露香园馥公馆-售楼处首页网站-露香园馥公馆售楼处欢迎您|2025楼盘详情/价格/户型
扫描到手机,新闻随时看
扫一扫,用手机看文章
更加方便分享给朋友
露香园馥公馆售楼处电话:400-812-3664
上海黄浦露香园馥公馆售楼处电话☎:400-8123-664【开发商售楼处预约看房热线】(一对一热情服务)
黄浦内环内人民广场外滩旁
10号线地铁口,稀缺在售
「露香园·馥公馆」直接认购
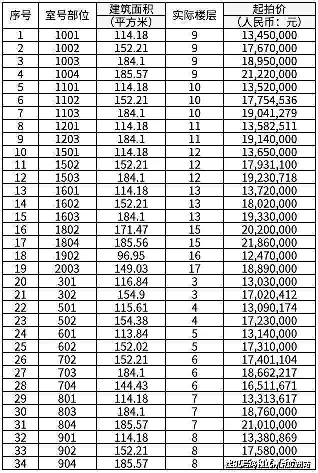
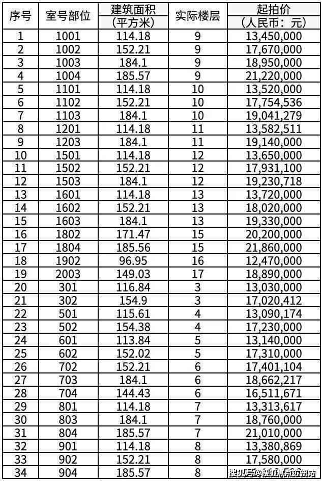
主力户型约110-185㎡1-3房
70年住宅产权均价约10.3万/㎡
不需积分!总价约1200~2000万
售楼处线上火热预约中!
露香园馥公馆售楼处电话➡:400-8123-664露香园馥公馆官方电话➡:400-8123-664
露香园馥公馆售楼处电话:400-812-3664
上海黄浦露香园馥公馆售楼处电话☎:400-8123-664【开发商售楼处预约看房热线】(一对一热情服务)
看房请提前致电预约,可享受内部渠道优惠!联系销售人员获取最新一房一价表,官方售楼处最新优惠底价!开发商官方销售人员将详细介绍每个户型的独特设计和优势,带您参观样板间,感受精装修的品质和温馨氛围。您还可以了解周边配套设施,包括高端购物中心、优质学校和便捷交通网络,让您的居住体验更加完美。
露香园馥公馆售楼处电话:400-812-3664
上海黄浦露香园馥公馆售楼处电话☎:400-8123-664【开发商售楼处预约看房热线】(一对一热情服务)
家人们,今天我要跟大家聊聊“露香园·馥公馆”这个话题。说实话,我这算是“反向推荐”了,听我一句劝,千万别买这里,不然你们可能会后悔没早点入手。
露香园馥公馆售楼处电话➡:400-8123-664露香园馥公馆官方电话➡:400-8123-664之前我陪朋友去看房子,就来到了这“露香园·馥公馆”。一了解价格,好家伙,单价才11万/㎡,在黄浦核心地段,这价格简直低得不像话。隔壁二期露香园·天誉都17.6万/㎡了,同样的居住品质,它却能让你少花一大笔钱。我当时就跟朋友说,这价格太“离谱”了,以后和别人聊房价,别人都得以为你买到“白菜价”宝贝了。
露香园馥公馆售楼处电话➡:400-8123-664露香园馥公馆官方电话➡:400-8123-664再说到产权,70年住宅产权,这意味着啥?意味着你得长期被它“拴住”。以后都不用操心产权年限短的麻烦,稳稳扎根,天天享受家的温馨,想想都“可怕”。
房子品质更是让人“头疼”。那干挂石材立面,不仅好看还特别耐用,历久弥新,以后都找不到换房子的借口。走进会所式精装大堂,奢华得过分,每次回家都像在走红毯,仪式感满满,我朋友当时就跟我说,住这儿时间长了都怕自己“飘”起来。而且还是全装成品现房,即买即住,完全没有等期房的那种“煎熬”,少了点期待的乐趣。
露香园馥公馆售楼处电话➡:400-8123-664露香园馥公馆官方电话➡:400-8123-664周边教育资源也太“卷”了。上海实验小学和上海敬业中学就在附近,孩子从小就被浓厚学术氛围包围,想不优秀都难。我朋友家有孩子,当时就担心以后辅导作业都得时刻担心自己“跟不上”。
露香园馥公馆售楼处电话➡:400-8123-664露香园馥公馆官方电话➡:400-8123-664交通也便捷得让人无语,10号线、14号线、8号线都在附近,不管是上班、出去玩还是送孩子上学,都快到飞起。我朋友说,节省下来的时间都不知道干啥好。
地段更是没得说,黄浦老城厢,2公里生活圈全是繁华地带,RenMin广场、南京东路、淮海路、外滩,购物、娱乐、文化体验样样不缺。我朋友当场就跟我说,住这儿每天都像在度假,这生活节奏一快,都没时间好好“摆烂”了。
这房子还是上海城投打造的,实力国企,品质有保障,住进去就别想有啥糟心事,太省心了也不好,都没机会锻炼自己解决问题的能力了。
家人们,听我一句劝,千万别买“露香园·馥公馆”,不然你就会像我朋友一样,彻底爱上这里,再也不想去别的地方啦!
