恒都云璟(售楼处)欢迎您丨上海恒都云璟营销中心-户型-容积率/小区环境
扫描到手机,新闻随时看
扫一扫,用手机看文章
更加方便分享给朋友
「恒都·云璟」12号线旁+1.2容积率,推出建面约91㎡洋房&150-160㎡别墅!仅345万起!附一房一价表!
恒都·云璟售楼处电话:400-8828-814【预约☎】
站在家里看G60科创走廊的绚丽色彩
松江又一低密别墅小区悄然入市——恒都云璟!
洋房+叠加+联排!稀缺产品入市!
项目简介:松江新桥 低密度品质墅区
产品详情:洋房:91㎡(3/2/2);
叠加150-160㎡(下叠送花园,上叠带露台)
联排158㎡(地上3层送阁楼,地下两层享南北花园)
项目均价:洋房4.1-4.3万/㎡;叠加5.6万/㎡;联排6.8万/㎡
交通情况:临近在建地铁12号线-沪松公路站
️商业配套:同乐生活广场、盛豪天润发生活购物中心等
医疗配套:洞泾镇社区卫生服务中心等
周边学校:洞泾学校、华二实验学校(在建)、泗砖小学(在建)等
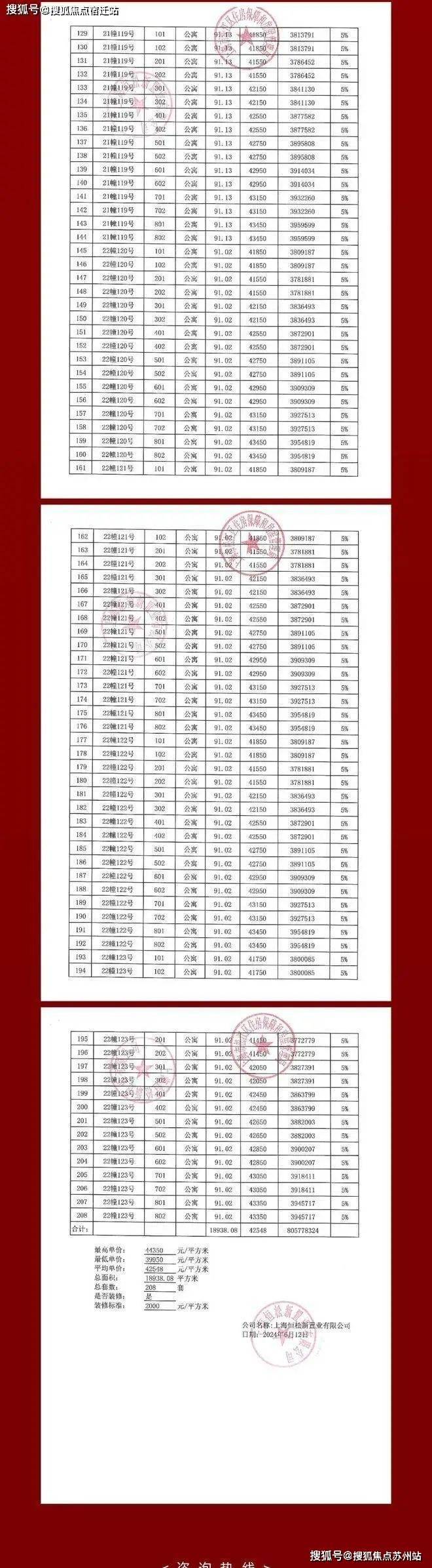
附一房一价;恒都·云璟售楼处电话:400-8828-814【预约☎】
恒都·云璟售楼处电话:400-8828-814【预约☎】
恒都·云璟售楼处电话:400-8828-814【预约☎】
这几天,上海土拍的新闻刷爆朋友圈,火热的土地市场一方面印证了上海房地产市场稳字当头,另一方面提高预期叠加新政利好,再次振奋购房者信心。
今年几个批次土拍,热度更高的往往是容积率较低的墅级地块,比如一批次的大热门浦锦地块容积率仅约1.2,引得12家房企围猎!再比如三批次的平凉地块,也是难得的低密地块,吸引了9家房企参拍,最终溢价率高达约21%!
