信达信安里售楼处电话→信达信安里售楼中心电话→信达信安里楼盘百科→首页网站→楼盘百科→首页网站→信达信安里售楼处24小时热线电话
扫描到手机,新闻随时看
扫一扫,用手机看文章
更加方便分享给朋友
信达信安里售楼处电话:400-8123-664✔✔│信达信安里官方售楼处地址发布:上海静安信达信安里官方售楼处电话400-812-3664
内环内老静安核心板块
建面约275-540㎡风貌别墅
还有建面约90-100㎡高层房源
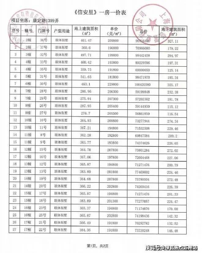
别墅27套均价19.98万/㎡
售楼处提前线上预约
信达信安里售楼处电话:400-812-3664
上海静安信达信安里售楼处电话☎:400-8123-664【开发商售楼处预约看房热线】(一对一热情服务)
看房请提前致电预约,可享受内部渠道优惠!联系销售人员获取最新一房一价表,官方售楼处最新优惠底价!开发商官方销售人员将详细介绍每个户型的独特设计和优势,带您参观样板间,感受精装修的品质和温馨氛围。您还可以了解周边配套设施,包括高端购物中心、优质学校和便捷交通网络,让您的居住体验更加完美。
信达信安里售楼处电话:400-8123-664
一房一价表如下
信达信安里售楼处电话:400-8123-664
老静安核心,藏品级风貌别墅—信达·信安里重磅面世!
27套建面约280-540㎡的风貌别墅,均价19.98万/㎡!
20万不到的单价,这绝对是个惊喜!要知道这里可是老静安核心,看看虹口的风貌项目,单价超过了24万,杨浦的项目,也超过了20万!而老静安核心才19.98万/㎡!
示意图
信达信安里售楼处电话:400-812-3664
上海静安信达信安里售楼处电话☎:400-8123-664【开发商售楼处预约看房热线】(一对一热情服务)
最低总价6000万不到,就能拥有一套老静安核心的、高附赠空间的风貌别墅!只有在信安里!
信达信安里售楼处电话:400-8123-664
✦TA藏在老静安的梧桐区,是曹家渡板块仅存的石库门建筑;
✦在城市更新中,TA有着多样的风貌保护策略;
✦TA突破了风貌别墅的窄开间,打造出四开间,甚至更大的内部空间;
✦TA将历史文脉融入,又通过公园与商业街与现代城市融合;
信达信安里售楼处电话:400-8123-664
老静安核心,曹家渡仅存的27套风貌建筑,会如何更新改建,从“旧式住宅”,变为“理想住宅”,表达符合时代需求的新海派居住空间
信达信安里售楼处电话:400-8123-664效果图/最终交付为准
这次执笔的是信达地产,从北京东富之源东直门“信达中心·东外39号”,到上海西贵之源静安寺“信达·信安里”,信达要打造中国城市更新的南北参照系范本。
信达信安里售楼处电话:400-8123-664
在老静安的核心,信达·信安里的地块上,著名建筑设计院日清建筑给出了最适合的方案——最大限度地保留风貌原味,部分建筑采取保留改造,部分更新改造。
信达信安里售楼处电话:400-8123-664
地块保留并优化了原始行列式肌理,保留里弄名称、沿用原始门牌。
肌理保护分析图
信达信安里售楼处电话:400-8123-664
永和邨、太平坊、得发里、积善里、高家宅……许多个百年前的石库门“楼盘”共存于今天信安里项目的地块上。
东西向的行列式肌理占据着主导地位,但也因为后期的厂房等建筑的加入而被打破、分割成东西各自孤立的两个片区。
正如信安里的总建筑师、日清建筑事务所宋照青先生所说:“肌理保护是风貌保护最基本的调性。”
作为焕新的第一步,建筑师将得发里、鹤寿里以及永和邨南北向的建筑全部平移到地块中央进行肌理织补,拉通了原有未贯通的东西向巷弄,使行列式肌理达成连续性,并且扩大了文保部门认定的肌理保护范围。
平面布局生成示意图
信达信安里售楼处电话:400-812-3664
上海静安信达信安里售楼处电话☎:400-8123-664【开发商售楼处预约看房热线】(一对一热情服务)
肌理的延续和保存为整个街区的历史风貌保护提供了基底和框架。
