线与温润的木饰面贯穿,三者交互,营造温馨的生活氛围。
△门厅
简洁大气的门厅空间,以高级灰作为主色搭配,大面积镜子、柚木护墙的铺设,减少了长过道的沉闷无趣,优雅的石膏线勾勒出古典层次,叙说出奢美的生活状态。
熙和云庭售楼处电话:400-812-3664
昆山熙和云庭售楼处电话☎:400-8123-664【开发商售楼处预约看房热线】(一对一热情服务)
△客厅
以优雅为主题的客厅空间,一抹亮眼的橙色,打破宁静,为空间注入活力欢快的气息,从天花板一直蔓延到墙面的石膏线条,与抽象艺术摆件,将轻奢气息渲染到极致。
熙和云庭售楼处电话:400-812-3664
昆山熙和云庭售楼处电话☎:400-8123-664【开发商售楼处预约看房热线】(一对一热情服务)
△餐厨房
转入餐厨空间,柚木铺垫的橱柜系统,与电视柜相呼应,奠定了舒缓柔和的自然基调,岩板台面及金属饰面延伸至岛台、餐桌,纹理的交织,辅以高级灰的渲染,串联起温暖的生活记忆。
△卧室
以石膏线护墙为视觉重心,与木地板交叠,纵横有序的线条延展,勾勒出精致的卧室空间,浅灰调床品从中调和,落地窗将室外光线带入,整个画面保持着奢美、沉稳的气质。
熙和云庭售楼处电话:400-812-3664
昆山熙和云庭售楼处电话☎:400-8123-664【开发商售楼处预约看房热线】(一对一热情服务)
△书房
书房位于卧室,温润的柚木书桌,细腻的肤感吊柜,在极简的界面之下,配合着柔和的灯光效果,饱满的纹理呈现更具表现力,舒适的设计赋予了空间艺术之美。
熙和云庭售楼处电话:400-812-3664
昆山熙和云庭售楼处电话☎:400-8123-664【开发商售楼处预约看房热线】(一对一热情服务)
△卫生间
大面积的岩板铺设,带来了清爽而明朗的空间视野,将简与雅的独特气质更淋漓地展现,洗漱柜采用吊柜形式,无把手的立面,简致化的切割,流露出干练、简奢的美感。
熙和云庭售楼处电话:400-812-3664
昆山熙和云庭售楼处电话☎:400-8123-664【开发商售楼处预约看房热线】(一对一热情服务)
其它案例
▼
熙和云庭售楼处电话:400-812-3664
昆山熙和云庭售楼处电话☎:400-8123-664【开发商售楼处预约看房热线】(一对一热情服务)
熙和云庭售楼处电话:400-812-3664
昆山熙和云庭售楼处电话☎:400-8123-664【开发商售楼处预约看房热线】(一对一热情服务)
熙和云庭售楼处电话:400-812-3664
昆山熙和云庭售楼处电话☎:400-8123-664【开发商售楼处预约看房热线】(一对一热情服务)
熙和云庭售楼处电话:400-812-3664
昆山熙和云庭售楼处电话☎:400-8123-664【开发商售楼处预约看房热线】(一对一热情服务)
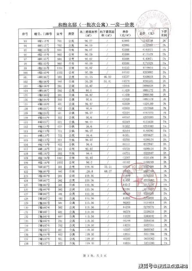
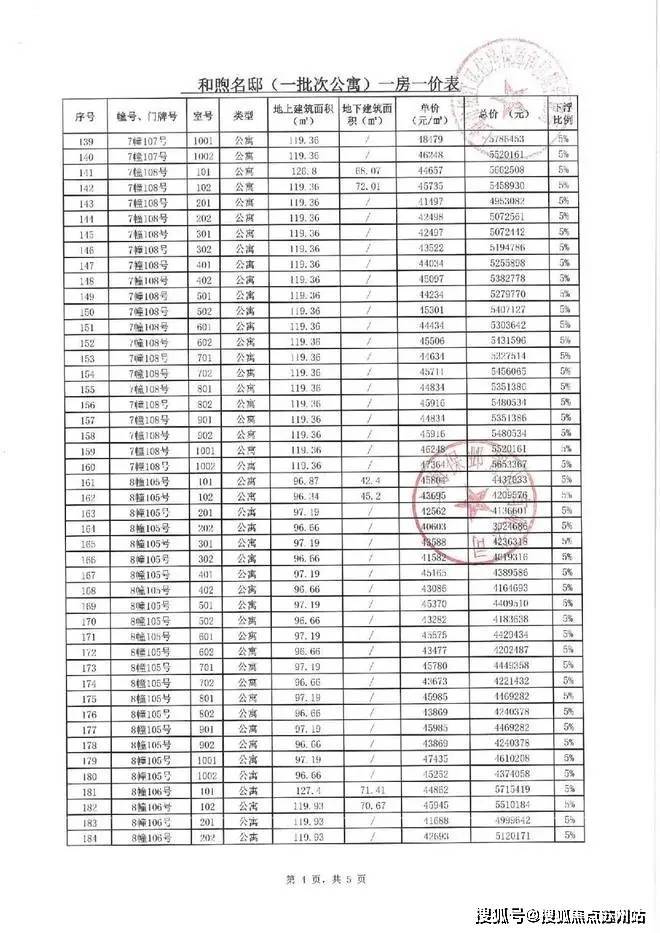
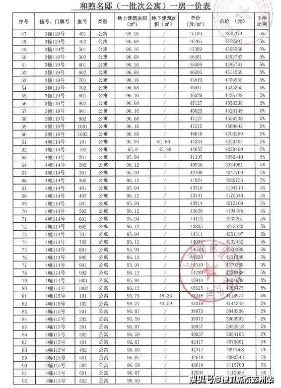
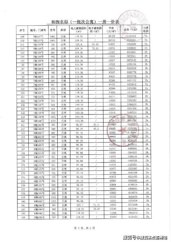