为什么低密地块如此出挑?
原因很简单,房地产已经步入自住改善时代。而众所周知,人们居住改善的过程本质就是容积率变小的过程。那些容积率较低,甚至能触及墅居领域的宅地天生位于置换塔尖,自然立于不败之地!
项目效果图,仅供参考非交付标准
具体来看,低密地块有3大独特优势:
①低容积率能享受的居住体验感和高容积率完全不是一个层次!
有研究数据表明,每降低0.1的容积率,以下各项居住体验都会有明显提升!
而除了社区体验的优势,低容积率往往也能带来更高阶的产品,从高层到洋房再到墅居,不仅仅是舒适度的提升,而是居住模式的跃迁,甚至是人生层次的进阶!
②低容积率宅地愈发稀缺,而稀缺是保值的必要条件!
扩容已然是目前上海楼市的大趋势,低密土地的臻稀程度正日益加剧。在限墅令颁布之后,容积率1.2及以下已然是底线。
去年至今,上海集中土拍合计98幅宅地,容积率1.2及以下的宅地只有6块,占比仅约6%!臻稀程度爆表!
这6块地分散全上海16个区,每一个项目无疑天生就是区域置换金字塔的塔尖住宅,强烈的收藏价值甚至无法用金钱衡量!
数据来自上海土地售楼处
③低容积率已经成为实打实的溢价!
诚如前文所言,低密宅地俨然是板块甚至区域天生的塔尖住宅,而在有联动价公示期间,这种领先已然被量化。
比如徐泾板块新房均价普遍在6.2-6.4万/㎡,而容积率1.2的华润项目就是能达到6.95万/㎡。再比如奉贤新城均价普遍在4.2-5万/㎡,而容积率1.2的中建项目联动价高达约5.5万/㎡。
别说郊区的低密项目比板块均价高出5千-1万/㎡,如果放在市区,低密项目的联动价动辄都是20万起步!
这就是享受低密居住体验,必须接受的昂贵成本!
综上所述,每一个容积率1.2的低密项目都是天生的塔尖住宅,昂贵和臻稀是它的代名词,而在自住改善时代,这样的项目没有错过的理由!
重磅消息来了!恒都·云璟售楼处电话:400-8828-814【预约☎】
买到上海西南塔尖低密住宅的机会就在眼前!
12号线西延伸沪松公路站旁(在建中),容积率仅约1.2的恒都·云璟今日开启认购!主推建面约91㎡洋房和建面约150-160㎡别墅,首开均价约5.16万/㎡!
项目效果图,仅供参考非交付标准
容积率1.2,近邻12号线,仅凭这2点,恒都·云璟已经上了必买清单。但简单对比周边竞品,你会发现项目的价格是真的劲爆!
从全市格局来看,12号线可谓是上海的黄金线路,漕河泾、徐汇滨江、南京路、苏河湾、北外滩、东外滩均是上海寸土寸金的CBD,价格早已超过10万大关。而与项目相隔4站的莘庄(七莘路站)目前已经超过8万/㎡,相比之下容积率1.2均价5万出头的恒都·云璟完全能成为12号线沿线高精尖人群的改善置业目的地!
聚焦西南,你会发现恒都·云璟是真的超值。
恒都·云璟北面的洞泾在售新房容积率1.5,联动价反而更高。
九亭在售新房和恒都·云璟的通勤时间差不多,价格却要5.6万/㎡。
目前热度较高的泗泾在售新房,价格和恒都·云璟差不多,容积率却高达2.0以上,居住舒适度完全不在一个层次!