一些特色的保留,则更好的保留了城市的记忆。
永和邨、得发里采取的是保留改造。
风貌别墅效果图/最终交付为准
信达信安里售楼处电话:400-8123-664
孟莎式屋顶是永和邨最大的特色。这些满铺着红色机平瓦的孟莎式屋顶都被完整地保留了下来,连同屋顶上的老虎窗、清水红砖的外墙、石库门、山墙压顶和转角石一起。这样的屋顶,有效地扩展了阁楼的利用空间,也更具辨识度。
信达信安里售楼处电话:400-8123-664
得发里是一栋20世纪30年代的石库门公馆,也是区域内唯一的独栋建筑,将近百年的岁月在它身上留下了数不清的痕迹。这栋三层楼的公馆最终被移到场地中央,去除了搭建区域,露出了原本的露台空间,清水青砖墙面、山墙压顶、线脚等装饰构件都被保留下来。而它最具特色的形同坊门的双层石库门门头被重新修缮,焕然一新。
风貌别墅效果图/最终交付为准
信达信安里售楼处电话:400-8123-664
太平坊、积善里、高家宅、鹤寿里采用的是更新改建,其中高家宅和积善里最接近传统石库门典型的三间两厢形制,极具典型性,保留主要的风貌特征,采用传统建筑材料与建筑色彩,提取特色元素并应用,结合功能对建筑体量、面宽、开间进行优化。
信达信安里售楼处电话:400-8123-664
太平坊还原以青红砖为主的建筑风貌、红色机平瓦屋面、天井空间序列和格局。
一方面最大限度保留风貌,建筑的外立面采用陶砖砌筑的做法,最大限度的还原并优化了石库门别墅的立面质感;院门门头及窗门套采用石材材质,进一步提升质感与耐久品质。
信达信安里售楼处电话:400-8123-664
另一方面,更加适应现代生活的需要,采用一体化pc夹心保温构造,能够提供给居家非常舒适的保温节能条件,提高长久的居住舒适度。
在这里,历史的记忆和岁月的味道会被留存,用浓浓的海派印记,讲述着过去的故事,演绎着未来的生活。
信达信安里售楼处电话:400-8123-664更阔绰大空间、高附赠,现代花园生活
外在,信安里更好的保留了历史原味,内在,则突破了一般风貌别墅的瓶颈,有了颠覆性的构造。
示意图
信达信安里售楼处电话:400-812-3664
上海静安信达信安里售楼处电话☎:400-8123-664【开发商售楼处预约看房热线】(一对一热情服务)
19.5米的通厅!
信达·信安里风貌别墅的内部空间突破了许多风貌别墅“窄开间”的瓶颈,打造出“大面宽,短进深”的奢阔舒适的现代居住空间。这在市面上极其少见!
信达信安里售楼处电话:400-8123-664一般风貌别墅可能只有2开间朝南,而信安里主力户型建面约360㎡户型,做到了整体4开间朝南。就算是建筑面积约280-290㎡的小面积,也做到了3开间朝南
一层客厅方案过程效果图
信达信安里售楼处电话:400-8123-664
建筑面积约540㎡的超大宅,更是5开间朝南,做到了惊人的19.5米大通厅!
户型图如下
当空间的面积与选择的多样性达到一个临界点的时刻,质变就发生了。
一层楼梯方案过程效果图
信达信安里售楼处电话:400-812-3664
上海静安信达信安里售楼处电话☎:400-8123-664【开发商售楼处预约看房热线】(一对一热情服务)
这样的通厅不会再仅仅只承载会客厅的功能,它变成了一个自由和开阔的场域中心,包容着无数种场景的可能性,细致关照每一种家庭中每一个个体的需求。
二层家庭娱乐区方案过程效果图
信达信安里售楼处电话:400-8123-664
一场生日舞会、一个小型展览、一次品酒会……一个万花筒般的生活秀场,人们能在永和邨的风貌大宅里找到。
7.2米高的地下室!
同样在永和邨,一个7.2米高的地下室,最大面积可达320㎡!并且没有柱子,与普通五六米的地下室相比,在这里,后期可以再做一层夹层,又多出一层的面积。
会客区方案过程效果图
信达信安里售楼处电话:400-8123-664
可以想象这样的空间能承载多少种生活吗?摆满各种健身器材的健身区、铺满镜子的舞蹈室、私密静音的钢琴房、放松身心的SPA区,甚至私人酒窖、雪茄室……一切都随心所欲。
健身房方案过程效果图
“2+3”的空间格局!
