普陀金茂府-上海普陀金茂府楼盘详情(2025普陀金茂府房价+户型图)普陀金茂府房天下
扫描到手机,新闻随时看
扫一扫,用手机看文章
更加方便分享给朋友
「普陀金茂府」
普陀区桃浦 中外环
「普陀金茂府」营销中心热线:400-8783-873☎☎

在售户型图丨项目介绍丨最新房源丨周边配套丨详细解答〢⭐◆开发商营销中心诚挚邀请,一键预约,尊享内部折扣!匠心独运的精品项目,恭候您的品鉴与选择。⭐✅ 过来参观样板房烦请记得提前来电预约!✅ 为您安排楼盘现场销售全程接待并讲解,给您更贴心的看房体验!这是一个从城市站位、规划能级、生态环境、配套资源、社区产品等全方位领先的新房项目,超高性价比的价格买入!
建面约107-180㎡3/4房
180㎡已售罄,现仅余107㎡三房
总价800-950万
约100万方桃浦中央绿地首排
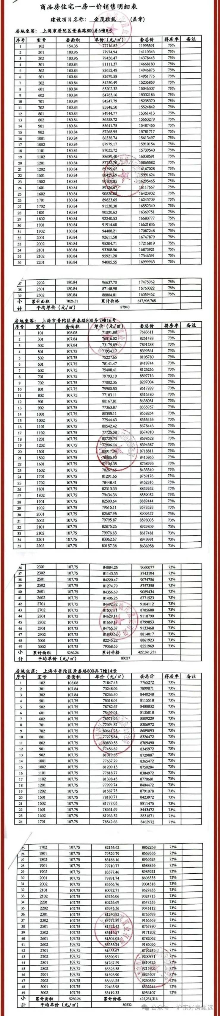
普陀金茂府一房一价表
2023年9月4日,金茂上海桃浦项目(景泰府)更名为普陀金茂府。在金茂上海发布的公告中,明确写到项目品牌(推广案名)由“景泰府”正式升级为“普陀金茂府”这也是继西郊金茂府、大宁金茂府、虹口金茂府后的上海第四座金茂府。
(实拍图)
更名后项目全线升级上科技:新增升级五恒系统(恒温,恒湿,恒氧,恒净,恒静);12大科技系统,再一次赋新人居标杆。

地库的星级仪式:白金砂石材铺装,古铜金属镶边,星光穹顶营造银河归家仪式
金茂交付的不只是房子,更是一种圈层生活。

-----------
2023年,金茂回归上海市中心:以约100万方桃浦中央绿地为主轴,构建城市宏伟蓝图,打造国际公园住区(数据来源:桃浦智创城 官方网站)
-----------
桃浦智创城 市中心再造芯:桃浦智创城板块,总体规划437万方,是目前上海中心城区现存不可多得、可成片开发的”黄金宝地“。(数据来源:桃浦智创城 官方网站)
桃浦中央绿地:约100万方(已建成约50万方),是桃浦区域转型升级的重要载体。景观打造上借鉴了伦敦海德公园、纽约中央公园规划设计理念,项目建成后将成为中心城区最大的开放式公共绿地。低密生态之境,对标国际公园住区,奢享自然健康生活。(数据来源:桃浦智创城)
桃浦智创城:以中央绿地为轴,依托政策优势,构建功能组团,推动产业集群发展、区域规划落地,打造全新的上海市中心国际社区。

政府政策向好:普陀区政府将全力把桃浦智创城打造成“上海科创中心重要承载区”,“中心城区转型示范区”,“普陀高质量发展新的增长极”。(信息来源:上海普陀)
产业集群发展:规划商办体量约207万方,超过197万方的前滩、126万方的新天地,再加上76万方的科创板块,区域后续的发展绝对值得期待。(数据来源:桃浦智创城 官方网站)

