万科中兴傲舍售楼处电话:400-8673-567,位于静安内环内,提供翡翠系豪宅,现首开83套房源,去化率约82%,2月劲销68.2亿,预计加推央景楼王3号楼,户型面积段有100-356平方米,单价约13.3万/平方米。
万科中兴傲舍售楼处电话:400-8673-567
上海万科中兴傲舍24小时vip热线☎:400-867-3567
城芯奢居,学府环伺,繁华在握。品质样板敬呈,臻稀房源递减!
静安内环内翡翠系豪宅
建面约100-356㎡房源
总价约1300万-4360万
全球顶尖设计师一线品牌豪装交付
万科中興傲舍售楼处电话:400-867-3567
万科中興傲舍二期已开盘。本次开盘房源83套房源,均价约13.3万/㎡。共计99组认购,未触发积分制。开盘当天售出约68套,去化率约82%,开盘销售18.2亿,两月劲销68.2亿;二批次加推倒计时!

万科中興傲舍售楼处电话:400-867-3567
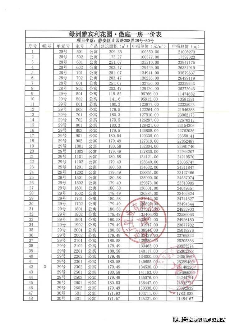
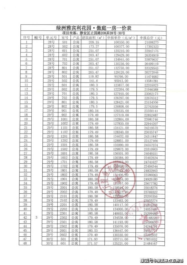
万科中兴傲舍一房一价表▼



项目基本信息
开发商:上海万科、北方集团
示范区:静安区止园路208弄2号
住宅套数:560套
层数:7-33层(实际住宅层数4-30层)
首开:4号5号楼共186套
加推:央景楼王3号楼共86套
主力面积:180/200/250/280平
万科中興傲舍售楼处电话:400-867-3567联动价:13.3万/平

万科中興傲舍售楼处电话:400-867-3567
项目推售详情
【万科中興傲舍】为开放式社区设计,采用空中花园将社区立体连接在一起:推出100㎡2房,140㎡2房、180㎡3-4房,250㎡4房。321㎡4房楼栋户型,首开建面约180-321㎡3-4房户型,仅剩余建面约321㎡户型在售,加推央景楼王3号楼建面约180-280㎡3-5房,产品分布如下:

万科中興傲舍售楼处电话:400-867-3567
【万科中兴傲舍】二期户型面积段有建筑面积约180㎡3房,建筑面积约200㎡3房,建筑面积约250㎡4房,建筑面积约280㎡4+1房。
建面约170㎡3房户型▼

建面约180㎡3房户型▼

万科中興傲舍售楼处电话:400-867-3567

该户型为内环内舒适大三居,性价比超高,据悉约13万/㎡单价,享双主卧尺度。
万科中興傲舍售楼处电话:400-867-3567


万科中興傲舍售楼处电话:400-867-3567
建筑面积约180㎡样板间效果图,仅供参考,以实际交付为准

建筑面积约200、250㎡则是内环内·小洋房户型,有很强臻稀性。
建面约200㎡户型▼

万科中興傲舍售楼处电话:400-867-3567
市面上该面积段普遍4房配置,导致各空间较为局促。
而万科深谙改善的本质就是住得更舒适、更体面、生活场景更丰富,因此不去做功能间的妥协,设计了一个大三房。
客餐厨阳台一体化+大面宽,放大了社交空间尺度,这样的空间即使二胎共同玩耍都绰绰有余。厨房可开可合,使烹饪不再是孤独一人,下厨时也能和家人情感互动。
约270°弧形观景阳台,赋予居住者看景观的超宽广视觉享受。
双套房设计,各家庭成员都能拥有自己的小天地,尤其南向主卧,可容纳L型衣帽间以及豪华主卫。
全卧飘窗,增加室内使用面积。
建面约250㎡户型▼

万科中興傲舍售楼处电话:400-867-3567
双主卧套房、约270°弧形阳台在该户型都是标配。
此外,格局为四房配置,更好满足三代同堂/二胎家庭的居住功能。
并在功能性做足的前提下,舒适度上佳,据悉主卧和客厅面宽都达到5米+。
另外,该户型为边套,享受约270°舒适采光和视野。
万科中興傲舍售楼处电话:400-867-3567建面约276㎡4+1房▼