信达信安里售楼处电话:400-8123-664地下两层、地上两层加阁楼的空间格局,多么丰盛的生活都容纳得下。
地下夹层方案过程效果图
信达信安里售楼处电话:400-8123-664
建筑面积约360㎡主力户型,一、二层层高3.3米,一层是大尺度的派对、活动空间,朋友小聚、亲子游戏,随心所欲。
一层方案过程效果图
信达信安里售楼处电话:400-812-3664
上海静安信达信安里售楼处电话☎:400-8123-664【开发商售楼处预约看房热线】(一对一热情服务)
二层是主人的私密空间,起居室、卧室、书房、衣帽间,大宅的空间尺度,阔绰舒适。
二层方案过程效果图
信达信安里售楼处电话:400-8123-664
三层阁楼,搭配上梦莎式屋顶和老虎窗,空间通透明亮,阳光随时洒入室内。
三层阁楼方案过程效果图
地下两层,一层灵动空间,二层别墅停车位,功能更强大。
地下B2门厅方案过程效果图
信达信安里售楼处电话:400-8123-664
另外,还有地下三层,为整个小区公共停车位,可极大的提升别墅的防潮性。
并且,别墅采用双层分户墙做法,每户之间没有共用墙。加厚外墙、楼板,做到200mm厚度,避免邻里的相互影响,带来舒适静谧的居住感受。
更通透、更开放的花园生活!
信达信安里售楼处电话:400-8123-664更通透、更趋于开放,这是老式石库门向花园里弄的转变中所呈现出的清晰变化。
信安里每户南侧带约30-100㎡私家庭院,提供私密的活动空间,是一个种花养宠、放空心情的自有天地。
厚重而封闭的黑色木门消失了,取而代之的是通透的格栅。四时变化,时光流转,归家的人在光影和芳香的陪伴中进入庭院。
南侧设计有雅集花园,以精巧的景观设计和灵活多变的布局为社区提供开放式公共空间,二者之间以高层住宅的架空层实现过渡。
同时,建筑师还利用车行主入口的空间,结合水景、景墙和绿化打造出别具风格的开放式景观节点,并在风貌保护区的巷弄内设置端头对景,宅间花园等。
效果图/最终交付为准
信达信安里售楼处电话:400-812-3664
上海静安信达信安里售楼处电话☎:400-8123-664【开发商售楼处预约看房热线】(一对一热情服务)
信达信安里售楼处电话:400-8123-664让街道拥有多样性,让石库门里弄“呼吸”。
在封闭与开放之间,在独处与社交之间,21世纪的石库门别墅找到了它平衡的基调。
更融合将文脉融入开放空间,衔接城市
信达信安里售楼处电话:400-8123-664信达·信安里位于老静安核心,大隐隐于市。
进是以千年古刹静安寺和南京西路为核心的繁华商圈和双轨交便捷出行系统,退是名人故居、名校、公园环绕的人文家园。
静安寺示意图/来源网络
信达信安里售楼处电话:400-812-3664
上海静安信达信安里售楼处电话☎:400-8123-664【开发商售楼处预约看房热线】(一对一热情服务)
风貌别墅要如何与这样的城市界面相融合?信安里用风貌商业街和历史记忆公园,抓住了建筑、街巷与城市如何有效串联的密码,来更好地融入现代城市,成为繁华都市生活的一部分。
外市内里,是石库门里弄的常见形态。地块内部主要是承担居住功能的石库门建筑,而四周临街一侧主要是进行商业活动的市房。
康定路南侧是一排连续的充满历史感的市房界面,两层与三层,错落有致,形成了富有趣味的天际线。建筑师延续并优化了这个市房界面,高度不同的市房组合在一起,构成山字形的天际线,外立面的水刷石材质和AntDeco风格的V字装饰元素也被保留井优化运用,以此来复原并优化康定路商业街。
效果图/最终交付为准
信达信安里售楼处电话:400-812-3664
上海静安信达信安里售楼处电话☎:400-8123-664【开发商售楼处预约看房热线】(一对一热情服务)
看房请提前致电预约,可享受内部渠道优惠!联系销售人员获取最新一房一价表,官方售楼处最新优惠底价!开发商官方销售人员将详细介绍每个户型的独特设计和优势,带您参观样板间,感受精装修的品质和温馨氛围。您还可以了解周边配套设施,包括高端购物中心、优质学校和便捷交通网络,让您的居住体验更加完美。
房屋贷款还清后:必须办理的手续全解析及疑问解答
对于许多购房者而言,还清房屋贷款无疑是一个重要的里程碑。它不仅标志着经济负担的减轻,更意味着房产的真正归属。然而,房屋贷款还清后并非万事大吉,还有一系列必须办理的手续等待着我们。本文将详细解析房屋贷款还清后需要办理的手续,并针对一些常见疑问进行解答,帮助购房者顺利完成这一重要过程。
一、房屋贷款还清后需要办理的主要手续
(一)与银行相关的手续
1.办理贷款结清证明
贷款结清证明是证明购房者已经还清贷款的重要文件。购房者需要向贷款银行申请开具此证明,可以通过银行柜台、网上银行或客服电话等多种方式申请。在申请时,购房者需要提供个人身份证明、贷款合同等相关材料。银行在核实还款情况后,会出具贷款结清证明,并加盖银行公章。^[1][5]^
疑问解答:贷款结清证明有什么作用?