规划兑现提速:目前普陀区政府大力支持稳步兑现规划,桃浦中央绿地、中以(上海)创新园、智创TOP产城综合体、国华康养中心都在紧锣密鼓地建设中。
功能组团构建:区域内规划打造国际街区,四大主题街区、商务办公、产业研发、商住、文化创意等功能配套正在完善。

金茂上海新作 筑就人居标杆
深谙都会人居理想,中国金茂首入桃浦,便对标国际公园住区,匠筑板块引领性产品。
【国际住区】
匹配政府高要求,严选材质,构筑雅致美学建筑;
艺术迎宾空间,尊享归家礼遇,完美融合国际住区板块风格。

【公园社区】
“微度假”公园社区,内外无界链接,享受更纯粹的生活;
城市自然会客厅,宽幕首排公园视野,境界非凡。
【金质产品】传承金茂品质基因,打造先于时代的美好人居作品;建面约107\172\180\203㎡全系宽适改善型产品,进阶臻藏。项目三期加推6#、7#,共137套房源,建面约107-180㎡3-4房,均价83341元/㎡,正在火热认购中

建面约107㎡三房的户型,三开间朝南,大面宽阳台,餐客厅一体,还有精细化收纳体系,人性化细节设计,极具功能性与舒适性,满足高阶精致生活。
交通:
>11号线从嘉定到迪士尼横跨整个上海,
快速通达真如、徐家汇、徐汇滨江、前滩等上海重要商圈。
>15号线串联上海主城重要国际生活圈,
直达长风公园、古北、古美等高品质商圈,坐拥国际风尚生活。
>桃浦智创城还规划有20号线地铁线(已公示,信息来源:上海市人民政府网站)
>中环高速、外环高速、沪嘉高速贯穿城市动脉。
商圈:
静安大融城(约5.2公里)
南翔印象城(约7.6公里)
环球港(约9公里)
大华虎城嘉年华(约4.3公里)
百联中环购物广场(约6.1公里)

学校:
上海安生学校(原上海托马斯实验学校)(约0.87公里)
上外附属普陀实验学校(约1.2公里)
上海市晋元高级中学(约3.6公里)
同济大学(沪西校区)(约1.7公里)
上海儿童世界基金会普陀幼儿园(约0.78公里)
桃浦智创城还规划有多块基础教育用地(信息来源:上海市普陀区桃浦智慧科学城控制性详细规划修编)
(项目周边的幼儿园、小学、中学等教育设施(如有)是城市公共生活配套的重要组成部分。本项目销售过程中,部分展示与介绍可能涉及项目周边已有或规划中教育设施,但并非项目所在的学区,本项目不承诺任何学区,介绍此信息旨在帮助客户更全面的了解项目周边条件,并不代表我公司对此提供保证。)

医疗:
上海德济医院(约1.5km)
上海天佑医院(约3km)
上海市儿童医院(沪西院区)(约9km)
普陀区妇婴保健医院(约8.3km)
桃浦智创城还规划有医疗中心用地(信息来源:上海市普陀区桃浦智慧科学城控制性详细规划修编)