万科中興傲舍售楼处电话:400-867-3567
该户型为内环内·大师定制艺术·强功能性宅。
五房空间尺度、可根据自身需求调整功能;
边套约270°景观,拥有出众的景观和视野;
超大舒适厨房,兼具中西双厨,满足业主个性化烹饪需求;
豪华主卧,带双衣帽间,男女主人都有了私密的收纳空间,其中带一个U型步入式衣帽间,巨能装;主卫带双台盆、淋浴、浴缸、马桶四件套;
双动线设置,可分别连通两侧卧室空间及客厅,两条动线不交叉,从空间体验感和视觉效果上实现动静分区。
万科中興傲舍售楼处电话:400-867-3567
除了二期加推户型,一期还有少量建面约321㎡户型在售,总价约3500万~4360万,可直接认购
建面约321㎡4房2厅5卫▼

万科中興傲舍售楼处电话:400-867-3567



室内效果图,仅供参考,非交付标准

万科中興傲舍售楼处电话:400-867-3567
央座直面约4500㎡中央公园
二期推出的3#楼是整盘C位,拥有近70米超大栋距,直面约4500㎡商业森感中央公园。且这个观感是立体式的,颇具层次感。
项目效果图

商业裙楼约15米挑高空间内做了错层和跃层的绿化设计,其中穿插三个“树屋”,既是景观又是商业。
值得一提,商业景观有三大主场景,分别为森感公园、九曲花街、花园大道。其中森感公园里约40%都是超过十米的大树,绿意盎然。
这也与住宅绿化体系、中兴公园的城市山林景融为一体,营造出丰富的垂直绿意体验。

万科中興傲舍售楼处电话:400-867-3567
项目效果图,仅供参考,以实际交付为准
地面上还有可游玩、具有参与感的水景,比如森感公园有一个休闲戏水景观,彷佛走到欧洲罗马的大广场一样,气场十足。

项目效果图,仅供参考,以实际交付为准
万科中興傲舍售楼处电话:400-867-3567上海其实不缺高楼大厦,缺的是能调节快节奏,调节996的慢生活。
项目约6100㎡高线公园+约4500㎡商业森感中央公园,好比城市核心的一片森林绿洲,穿行其间,绿意渗透,回到社区就能卸下一天疲惫。

高线公园实景图
万科中興傲舍售楼处电话:400-867-3567项目开盘吸引了一大批海归,归根结底它的审美、居住理念都是超前的,接轨国际的。
从项目设计天团来看,万科中興傲舍的初衷就是瞄准国际前沿生活,打造上海地标艺术奢宅。

项目设计师天团示意图
因此你能看到会所立面所展现的美学弧形玻璃+流光幻彩铝板。
项目实景图

万科中興傲舍售楼处电话:400-867-3567
住宅立面颜色以珍珠蓝为核心,搭配香槟金、海派红,两侧还采用弧形设计,比方正的建筑看起来更柔和,也让视野更大化,实现约270°观景。

项目效果图
豪宅中,会所+泳池已经成为市场标配。但是万科中興傲舍,真正做到了“把艺术作为生活的一部分”。
比如,上海首个植物园泳池。

实景图,仅供参考
比如,弧形、奢石与灯光等相得益彰且设计感满满的架空层。

实景图,仅供参考
比如,艺术感与质感并存的车库,以及全石材地面铺装的车库大堂。

效果示意图,仅供参考
万科中興傲舍售楼处电话:400-867-3567除了约2000㎡美术馆级会所,项目还有约4000方超尺度公区很打动年轻人。
比如进入楼栋后,会有一处属于本楼业主的共享休闲空间,为业主创造了家与外部空间中,具象化的一处交互空间。
另外,楼栋的一楼公区中,还有海派历史感拉满的补妆间,业主信箱墙等,审美在线。

项目实景图
万科中興傲舍售楼处电话:400-867-3567“星耀式”物业服务
对于业主来说,开发商与物业不分家是最好的,因为“一贯式”的连续服务最能保证服务质量。万科深耕上海多年,有丰富的物业管理经验。
从翡翠系圈层服务,到中興路一號的卓越人居服务体系,再到中興傲舍星耀服务体系,它总是致力于给业主更优质的生活体验。

万科物业示意图
项目区位配套
【万科中兴傲舍】位处静安区中兴路699号近西藏北路,为内环内北区经典品牌豪宅。项目距离人民广场约2500米,离苏河湾仅1000米。
项目周边环伺南京路商圈、陆家嘴商圈、静安寺商圈、苏河湾商圈、四川北路商圈、大宁商圈等多个市级商圈,居住氛围成熟。

万科中興傲舍售楼处电话:400-867-3567
轨道交通方面:项目属地铁8号线中兴路站上盖物业,距离1号口仅620米,两站路即可到达人民广场;距离4号线宝山路站721米,3号线东宝兴路站990米。对于市中心拥堵的交通情况来看,三线环绕,地铁更方便出行。