贷款结清证明的主要作用是证明购房者已经还清了全部贷款,这是后续办理房产解押等手续的必要文件。同时,在购房者需要证明自己的还款情况时,贷款结清证明也可以作为重要的证据。
2.取回相关证件和材料
在办理房贷时,购房者的房产证等证件可能会被抵押在银行。因此,在还清贷款后,购房者需要向银行申请取回这些证件和材料。部分银行还会保留他项权证等文件,也需一并取回。^[1][7][9]^
疑问解答:如果房产证丢失或损坏怎么办?
如果房产证在抵押期间丢失或损坏,购房者需要及时向银行报告,并按照银行的要求办理相关手续。一般情况下,银行会协助购房者重新办理房产证或提供其他解决方案。
(二)房产解押手续
1.准备解押材料
在办理房产解押手续前,购房者需要准备一系列材料,包括贷款结清证明、他项权证、身份证、房产证等。这些材料是证明购房者已经还清贷款并有权解除房产抵押的重要凭证。^[1][4][5][7][9]^
疑问解答:什么是他项权证?
他项权证是房产抵押登记后,由不动产登记中心颁发给抵押权人的权利证书。在购房者还清贷款并办理解押手续后,他项权证将被注销并归还给购房者。
2.前往相关部门办理
购房者需要携带准备好的解押材料,前往当地的房产管理部门或不动产登记中心办理解押手续。工作人员会对提交的材料进行审核,确认无误后办理撤销房屋抵押登记操作。^[1][4][5][7][9]^
疑问解答:办理房产解押手续需要多长时间?
办理房产解押手续的时间因地区和具体情况而异。一般来说,如果材料齐全且审核通过,办理时间不会太长。但购房者也需要提前了解当地的办理流程和所需时间,以便做好安排。
(三)保险相关手续
1.确认是否需要退保
在办理房贷时,购房者可能会被要求购买房屋保险或房贷险。这些保险旨在保障房屋在遭受损害或丧失时能够得到妥善赔偿。然而,在还清贷款后,购房者需要根据自己的实际情况决定是否继续保留这些保险。^[2][8][10]^
疑问解答:房屋保险和房贷险有什么区别?
房屋保险主要保障房屋本身及其附属设施因自然灾害、意外事故等原因造成的损失;而房贷险则主要保障在购房者因意外原因无法继续偿还贷款时,由保险公司代为偿还剩余贷款本息。两者在保障对象和范围上有所不同。
2.办理退保或变更受益人
如果购房者决定退保,需要联系保险公司并提供保险单、贷款结清证明等材料办理退保手续。保险公司会根据保险合同的约定退还剩余期限的保费。如果购房者不想退保但希望变更受益人,也需要按照保险公司的要求办理相关手续。^[2][8][10]^
疑问解答:退保后会有哪些影响?
退保后,购房者将不再享受该保险的保障。如果房屋在退保后发生损失或事故,将无法获得保险公司的赔偿。因此,购房者在决定退保前需要仔细考虑自己的实际情况和风险承受能力。
(四)其他可能涉及的手续
1.物业结算手续
在还清贷款后,购房者需要与物业核对并结清物业费用、滞纳金等。这些费用可能在购房者办理房贷期间产生,需要在还清贷款后进行结算。^[11]^
疑问解答:物业费用包括哪些内容?
物业费用一般包括物业服务费、维修基金、公共水电费等。具体费用内容和标准因物业公司和地区而异。购房者在结清物业费用时,需要仔细核对费用明细和金额。
2.退押金手续
如果购房者在贷款买房时在开发商处或担保机构付有押金,可以在还清贷款后前往办理退还手续。退还押金的具体流程和要求因开发商或担保机构而异,购房者需要提前了解并做好准备。^[2][11]^
疑问解答:押金退还需要多长时间?