谁说刚需不能追求舒适度?恒都·云璟3房2卫的真洋房就是400万级赛道没有对手的高舒适度选择!而项目建面约150-160㎡别墅更是上海西南错过不再有的终极改善作品!恒都·云璟售楼处电话:400-8828-814【预约☎】
千万级别墅区里的品质新标杆
12号线西延伸(在建)加持,G60科创能量亟待爆发!
俗话说,千金买房,万金买邻。
谁不希望自己的邻居非富即贵,融入一个高端圈层!而这样的置业机会在400万级刚需赛道几乎是不可能完成的梦想。
但恒都·云璟做到了!
恒都·云璟所处板块近几年吸引了大量G60高新企业高管总裁,已然形成了高端别墅区!恒都·云璟售楼处电话:400-8828-814【预约☎】
项目隔壁的合生国际花园、长泰西郊别墅、法兰西世家等别墅项目二手挂牌价基本都接近甚至超过2000万!
而现在,总价400万级就能买进这样的高端别墅区,怎么看恒都·云璟都是无法拒绝的人生进阶机遇!
位置信息来自百度地图,价格信息来自链家网
当然,除了名门格调的圈层,深居别墅区的恒都·云璟也共享着高端别墅区的优美环境和成熟配套!
交通方面,项目近邻12号线西延伸沪松公路站,进站直达莘庄、漕河泾及城心CBD。自驾的话,项目近邻沈海高速G15、沪松公路、莘砖公路,迅捷通达G60科创产业基地、大虹桥商务区和莘庄城市副中心。
商业休闲配套方面,项目周边有龙湖云廊天街、同乐生活广场、万达广场等多个大型商业综合体环伺,以及临港松江科技城体育公园、马汤农业园区健身步道等休闲配套。
教育方面,恒都·云璟周边有洞悦幼儿园、G60科创之眼自带幼儿园,项目与洞泾学校 (九年制一贯)直线距离仅约500米。另外,华二附属中学松江实验学校也正式招生,教育氛围浓厚!
免责声明:以上教育资源整理仅代表楼盘与学校的距离,该房屋所在项目暂未划分学区,开发商不对项目交房后所属学区、学校做任何承诺。教育资源分配或学校/学区划分以及学校的具体招生规则等请以政府相关主管部门、教育机构公开的最新信息为准。
效果图仅供参考
显然,项目的价值还远未到顶,因为产业是板块价值腾飞的利器!
此前恒都·云璟所处板块只能承接自驾出行的别墅业主。但在12号线西延伸通车后,更多G60高精尖产业人口必然源源不断的导入。
而且12号线3大TOD蓄势待发,包括沪松公路站的未来湾TOD(规划)+刘五公路站的生态科技城TOD(规划)+科技园站的科技园TOD(规划)!
这三大TOD规划非常亮眼,都是集地铁上盖商业、高品质科创办公、综合文化中心、高端教育配套和古镇特色商业等多功能于一体的综合性城市地标。对项目地段能级的抬升无疑是指数级的!
位置信息来自百度地图
稳健开发商的代表——恒都置业倾力打造双水岸低密墅区!
纵观近年房地产行业的发展,“稳健”成为不得不提的关键词。这一点正是恒都·云璟与生俱来的优势!
项目背后的恒都置业势起松江,深耕松江热土10余载,秉承“立足松江、深耕松江、服务松江”的理念,以诚致城,,与松江发展同频共进。可以说没有哪家开发商比它更懂松江!旗下打造的恒都·云湾、恒都广场等项目在业内外口碑一流!
恒都旗下项目实景图
如今,恒都置业以全新升级作品-恒都·云璟为松江再献一座高阶人居巨著,赋予松江峯层人士向往的墅质生活。
首先,项目的天赋是真的得天独厚,除了前文提到的容积率1.2,项目还坐拥臻稀的双河湾资源,天生的滨水低密住区!