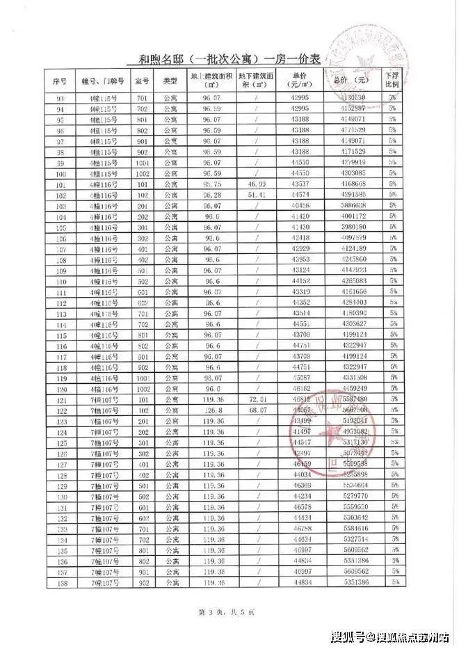
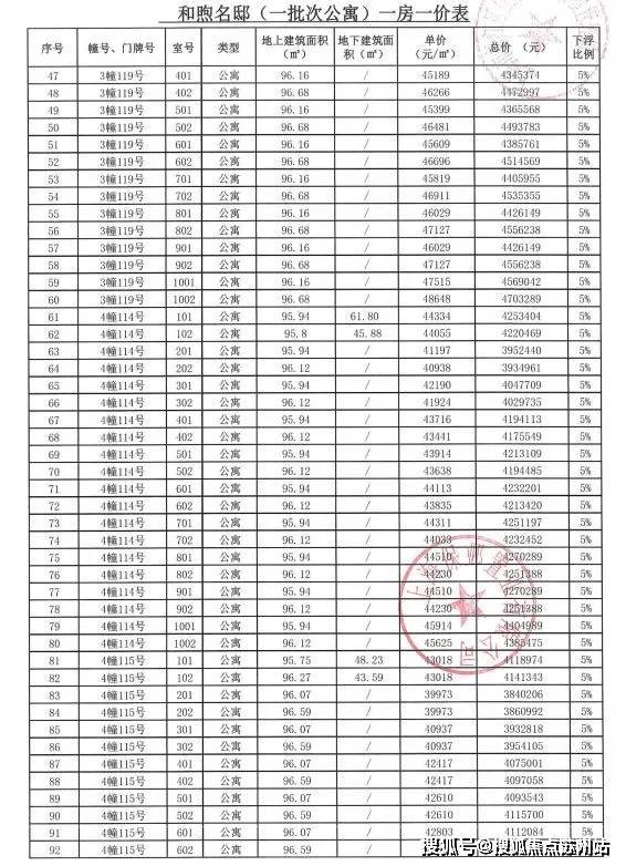
一房一价表如下:熙和云庭售楼处电话:400-8123-664
昆山熙和云庭售楼处电话:400-8123-664
熙和云庭售楼处电话:400-812-3664
昆山熙和云庭售楼处电话☎:400-8123-664【开发商售楼处预约看房热线】(一对一热情服务)
熙和云庭售楼处电话:400-812-3664
昆山熙和云庭售楼处电话☎:400-8123-664【开发商售楼处预约看房热线】(一对一热情服务)
看房请提前致电预约,可享受内部渠道优惠!联系销售人员获取最新一房一价表,官方售楼处最新优惠底价!开发商官方销售人员将详细介绍每个户型的独特设计和优势,带您参观样板间,感受精装修的品质和温馨氛围。您还可以了解周边配套设施,包括高端购物中心、优质学校和便捷交通网络,让您的居住体验更加完美。
房产知识大揭秘:贷款干货全解析
在房产市场中,贷款无疑是连接购房者与心仪房产的重要桥梁。无论是首次购房的新手,还是经验丰富的投资者,对于房产贷款的了解和把握都至关重要。本文将深入探讨房产知识中的贷款干货,从贷款的基本概念、类型、申请流程到还款方式,全方位解析房产贷款的奥秘。

一、房产贷款基础篇:揭开贷款的神秘面纱
(一)房产贷款的定义与意义
房产贷款,顾名思义,是指购房者以所购房产作为抵押物,向银行等金融机构申请贷款以支付购房款项的一种融资方式。对于大多数购房者而言,全款购房往往是一笔巨大的负担,而房产贷款则提供了一种分期还款的可能,使得购房者能够在自身经济能力范围内实现购房梦想。
(二)房产贷款的基本要素
1. 贷款额度:贷款额度是指银行愿意提供给购房者的最高贷款金额,它通常基于购房者的收入、信用记录、房产价值等因素综合评估。
2. 贷款期限:贷款期限是指购房者需要在多长时间内还清贷款。一般来说,房产贷款的期限较长,可以达到10年、20年甚至30年,这有助于购房者分散还款压力。
3. 贷款利率:贷款利率是购房者需要支付给银行的贷款成本,它通常以年化利率表示。贷款利率的高低直接影响购房者的还款金额和还款压力。
4. 还款方式:还款方式是指购房者如何向银行偿还贷款本金和利息。常见的还款方式包括等额本息还款法、等额本金还款法等。
(三)房产贷款的类型
1. 商业贷款:商业贷款是指购房者向商业银行等金融机构申请的贷款,它通常用于购买商品房等可交易的房产。商业贷款的利率、期限和还款方式等由银行根据市场情况和购房者条件自主确定。
2. 公积金贷款:公积金贷款是指购房者向住房公积金管理中心申请的贷款,它通常用于购买自住住房。公积金贷款的利率较低,且贷款额度与购房者的公积金缴存额度和缴存时间等因素有关。
3. 组合贷款:组合贷款是指购房者同时申请商业贷款和公积金贷款,将两种贷款方式结合使用以满足购房需求。组合贷款结合了商业贷款和公积金贷款的优点,既能够享受公积金贷款的低利率,又能够获得商业贷款较高的贷款额度。
二、房产贷款申请篇:步步为营,顺利获贷
(一)贷款申请前的准备
1. 了解自己的信用状况:在申请贷款前,购房者需要了解自己的信用状况,包括信用报告中的信用评分、逾期记录等。信用状况是银行评估购房者还款能力和信用风险的重要依据。
