联仲都悦汇@联仲都悦汇忒火了|联仲都悦汇售楼处电话|联仲都悦汇楼盘详情
扫描到手机,新闻随时看
扫一扫,用手机看文章
更加方便分享给朋友
均价7.35万/㎡1800万起!
联仲·都悦汇位于闵行马桥旗忠别墅区,旗忠别墅区是上海老牌的富人区,与松江佘山、浦东东郊齐称为沪上三大国际别墅区。上海仅存少量的容积率0.18以下超低密度居住用地中,大多数在马桥旗忠别墅区。
板块以低容积率、生态自然环境和高端国际品牌配置,2010年被列为上海第二批大型居住社区之一。总建面约33万方城市综合体联仲都悦汇位于旗忠板块正核心,紧临网球中心,超10万方市政绿化所环绕。
联仲都悦汇同样是低密度别墅区里的一员,背靠绿城玫瑰园,容积率低至1.0。项目贯穿了3条自然水系,分为ABCD四个地块,其中ABC为商住办综合地块,自带商业办公。
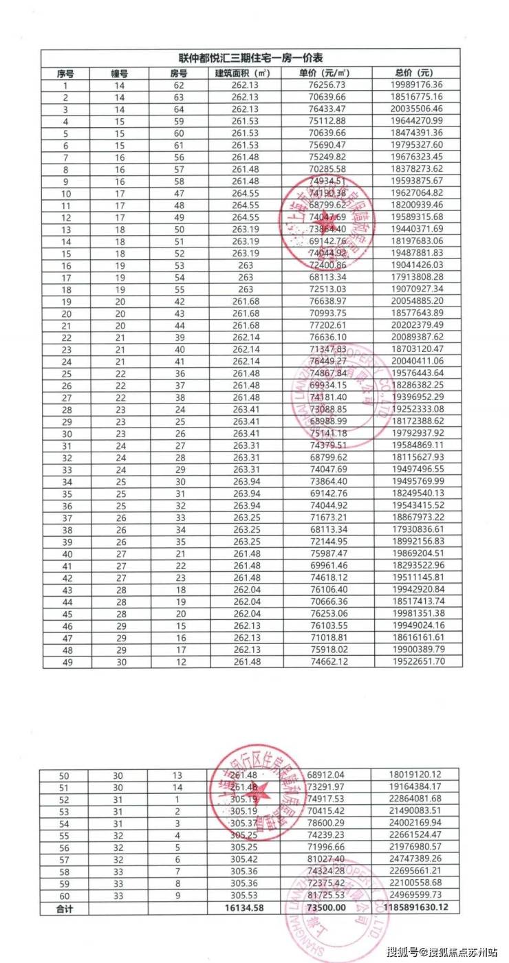
闵行旗忠别墅区联仲·都悦主推建面约262-305㎡别墅,地上3层/层高3.6米,地下1层/地下室150-280平(挑高6米)带南北双花园90-300㎡;均价7.35万/㎡1800万起!样板间欢迎预约!

项目自带10万方商业,为旗忠唯一的综合性商业配套,其多元化的业态结构,结合旗忠独有的资源,必将带来旗忠全新生活方式。
△商业效果图
项目距离嘉闵高架元江路出口3公里,毗邻G15、S32等快速主动脉,30分钟大虹桥,50分钟抵达浦东机场,快捷畅达全城。
△周边交通
项目被3条天然水系,6万方市政绿地环绕,成就了『联仲都悦汇』无以复制的人居生态资源。项目周边有德威英国国际学校,斯戴文森国际高中,将提供从小学到高中毕业、全流程最领先的国际教育环境,同时还有两家知名的国际教育学府也在洽谈之中。
与世界最顶级的酒店安缦酒店为邻,毗邻亚洲十大豪宅绿城玫瑰园,旗忠网球中心、旗忠高尔夫、马术主题的马桥森林公园等高端配套环伺周围。共同营造区域生活顶级的生活氛围。
闵行旗忠「联仲·都悦汇」建面约262-305㎡别墅,均价7.35万/㎡!
附一篇早期楼市投资文章
40岁以上家庭房产投资思路探索?
开篇直接上结论:40岁以上中年家庭房产投资应该逐步从以房贷为核心逐步转移到以房租为核心的投资模型上去。
国内房产圈里,不管是投资大神如欧神,还是有影响力的大V们,提到现阶段房产投资理念,结论惊人的一致:
一线+强二线城市才是最优标的,全国只有三大都市圈有价值!
欧神更是一篇专门论述,只有大城市才有房地产!