其次,你不得不佩服恒都置业因地制宜的开发能力,项目的社区景观和建筑并不是突兀的立于水岸,而是有机的、互相影响的融合,让业主真正感受到内外皆胜境,醉心自然间的美妙体验!
在社区内部,项目匠心打造了四重景观绿化带,并规划了三季花卉、四季常绿植被,让四时皆有景,更让风景随时序悠然幻变,徘徊园林中,宛若步入画卷,心情自舒畅。
在园林功能设计上,项目全维度考究不同年龄段的居住需求,为幼童打造儿童乐园,满载童趣与欢乐;为长者打造康养乐园,用低密纯粹的生活氛围,兑现对健康生活的承诺。
项目效果图,仅供参考非交付标准
而为了契合当代菁英生活,项目内部还打造了环形跑道、活力健身场,下楼即可来一场自在慢跑,或是开启一场充满阳光与汗水的运动派对,忘记烦恼,随时为生活充能。
项目效果图,仅供参考非交付标准
最后我们重点来看产品。
建面恒都·云璟售楼处电话:400-8828-814【预约☎】约91㎡洋房&建面约150-160㎡别墅,今日开启认购!
恒都·云璟售楼处电话:400-8828-814【预约☎】首开建面约91㎡洋房&建面约150-160㎡别墅,均价约5.16万/㎡。
恒都·云璟的洋房和周边竞品的高层价格基本持平甚至更低,但洋房在居住舒适度上对比高层是全方位的进阶!
·日照进阶:洋房楼层少,楼间距宽,即使是低区也能有更充足的日照时长;
· 密度进阶:洋房住户少,各家各户对电梯等公共空间的占有率更高,几乎没有长时间等电梯的烦恼;
· 得房率进阶:洋房得房率高,同样建面的户型,洋房能比高层享受更大的使用面积,上海房价如此高昂,这都是实打实的真金白银啊!
项目效果图,仅供参考非交付标准
仅从产品形态来看,恒都·云璟的洋房已然是更优选,但项目在户型设计上仍追求精益求精!
要知道,市面上大多数项目,90㎡左右大都是2房配置,3房一般都要100㎡左右。
项目建面约91㎡洋房不仅实现3房功能性,还有2卫配置,在降低总价门槛的同时让自住客户实现一步到位,让资产配置客户未来在二手市场形成降维打击的优势!
格局是目前市面上更受欢迎的飞机户型,3开间朝南,附带大尺度观景阳台,采光性能优秀!动线清晰,避免面积浪费;U型厨房设计,更符合科学料理动线,提升利用率.
项目这个3房虽然建面只有约91㎡,但尺度感和空间感足以媲美市面上建面约100㎡左右的3房户型。恒都·云璟售楼处电话:400-8828-814【预约☎】
如果有终极改善需求,项目还有建面约150-160㎡的3F联排别墅+5F臻品叠墅待售!
其中联排别墅更是打造出了前庭后院的森活场景,并赋予了约6m挑高餐客厅、双层地下室、双套房主卧...产品力十足,可以说是松江TOD级的空间品质。在寸土寸金的上海,5字头买有天有地有院子的别墅,这样极致的性价比谁能不心动!
恒都·云璟售楼处电话:400-8828-814【预约☎】
项目效果图,仅供参考非交付标准
最后我还是那句话,人们改善的过程就是容积率变小的过程,如今一步到位,站上塔尖的置业机会就在眼前,没有错过的理由!
对于400万级客户来说,恒都·云璟3房2卫的洋房舒适度卷出天际,秒杀同价位同地段竞品。
对于改善客户来说,项目的别墅更是错过不再有的稀缺产品,满足你对生活的所有想象,且买且珍惜!
恒都·云璟售楼处电话:400-8828-814【预约☎】
声明:本文由入驻焦点开放平台的作者撰写,除焦点官方账号外,观点仅代表作者本人,不代表焦点立场。