押金退还的时间因开发商或担保机构而异。一般来说,如果购房者按照要求提供了相关材料和手续,开发商或担保机构会在一定时间内将押金退还。但购房者也需要提前了解当地的办理流程和所需时间,以便做好安排。
3.税务变更
如果购房者在购买房屋时进行了税务登记,还清房贷后可能需要办理税务变更手续。例如,更新纳税证明等。^[11]^
疑问解答:税务变更需要准备哪些材料?
税务变更所需材料因地区和具体情况而异。一般来说,购房者需要提供身份证、房产证、贷款结清证明等相关材料。购房者需要提前了解当地的税务变更流程和所需材料,以便顺利办理手续。
4.修改退税项目
对于个人名下首套房,在还贷期间享受个人所得税专项抵扣的购房者,在提前还清房贷后,需要通过个人所得税APP更改专项抵扣个税项目,作废房贷退税申报。^[11]^
疑问解答:如何修改退税项目?
购房者可以登录个人所得税APP,在“专项附加扣除”模块中找到“住房贷款利息”选项,然后点击“修改”或“作废”按钮进行修改。在修改时,购房者需要提供贷款结清证明等相关材料以证明已经还清贷款。
二、房屋贷款还清后可能遇到的疑问及解答
(一)关于贷款结清证明的疑问
1.疑问一:贷款结清证明丢失怎么办?
解答:如果贷款结清证明丢失,购房者需要及时联系贷款银行并说明情况。银行会根据购房者的贷款记录和还款情况重新出具贷款结清证明。购房者在重新获取证明后,需要妥善保管并尽快办理后续手续。
2.疑问二:贷款结清证明可以委托他人代办吗?
解答:一般来说,贷款结清证明需要购房者本人亲自办理。但如果购房者因特殊原因无法亲自办理,可以委托他人代办。在委托他人代办时,购房者需要提供授权委托书、个人身份证明以及代办人的身份证明等相关材料。
(二)关于房产解押的疑问
1.疑问一:房产解押手续需要缴纳费用吗?
解答:房产解押手续一般不需要缴纳额外费用。但购房者需要仔细核对相关部门的收费标准和要求,避免因误解或疏忽而产生不必要的费用。
2.疑问二:房产解押后多久可以拿到房产证?
解答:房产解押后,购房者通常可以立即拿到房产证。但具体时间因地区和相关部门的工作流程而异。购房者在办理解押手续时可以向工作人员咨询具体时间和流程。
(三)关于保险的疑问
1.疑问一:房屋保险在贷款还清后还有必要继续购买吗?
解答:房屋保险在贷款还清后是否继续购买取决于购房者的实际情况和风险承受能力。如果购房者希望继续享受房屋保险的保障,可以选择继续购买;如果购房者认为风险较低或已经通过其他方式进行了风险保障,可以选择不再购买。
2.疑问二:退保后如果房屋发生损失怎么办?
解答:如果购房者在退保后房屋发生损失或事故,将无法获得保险公司的赔偿。因此,购房者在决定退保前需要仔细考虑自己的实际情况和风险承受能力。如果购房者认为退保后风险较高,可以选择继续购买房屋保险或其他风险保障方式。
(四)关于其他手续的疑问
1.疑问一:物业费用结算不清怎么办?
解答:如果购房者在结算物业费用时发现存在争议或不清的情况,可以与物业公司进行沟通和协商。如果协商无果,购房者可以向相关部门投诉或寻求法律援助以维护自己的合法权益。
2.疑问二:押金退还遇到阻碍怎么办?