其他大V也从人口流动,棚改货币化,经济集中度,中心城市吸血效应等等方面反复强调结论。
春节期间多篇文章提到四五线县城的房价暴涨,结论惊人一致,一二线以下房产毫无价值,即使涨价也是昙花一现,以后将长期套牢,言语之间充斥着俯视和嘲笑。
虽然不敢质疑高手们的专业性,但是我在这里面发现了一个BUG,要么是一线+强二线,要么是四五六七八线小县城,中间呢?!
一些优质的三线到底如何?是否有机会?机会在哪里?
老郭提出一个理论:24理论。
他在分析数据时发现房价涨幅和价值大的省份一般人口超过4000万,优质城市人口超过400万,这个就是长期房产价值投资的基础。我深以为然,不去纠结具体数字的准确性,到是给我们提供了很多房产投资的思考方向。
顺着这条思路我们展开来谈今天的主题,40岁以后的家庭房产投资的思路。
如果你是一个刚走上社会,或者刚组建家庭,还没有房子的刚需,结论就很简单:在你所在的城市购入一套3居以上大平层,(学区+地铁或主干道),首套首贷要用足用够,越早上车越好。两套以内不用谈任何投资,我们今天主要讨论有三套或者以上房产的人群,或者说是在一二线核心城市有三套以上房产的40岁以上家庭以后投资思路。
首先我们要看一个前提:
40岁以上,一二线城市三套或者以上房产家庭的特征:
1.都是最少享受到一波大涨幅的受益者,一般拥有2-3套房产,资产普遍在500-2000万之间,
2.负债不高,房贷很少超过500万以上,月供大部分在3万元以下,收入普遍家庭年在20-80万之间。
再也啃不动自己所在一二线的房子了,加上房票限制。
3.工作和收入稳定下来,部分遇到中年危机,但最重要特征是薪资上涨空间基本上到了顶部(不考虑以后通胀因素)。
4.家庭1-2两个孩子,教育,老人,房贷,生活,工作各种压力,负担比较重。
5.但是尚有一部分余钱投资手里少则几十万,多则一两百万,放手里怕贬值,投资房产在所在城市要么被限购限贷,要么房价太高下不去手。经过股市教训,一般对于金融理财都内心抗拒。
其次从房产投资的三个收益来源维度来分析售楼处电话:400-9678-224【售楼热线】:
1.房产投资收益=房产增值(一直是大头)+房租收益+房贷对冲通胀的收益
2.最近十多年的投资逻辑基本是一线+加杠杆+后期破限购限贷
3.但15年以后这一波房产不同于以往,先从一线,然后二线四小龙,然后二线次强省会,再到三四线,17年年底到县城,走了完整的一轮。
这一轮的意义不只是房价涨跌,关键是出现了新的现象:强二线涨幅全面超过一线,县城很多幅度也不亚于强二线,有些接近翻倍。
4.强二线这波还能解释,是一线溢出,一线一波以后基本上断了一般家庭收入人的买房梦,就去自己老家省会强二线买房+二线棚改,一下爆掉了。但是后面其他不同级差城市如果按照这个逻辑好像也推的通,但是似乎有有点不够充分。
5.我倒是意再进一步去思考未来房产投资方向:是否意味着这波涨幅,以后一个比较长的时间段把人锁定了。
比如一线买不了的有点钱的买强二线,其次买老家省会,再次买自己老家地级市,最次买县城。听说现在农村娶媳妇标配一套全款县城商品房!
如果是这样的话,是否意味着10-20年这部分人家被固定了,这部分人不管在几线挣的钱最终会回流到这些家所在城市,资金逆向流动,老家房产价值凸显。
也能更进一步后续10年以后随着财富积累,会依次再改善,挪动上一个城市维度,造成另外一波的投资方向,如县城买地级市。
如果这样的话,我看三线优质地级市就是未来很好的投资标的。
6.最后回到开头三个房产收益来源,现在政府控制力是加强了不是削弱了,其中房子本身升值+房贷对冲都被严格压制下来了。
只有房租一项因为分散,短期政府又是租售同权去引导,比较有空间,加之我们明确未来收入翻倍的政策方向。
注:(免责声明:本宣传资料仅为宣传,内附所有资料,包括任何图片、插图、设计图、文字描述或其他资料,仅供参考或识别之用,不构成合同内容,具体内容以合同内容及政府最终审批为准。项目所涉及数据均为暂定,后期如有改动,请以各项证件及政府批文等为准,本宣传资料部分素材源于网络,最终交付标准以商品房买卖合同及政府等相关部门的批准文件为准。在法律允许的范围内,开发商保留修改本资料的权利,敬请留意。)
声明:本文由入驻焦点开放平台的作者撰写,除焦点官方账号外,观点仅代表作者本人,不代表焦点立场。