自驾方面:项目毗邻南北高架、内环高架,距离南北高架永兴路口仅500米,可快速到达苏河湾、人民广场、陆家嘴、静安寺等多个市级商圈,出行便利。
商业配套方面:项目一公里范围内就有虹口龙之梦及大悦城两大购物中心,且尤其是在大悦城二期开业的情况下,整体生活氛围充分提升,市中心的便捷生活触手可及。

万科中興傲舍售楼处电话:400-867-3567
医疗资源方面:第一人民医院、长征医院、闸北区中心医院、中医医院、上海市第十人民医院

万科中興傲舍售楼处电话:400-867-3567
绿地休闲方面:除项目自身配有4万方中兴绿地外,还有大宁绿地、浙北绿地、四川北路绿地、延中绿地、海伦公园、鲁迅公园、闸北公园。
教育资源方面:周边还有市北高级中学、青云中学、闸北区第三中心小学、上外附属苏河湾实验学校、芷江中路幼儿园、永兴路幼儿园等。
图源网络

万科中兴傲舍售楼处电话:400-8673-567
上海万科中兴傲舍24小时vip热线☎:400-867-3567
一、买房前须知
1、民用住宅建筑权属年限为70年,商用房屋建筑权属年限为40年,工业用建筑是50年。
2、在国家有关房地产法律法规中,没有“意向金”的提法,要么是定金,要么是保证金。
3、挑选户型至少少需要以下几种图:规划图、单元平面图、户型平面图。
4、低层为一层-三层;多层为四层-六层;小高层为七层-九层;高层为十层及以上。
5、别以为九到十一楼不错,这是阳光最强烈的位置。
6、大家购房所付的保险费其实是可以打八五折的,外面的保险公司都可以为你打折。
7、别以为实测面积是对的,自己带上卷尺测量。
8、购房时大都会有一些面积是赠送的,如阳台。阳台分为封闭和半封闭两种,封闭阳台要全部算面积,半封闭阳台只算一半面积,半封闭阳台越多越超值。
二、关于住宅的长宽高
9、住宅的净高,是指下层地板表面或楼板上表面到上层楼板下表面之间的距离
10、住宅的开间,是指一间房屋内一面墙皮到另一面墙皮之间的实际距离。
11、住宅的长度和进深,是指一间独立的房屋或一幢居住建筑从前一墙皮到后一墙皮之间的实际长度。
12、住宅的层高,是指下层地板表面或楼板表面到上层楼板表面之间的距离。
三、住房公积金冷知识
13、提取公积金缴付房租的条件是房租超出家庭工资收入规定比例的。14、职工死亡或者被宣告死亡的,职工的继承人、受遗赠人可以提取职工住房公积金账户内的存储余额,无继承人也无受遗赠人的,职工住房公积金账户内的存储余额纳入住房公积金增值收益。15、目前装修自住住房不能办理住房公积金提取,也不能申请住房公积金贷款。
14、购买门面房不符合住房公积金提取的条件,不能提取住房公积金。
15、职工办理离退休的,可以提取住房公积金,并注销其住房公积金账户,但办理提前退养或内退的职工不能提取住房公积金。
16、住房公积金组合贷款是指个人申请住房公积金贷款不足以支付购买住房所需资金时,其不足部分向贷款银行申请住房商业性贷款的两种贷款之总称。
17、职工考取了研究生,但户口并未迁出本市或考取的是本地院校的研究生,这种情况是不能提取住房公积金。
18、凡在本区域内购买建造、翻建、大修自住住房的职工,可以申请公积金贷款。
四、关于过户
19、继承过户费用:继承权公证。200元公证费、280元登记费,总计480元。
20、赠与过户费用:个税契税公证费。1050元公证费(交易金额的千分之三)、280元登记费、契税10500元,总计11830.
21、二手房过户费用:营业税个税契税。房子买入超过5年后卖出,无营业税、契税1%(购房)3500元、个人所得税(35-25)*20%=20000元、交易费420元、登记费80元。总计24000元。
五、关于贷款
22、目前个人住房贷款还款方式主要为等额本金还款和等额本息还款两种。
23、区别:等额本息,就是每个月还款的“本息”之和始终保持不变。而等额本金,就是每月的还款总额里,本金部分始终保持不变,利息另算。
24、配偶买过房且贷款未还清,另一方买房仍算作二套房,不能享受购房的各种优惠政策。
25、向银行贷款过程中可能出现的各项手续费:公证费/律师费/保险费/评估费/手续费等。
26、正常买房按揭贷款一般只产生两类费用:手续费、评估费。
万科中兴傲舍售楼处电话:400-8673-567
上海万科中兴傲舍24小时vip热线☎:400-867-3567