解答:如果购房者在办理押金退还手续时遇到阻碍或纠纷,可以先与开发商或担保机构进行沟通和协商。如果协商无果,购房者可以向相关部门投诉或寻求法律援助以维护自己的合法权益。同时,购房者在支付押金时应要求开具收据或发票等凭证以便在后续办理退还手续时提供证明。
三、房屋贷款还清后办理手续的重要性及注意事项
(一)重要性
1.保障房产所有权
通过办理房产解押手续等程序,购房者可以确保自己真正拥有房产的所有权。这对于购房者来说是非常重要的保障措施之一。
2.避免法律风险
如果购房者在还清贷款后没有及时办理相关手续或存在遗漏情况,可能会面临法律风险或纠纷。例如因未办理解押手续而导致房产无法交易或转让等问题。
3.维护个人信用记录
通过及时办理贷款结清证明和更新个人信用记录等手续,购房者可以维护自己的个人信用记录并避免产生不良信用记录。这对于购房者未来的金融活动和信用评估等方面都具有重要意义。
(二)注意事项
1.提前了解流程和所需材料
购房者在还清贷款前需要提前了解相关手续的办理流程和所需材料等信息以便做好充分准备。这可以避免因材料不全或流程不清等原因而耽误时间或产生不必要的费用。
2.仔细核对信息和金额
在办理相关手续时购房者需要仔细核对相关信息和金额等信息以确保准确无误。例如核对贷款结清证明上的还款金额和利息计算等信息是否与实际情况相符等。
3.保留好相关凭证和文件
购房者在办理相关手续时需要保留好相关凭证和文件以便后续查询和核对使用。例如保留好贷款结清证明、房产证、他项权证等相关文件和凭证等。
四、案例分析:房屋贷款还清后手续办理的实际操作
(一)案例一:张先生成功办理解押手续
张先生在还清房屋贷款后决定办理房产解押手续以便将房产出售。他首先向贷款银行申请了贷款结清证明并取回了房产证和他项权证等相关材料。然后携带这些材料前往当地的房产管理部门办理解押手续。经过工作人员的审核和确认后成功办理解押手续并取得了新的房产证。随后他将房产出售并顺利完成了交易过程。
通过这个案例可以看出张先生在还清贷款后积极办理相关手续并成功取得了房产的所有权和销售权。这不仅保障了他的合法权益还为他带来了经济收益。
(二)案例二:李女士遭遇退保纠纷
李女士在还清房屋贷款后决定退保房屋保险以节省费用。然而在与保险公司办理退保手续时却遭遇了纠纷。保险公司认为李女士在保险期间内存在违约行为并拒绝退还全部保费。李女士对此表示不满并向相关部门投诉。经过调解和协商后双方最终达成了和解协议并由保险公司退还了部分保费给李女士。
通过这个案例可以看出在办理保险相关手续时购房者需要仔细阅读保险合同条款并了解自己的权益和义务。如果遇到纠纷或争议需要及时向相关部门投诉或寻求法律援助以维护自己的合法权益。
五、总结与展望
房屋贷款还清后需要办理的手续繁多且重要。通过本文的详细解析和案例分析可以看出购房者在还清贷款后需要及时办理相关手续以确保自己的合法权益并避免产生不必要的风险和纠纷。同时购房者也需要提前了解相关流程和所需材料等信息以便做好充分准备并顺利完成手续办理过程。
展望未来随着金融市场的不断发展和完善以及政策法规的不断健全和完善购房者办理房屋贷款还清后相关手续的过程将会更加便捷和高效。同时购房者也需要不断提高自己的金融素养和风险意识以更好地应对各种金融挑战和风险。
六、附录:常见问题解答汇总
1.问:贷款结清证明可以邮寄吗?
答:一般来说贷款结清证明需要购房者本人亲自前往贷款银行领取。但如果购房者因特殊原因无法亲自领取可以联系贷款银行咨询是否可以邮寄等相关事宜。
2.问:房产解押手续需要夫妻双方共同办理吗?
答:如果房产证上登记的是夫妻双方的名字则房产解押手续需要夫妻双方共同办理。但如果房产证上只登记了一方的名字则只需该方办理即可。
3.问:退保后保险公司会退还全部保费吗?
答:退保后保险公司是否会退还全部保费取决于保险合同的约定和购房者的实际情况。一般来说保险公司会根据保险合同的约定扣除一定的手续费或违约金后退还剩余期限的保费给购房者。
4.问:物业费用结算不清会影响房产解押吗?
答:物业费用结算不清一般不会直接影响房产解押手续的办理。但如果物业公司因此拒绝为购房者提供相关证明或协助可能会影响购房者的后续操作。因此购房者在结清物业费用时需要及时与物业公司沟通和协商以避免产生不必要的麻烦和纠纷。
5.问:押金退还时需要提供哪些材料?
答:押金退还时购房者一般需要提供身份证、房产证、贷款结清证明以及押金收据等相关材料。具体所需材料因开发商或担保机构而异购房者需要提前了解并做好准备。
通过以上常见问题的解答希望能够帮助购房者更好地了解房屋贷款还清后需要办理的手续及注意事项并顺利完成相关操作过程。
声明:本文由入驻焦点开放平台的作者撰写,除焦点官方账号外,观点仅代表作者本人,不代表焦点立场。