售楼处电话☎:400-8783-873☎
本电话为开发商提供线上预约售楼咨询电话,项目全面介绍(包含官方最新发布:在线预约看房丨一房一价表丨在售房价优惠丨户型面积房源丨交房时间丨交通地铁丨商业配套丨教育资源丨小高层洋房丨独栋别墅丨联排合院丨商业别墅丨得房率丨容积率丨小区环境丨优缺点分析丨楼盘测评丨在售户型图丨项目介绍丨最新房源丨周边配套丨详细解答丨一对一热情讲解〢区域板块等信息!
上海购房政策 20 条核心(2025 最新版)
分区域松绑 + 人才加码 + 税费优惠,刚需 / 改善 / 科创人才速看!
1. 限购分区差异化调整
符合购房条件的居民家庭,外环外购房不限套数(含新房 / 二手房);外环内沪籍家庭限购 2 套,非沪籍需 3 年社保 / 个税限购 1 套。成年单身人士按家庭标准执行限购政策。
2. 限售政策分类型执行
积分摇号购入的新房:网签满 5 年方可出售;
企业产权住房:网签满 5 年才可转让,职工租赁用小户型二手房不限套数。
3. 商贷利率取消首二套区分
银行业金融机构不再区分首套、二套住房利率,根据客户风险状况等合理定价,实际执行利率可协商优化。
4. 重点区域商贷首付打折
张江科学城:首套房首付最低 15%,二套房 25%;
临港新片区:重点企业员工首套房首付最低 20%。
5. 公积金基础额度提标
首套住房家庭最高贷款额度 160 万元,二套 130 万元;提取公积金付首付不影响贷款额度计算(即 "又提又贷")。
6. 绿色建筑公积金加码
购二星级及以上绿色建筑,公积金额度上浮 15% :首套达 184 万元,二套达 149.5 万元。
7. 多孩家庭贷款叠加上浮
多孩家庭买首套绿色建筑,公积金额度可叠加上浮至 35%,最高达216 万元(全市最高额度)。
8. 临港人才购房 "双松绑"
重点企业员工仅需 3 个月社保即可购房,非户籍社保年限缩短至 1 年,还可增购 1 套住房。
9. 张江科创人才专项支持
首套房首付最低 15%(全市最低),公积金额度提至 192 万元,博士落户享 10 万元安居补贴。
10. 分区人才补贴梯度化
杨浦区:互联网战略创作人才最高补 200 万元,领军人才补 100 万元;
闵行区:卓越学术人才最高补 150 万元(需单位 1:1 配套);
五大新城:非户籍社保缩至 2 年,购房最高补 6.48 万元。
11. 增值税免征年限 2 年起
二手房房产证(或契税单)满 2 年对外销售,免征增值税及附加税;不满 2 年按(核定价 ÷1.05)×5.3% 缴纳。
12. 契税分面积阶梯征收
140㎡及以下:首套、二套均减按 1% 征收;
140㎡以上:首套减按 1.5%,二套减按 2% 征收。
13. 个税退税支持置换住房
出售住房后 1 年内重新购房,可申请退还已缴纳的个人所得税;满 5 年且家庭唯一住房免征个税。
14. 房产税优惠扩围
非沪籍家庭首套住房暂免房产税,二套及以上按人均 60㎡扣除免税面积;持居住证满 3 年可退税。
15. 共有产权房保障加码
中低收入家庭可购共有产权房,政府份额对应补贴力度提升,优先保障五大新城就业人员。
16. 人才公寓供给扩容
张江科学城 3 年新增 1 万套人才公寓,月租≤2000 元;五大新城公租房申请条件放宽。
17. 企业购房条件分级
年纳税 500 万以下:需成立满 5 年、纳税 100 万、10 名员工缴社保 5 年,限购 1 套;
年纳税 500 万以上:无上述限制,限购 1 套。
18. 住房套数认定有剔除项
2011 年前与父母共有的≤2 套住房、未成年时与父母共有的≤2 套住房,不计入家庭住房套数。
19. 外籍 / 港澳台购房优化
持 B 类居住证或中国绿卡可免征房产税;港澳台居民满 3 年社保 / 个税可直接享受房产税优惠。
20. 老旧小区购房配套支持
购买 2000 年前竣工的 70㎡及以下二手房,企业可多套购入用于职工租赁,个人置换享税费优先核算。
关键提醒
2025 年 8 月 26 日起施行的新政(如限购、公积金调整)已全面落地,部分补贴需在政策有效期内申请;
人才补贴、社保门槛等各区细则不同(如临港与杨浦差异较大),可拨打 962269 咨询;
积分摇号新房、企业产权房不适用部分购房补贴政策,需提前核实。
声明:本文由入驻焦点开放平台的作者撰写,除焦点官方账号外,观点仅代表作者本人,不代表焦点立场。