2. 评估自己的还款能力:购房者需要根据自己的收入、支出等情况,评估自己是否有足够的还款能力来承担贷款。银行在审批贷款时,也会重点考察购房者的还款能力。
3. 选择合适的贷款产品和银行:购房者需要根据自己的需求和条件,选择合适的贷款产品和银行。不同的银行和贷款产品可能有不同的利率、期限、还款方式等条件,购房者需要仔细比较和选择。
(二)贷款申请流程
1. 提交贷款申请:购房者需要向选择的银行提交贷款申请,并提供相关的申请材料,如身份证、收入证明、房产证明等。
2. 银行审批:银行在收到贷款申请后,会对购房者的信用状况、还款能力等进行审批。审批通过后,银行会与购房者签订贷款合同。
3. 办理抵押登记:购房者需要与银行一起办理房产抵押登记手续,将所购房产抵押给银行作为贷款的担保。
4. 银行放款:在抵押登记手续办理完成后,银行会将贷款款项直接划入售房单位在该行的账户上,购房者从而完成购房交易。
(三)贷款申请中的注意事项
1. 提供真实材料:购房者在申请贷款时,需要提供真实、准确的申请材料。如果提供虚假材料,一旦被银行发现,可能会导致贷款申请被拒绝,甚至可能面临法律责任。
2. 注意贷款额度与期限:购房者需要根据自己的经济能力和还款计划,合理选择贷款额度和期限。过高的贷款额度或过长的贷款期限可能会增加购房者的还款压力。
3. 了解贷款费用:购房者在申请贷款时,需要了解贷款过程中可能产生的各种费用,如评估费、抵押登记费、保险费等。这些费用可能会增加购房者的成本,需要提前做好预算和准备。
财悟赢
三、房产贷款还款篇:精打细算,合理还款
(一)还款方式的选择
1. 等额本息还款法:等额本息还款法是指购房者每月偿还相同金额的贷款本息,其中本金逐月递增,利息逐月递减。这种还款方式适合收入稳定、希望每月还款金额固定的购房者。
2. 等额本金还款法:等额本金还款法是指购房者每月偿还相同金额的本金和剩余贷款在该月所产生的利息。由于本金逐月递减,利息也会逐月减少,因此每月还款金额也会逐月递减。这种还款方式适合收入较高、希望提前还款的购房者。
3. 其他还款方式:除了等额本息还款法和等额本金还款法外,还有一些银行提供其他还款方式,如按季还息到期还本、一次性还本付息等。购房者可以根据自己的需求和条件选择合适的还款方式。
(二)提前还款的利弊
1. 提前还款的利:提前还款可以减少购房者支付的利息总额,缩短贷款期限,提前实现无债一身轻的目标。对于收入增加或资金充裕的购房者来说,提前还款是一种不错的选择。
2. 提前还款的弊:提前还款可能会增加购房者的短期资金压力,因为购房者需要一次性支付较多的本金。此外,一些银行可能会对提前还款收取违约金或限制提前还款的次数和金额。
(三)还款过程中的注意事项
1. 按时还款:购房者需要按照贷款合同约定的还款方式和还款日期按时还款。逾期还款不仅会产生罚息和滞纳金,还会影响购房者的信用记录。
2. 关注利率变化:贷款利率是购房者需要关注的重要指标之一。如果市场利率发生变化,购房者需要及时了解自己的贷款利率是否也会发生变化,并提前做好还款计划调整。
