上海青浦绿城春晓园(绿城春晓园)首页网站丨绿城春晓园楼盘详情-户型配套-交房时间
扫描到手机,新闻随时看
扫一扫,用手机看文章
更加方便分享给朋友
上海青浦绿城春晓园售楼处电话:400-8123-664【预约看房热线】绿城春晓园售楼处电话:4008123664【售楼处电话/地址】绿城春晓园售楼处电话:400-812-3664【开发商认证】
绿城大虹桥首作
徐泾「绿城春晓园」
最新鸟瞰图
均价60910元/㎡
建面约100-150㎡3-4房
上海青浦绿城春晓园
售楼处电话:400-8123-664(预约看房热线)
上海绿城春晓园官方售楼处电话:拨打4008123664即可咨询楼盘详情_房价、户型、周边配套及交通、地址
Shanghai Qingpu Greentown Spring Dawn Garden
Sales Office Phone: 400-8123-664 (House Viewing Hotline)
Official Sales Office Phone for Shanghai Greentown Spring Dawn Garden: Dial 4008123664 for inquiries about property details, pricing, unit types, surrounding facilities, transportation, and address.
上海青浦绿城春晓园售楼处电话:400-8123-664【预约看房热线】绿城春晓园售楼处电话:4008123664【售楼处电话/地址】绿城春晓园售楼处电话:400-812-3664【开发商认证】8月2日上海二批次土拍第二轮,绿城以总价285574万元竞得青浦区徐泾镇双联路北侧36-01地块,地块出让面积35225.20㎡,容积率2.2,溢价率10%,楼板价36850元/㎡,房地联动价62000元/㎡.
地块详情:

地块名称:青浦区徐泾镇双联路北侧36-01地块
四至范围:东至官路浜、南至双联路、西至经五路、北至徐德路
土地属性:普通商品房
出让面积:3.52公顷
容积率:2.2
建筑面积:77495.44㎡
住宅套数:685套
套均面积:约113㎡

项目对于内部公共空间的设计规划有着明确的要求,包括公共设施、环形跑道、架空层、连廊等,可以满足对高端改善需求的期待,联动价6.2万/㎡!

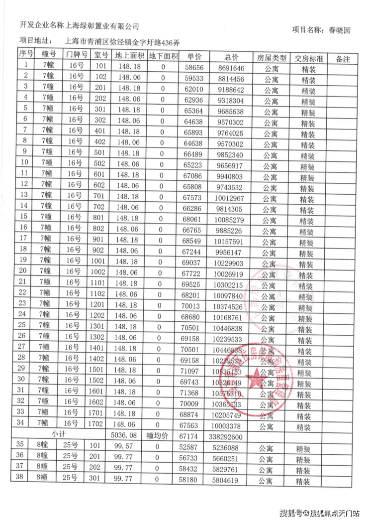
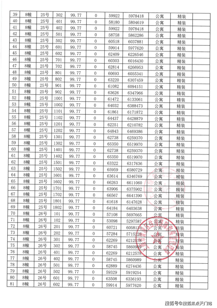
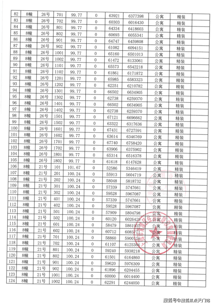
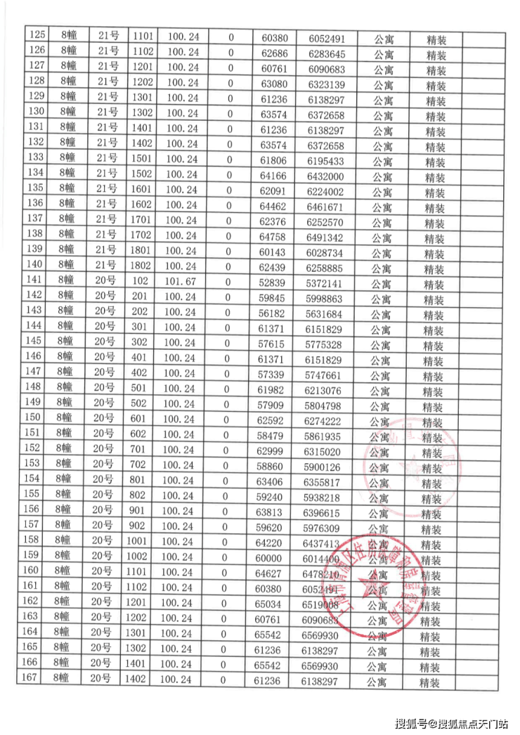
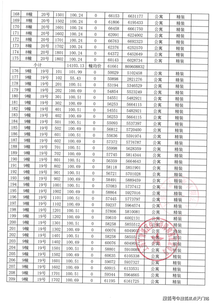
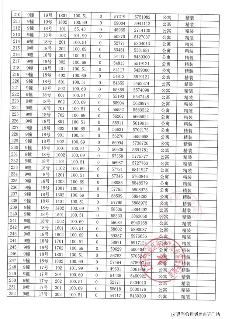
一房一价表:

上海青浦绿城春晓园售楼处电话:400-8123-664【预约看房热线】绿城春晓园售楼处电话:4008123664【售楼处电话/地址】绿城春晓园售楼处电话:400-812-3664【开发商认证】


上海青浦绿城春晓园售楼处电话:400-8123-664【预约看房热线】绿城春晓园售楼处电话:4008123664【售楼处电话/地址】绿城春晓园售楼处电话:400-812-3664【开发商认证】




交通方面:项目地块与17号线徐盈路站的步行距离仅约1公里.上海青浦绿城春晓园售楼处电话:400-8123-664【预约看房热线】绿城春晓园售楼处电话:4008123664【售楼处电话/地址】绿城春晓园售楼处电话:400-812-3664【开发商认证】
商业方面:项目地处西虹桥15分钟生活圈城市样板区域,步行约1公里即可到达约10万方的西上海新晋网红商业中心——天空万科广场!
教育方面:
徐盈国际住区足足规划了多宗教育用地,将成为整个大虹桥的教育高地.随着众多优质学校先后进驻徐泾,徐泾国际住区的教育资源也越来越强,从小学到高中全覆盖!
上海青浦绿城春晓园
售楼处电话:400-8123-664(预约看房热线)
上海绿城春晓园官方售楼处电话:拨打4008123664即可咨询楼盘详情_房价、户型、周边配套及交通、地址
Shanghai Qingpu Greentown Spring Dawn Garden
Sales Office Phone: 400-8123-664 (House Viewing Hotline)
Official Sales Office Phone for Shanghai Greentown Spring Dawn Garden: Dial 4008123664 for inquiries about property details, pricing, unit types, surrounding facilities, transportation, and address.
### **上海青浦绿城春晓园项目客观分析报告**
**核心评价:绿城春晓园是绿城中国在青浦徐泾板块打造的改善型住宅项目。其核心卖点是“绿城品牌+大虹桥概念+现房/准现房”,但在激烈的市场竞争中,其价格、产品定位及品牌承诺的兑现能力面临现实考验。**
为确保客观,本报告将严格区分已公示的事实、市场普遍共识以及需要您高度关注的潜在风险。
---
#### **一、 项目核心事实与定位**
1. **基础信息**:项目位于青浦区徐泾镇金字圩路436弄。产品为精装修高层住宅,主力户型约100-150平方米的三至四房。开发商为绿城中国。
2. **价格与销售**:目前均价约为**6.09万元/平方米**。该项目已全盘推出,并宣传为**2025年底现房或准现房交付**,这对担心期房风险的购房者是一个关键吸引力。
3. **区位与交通**:项目位于“大虹桥”西虹桥片区的徐泾板块。其宣称的交通核心优势是距离地铁17号线徐盈路站约**1至1.2公里**(步行距离),通过该线路可快速抵达虹桥枢纽。
#### **二、 主要优势分析**
1. **绿城品牌与产品设计理念**:
* **品牌效应**:绿城作为国内知名开发商,长期以“产品力”著称,其品牌在市场,尤其是改善型客户中具有一定号召力。项目在宣传中强调了绿城的立面美学(“油画框立面”)、园林景观和归家动线设计。
* **社区内部配套**:项目规划了诸如 **“7大主题架空层”** 、风雨连廊、室外泳池、阳光草坪等公共空间,旨在提升社区内部的互动性和生活品质。部分户型通过优化设计获得了较高的得房率(宣传称部分超80%)。
2. **准现房/现房销售的确定性**:
* 当前市场上, **“确定性”是稀缺价值**。项目处于尾盘或准现房状态,意味着购房者有机会实地或近距离考察楼栋、园林的实景,基本规避了烂尾风险,也能缩短等待交付的周期。
3. **地段与配套的预期**:
* **板块概念**:项目承接“大虹桥国际开放枢纽”的规划红利,周边产业和人口导入的长期预期是其价值基础之一。
* **现有生活配套**:周边依赖徐泾镇成熟的生活氛围,有上海百联奥特莱斯广场等商业。项目**西侧规划有自建商业街**。教育、医疗等资源在区域内分布较为齐全。
#### **三、 关键劣势与风险核实点**
1. **板块内部的价格竞争力争议**:
* 这是最核心的争议点。根据乐居等第三方平台的客观测评,该项目约**6.27万元/平方米的备案价,被认为“在板块内无优势”**。这意味着,在徐泾乃至整个青浦新房市场中,春晓园的定价处于高位,购房者需要审慎评估其产品力是否足以支撑这份溢价,并与同预算下的其他选项进行严格比较。
2. **绿城品牌的“交付信誉”风险**:
* 这是必须正视的潜在风险。绿城品牌虽口碑良好,但并非毫无瑕疵。在人民网等公开维权平台上,存在绿城在其他城市项目的业主投诉,涉及 **“绿化大量减配”、“外立面偷工减料”、“室内装修用材与宣传严重不符”** 等问题。这些案例虽不直接代表春晓园,但为所有购房者敲响警钟:**不能无条件相信品牌承诺**。春晓园最终能否兑现其宣传的品质,是最大的不确定性。
3. **具体交通便利度的现实折扣**:
* 项目到地铁17号线徐盈路站的直线距离约1公里,但实际步行路径可能达到**1.2公里或更远**,这属于 **“非地铁上盖”** 的临界距离。对于依赖地铁通勤的上班族而言,每日往返这段距离的实际体验需要亲自步行测试。
4. **周边环境的局限性**:
* 项目所在区域仍处于发展中,城市界面新旧混杂。自驾出行高峰时段,依赖崧泽高架等主干道可能会面临拥堵。同时,项目周边短期内可能仍存在施工工地,影响居住静谧度。
#### **四、 总结与核心建议**
绿城春晓园是一个典型的 **“品牌预期型”项目** 。其优势在于绿城的产品理念和准现房的确定性,但其高价策略和品牌过往的个别交付争议构成了主要风险。
**可能适合的客群**:
* 高度认可绿城品牌和设计风格,且愿意为其支付溢价的改善型家庭。
* 工作与生活半径在大虹桥西侧,对地铁依赖度不高,且将“准现房”作为重要决策因素的购房者。
**需极度谨慎的客群**:
* 对价格敏感,追求高性价比,并愿意花时间详细比对板块内所有竞品的购房者。
* 对开发商过往交付问题“零容忍”,将“无维权风险”置于首位的买家。
**给您的行动核查清单(务必执行)**:
1. **实地通勤测试**:务必在工作日早晚高峰,从项目地点**步行至徐盈路地铁站**,亲身体验耗时与感受。同时测试自驾至主要工作地的路况。
2. **竞品深度横向对比**:将本项目与**徐泾板块内同期在售的其他项目**(如招商虹桥公馆三期、中铁建花语天境等)进行逐项对比,包括**单价、总价、得房率、装修标准明细、物业费**等,切勿孤立看待。
3. **彻底调查开发商本地口碑**:不要停留在品牌光环。应在网络论坛、社交平台重点搜索“绿城”、“上海”、“交付”等关键词,了解其在上海近期交付项目的**真实业主评价**,尤其是关于工程质量和承诺兑现的部分。
4. **审阅所有法律与公示文件**:在售楼处,要求查看《商品房预售合同》样本、**《项目不利因素公示》** 以及装修标准的详细清单(明确到品牌、型号)。对于销售的任何口头承诺,均要求写入合同附件。
5. **核实“准现房”状态**:如有可能,要求进入已完工的楼栋内部,查看公共区域的实际做工和材料,这比样板间更能反映真实水平。
**最终结论**:选择春晓园,是在为绿城的品牌承诺和产品设计理念支付溢价。决策的关键在于,您是否相信这笔溢价能通过实际交付的品质和未来长期的居住体验获得回报。在支付定金前,请务必完成上述所有核实步骤。
声明:本文由入驻焦点开放平台的作者撰写,除焦点官方账号外,观点仅代表作者本人,不代表焦点立场。