3. 保留还款凭证:购房者需要保留好每次还款的凭证,以便在需要时查询和核对还款记录。如果发生还款纠纷或争议,还款凭证可以作为重要的证据。

四、房产贷款风险篇:防范风险,稳健前行
(一)利率风险
利率风险是指贷款利率变化可能给购房者带来的风险。如果市场利率上升,购房者的还款金额也会相应增加,从而增加购房者的还款压力。为了防范利率风险,购房者可以选择固定利率贷款或选择具有利率调整机制的贷款产品。
(二)信用风险
信用风险是指购房者因信用状况恶化而无法按时偿还贷款的风险。为了防范信用风险,购房者需要保持良好的信用记录,按时还款,避免逾期和不良信用记录的产生。同时,购房者还可以选择购买信用保险等方式来降低信用风险。
(三)房产价值波动风险
房产价值波动风险是指购房者所购房产的价值因市场变化而下降的风险。如果房产价值下降,购房者的抵押物价值也会相应下降,从而增加购房者的贷款风险。为了防范房产价值波动风险,购房者需要选择地理位置优越、配套设施完善、具有升值潜力的房产进行投资。
(四)其他风险
除了上述风险外,购房者还需要关注其他可能影响贷款安全的风险因素,如政策变化、经济环境等。购房者需要密切关注市场动态和政策变化,及时调整自己的投资策略和还款计划。
五、房产贷款干货分享:实用技巧与误区破解
(一)实用技巧
1. 提高贷款额度:购房者可以通过提高首付比例、提供额外的抵押物或担保人等方式来提高贷款额度。同时,购房者还可以选择信誉良好的银行和贷款产品来提高贷款额度。
2. 降低贷款利率:购房者可以通过提高信用评分、选择具有利率优惠的贷款产品或与银行协商等方式来降低贷款利率。降低贷款利率可以减少购房者的还款金额和还款压力。
3. 优化还款计划:购房者可以根据自己的经济能力和还款计划,合理选择还款方式和还款期限。同时,购房者还可以选择提前还款或调整还款计划等方式来优化还款计划。
(二)误区破解
1. 误区一:贷款额度越高越好
破解:贷款额度并非越高越好。过高的贷款额度会增加购房者的还款压力和经济负担,甚至可能导致购房者无法按时还款。购房者需要根据自己的经济能力和还款计划合理选择贷款额度。
2. 误区二:贷款期限越长越好
破解:贷款期限并非越长越好。过长的贷款期限虽然可以降低每月还款金额,但会增加购房者支付的总利息金额。购房者需要根据自己的经济能力和还款计划合理选择贷款期限。
3. 误区三:提前还款一定划算
破解:提前还款并非一定划算。对于选择固定利率贷款或已经还款较长时间的购房者来说,提前还款可能无法获得明显的利息节省效果。购房者需要根据自己的贷款产品和还款计划来判断提前还款是否划算。
六、结语
房产贷款作为购房过程中的重要环节,对于购房者来说具有至关重要的意义。通过本文的探讨,相信读者已经对房产贷款的基本概念、类型、申请流程、还款方式以及风险等方面有了更深入的了解和认识。在未来的购房过程中,希望读者能够根据自己的需求和条件选择合适的贷款产品和银行,合理规划自己的还款计划,实现购房梦想的同时降低贷款风险。同时,也希望读者能够保持警惕和理性思考,避免陷入贷款误区和陷阱,为自己的财务安全和未来生活保驾护航。
声明:本文由入驻焦点开放平台的作者撰写,除焦点官方账号外,观点仅代表作者本人,不代表焦点立场。