露香园馥公馆售楼处电话:400-812-3664
上海黄浦露香园馥公馆售楼处电话☎:400-8123-664【开发商售楼处预约看房热线】(一对一热情服务)
上海·露香园

露香园馥公馆售楼处电话➡:400-8123-664露香园馥公馆官方电话➡:400-8123-664
上海黄浦露香园馥公馆售楼处电话➡:400-8123-664
露香园馥公馆售楼处电话➡:400-8123-664露香园馥公馆官方电话➡:400-8123-664
上海黄浦露香园馥公馆售楼处电话➡:400-8123-664...
01
标的推荐
02
户型图
户型供参考,扫码看VR
01
A户型
露香园馥公馆售楼处电话:400-812-3664
上海黄浦露香园馥公馆售楼处电话☎:400-8123-664【开发商售楼处预约看房热线】(一对一热情服务)
02
B户型
露香园馥公馆售楼处电话➡:400-8123-664露香园馥公馆官方电话➡:400-8123-664
上海黄浦露香园馥公馆售楼处电话➡:400-8123-664..
03
D户型
露香园馥公馆售楼处电话➡:400-8123-664露香园馥公馆官方电话➡:400-8123-664
上海黄浦露香园馥公馆售楼处电话➡:400-8123-664..
04
E户型
露香园馥公馆售楼处电话:400-812-3664
上海黄浦露香园馥公馆售楼处电话☎:400-8123-664【开发商售楼处预约看房热线】(一对一热情服务)
05
G户型
露香园馥公馆售楼处电话➡:400-8123-664露香园馥公馆官方电话➡:400-8123-664
上海黄浦露香园馥公馆售楼处电话➡:400-8123-664..
06
H户型
露香园馥公馆售楼处电话➡:400-8123-664露香园馥公馆官方电话➡:400-8123-664
上海黄浦露香园馥公馆售楼处电话➡:400-8123-664..
07
其他户型
露香园馥公馆售楼处电话:400-812-3664
上海黄浦露香园馥公馆售楼处电话☎:400-8123-664【开发商售楼处预约看房热线】(一对一热情服务)
露香园馥公馆售楼处电话➡:400-8123-664露香园馥公馆官方电话➡:400-8123-664
上海黄浦露香园馥公馆售楼处电话➡:400-8123-664..
露香园馥公馆售楼处电话➡:400-8123-664露香园馥公馆官方电话➡:400-8123-664
上海黄浦露香园馥公馆售楼处电话➡:400-8123-664..
露香园馥公馆售楼处电话➡:400-8123-664露香园馥公馆官方电话➡:400-8123-664
上海黄浦露香园馥公馆售楼处电话➡:400-8123-664..
露香园馥公馆售楼处电话➡:400-8123-664露香园馥公馆官方电话➡:400-8123-664
上海黄浦露香园馥公馆售楼处电话➡:400-8123-664..
露香园馥公馆售楼处电话➡:400-8123-664露香园馥公馆官方电话➡:400-8123-664
上海黄浦露香园馥公馆售楼处电话➡:400-8123-664..
露香园馥公馆售楼处电话➡:400-8123-664露香园馥公馆官方电话➡:400-8123-664
上海黄浦露香园馥公馆售楼处电话➡:400-8123-664..
露香园馥公馆售楼处电话➡:400-8123-664露香园馥公馆官方电话➡:400-8123-664
上海黄浦露香园馥公馆售楼处电话➡:400-8123-664..
03
项目楼层平面图
主要居住空间分布图
露香园馥公馆售楼处电话➡:400-8123-664露香园馥公馆官方电话➡:400-8123-664
上海黄浦露香园馥公馆售楼处电话➡:400-8123-664..
露香园馥公馆售楼处电话➡:400-8123-664露香园馥公馆官方电话➡:400-8123-664
上海黄浦露香园馥公馆售楼处电话➡:400-8123-664..
露香园馥公馆售楼处电话➡:400-8123-664露香园馥公馆官方电话➡:400-8123-664
上海黄浦露香园馥公馆售楼处电话➡:400-8123-664..
黄浦内环内人民广场外滩旁
10号线地铁口,稀缺在售
「露香园·馥公馆」直接认购
主力户型约110-185㎡1-3房
70年住宅产权均价约10.3万/㎡
不需积分!总价约1200~2000万
售楼处线上火热预约中!
露香园馥公馆售楼处电话➡:400-8123-664露香园馥公馆官方电话➡:400-8123-664
露香园馥公馆售楼处电话:400-8123-664露香园馥公馆官方电话:400-8123-664..露香园馥公馆售楼处电话➡:400-8123-664露香园馥公馆官方电话➡:400-8123-664..黄浦内环内人民广场外滩旁
10号线地铁口,稀缺在售
「露香园·馥公馆」直接认购
主力户型约110-185㎡1-3房
70年住宅产权均价约10.3万/㎡
不需积分!总价约1200~2000万
售楼处线上火热预约中!
露香园馥公馆售楼处电话➡:400-8123-664露香园馥公馆官方电话➡:400-8123-664
上海黄浦露香园馥公馆售楼处电话➡:400-8123-664黄浦区露香园·馥公馆:你真的了解吗?
家人们,今天我要跟大家聊聊“露香园·馥公馆”这个话题。说实话,我这算是“反向推荐”了,听我一句劝,千万别买这里,不然你们可能会后悔没早点入手。
露香园馥公馆售楼处电话➡:400-8123-664露香园馥公馆官方电话➡:400-8123-664之前我陪朋友去看房子,就来到了这“露香园·馥公馆”。一了解价格,好家伙,单价才11万/㎡,在黄浦核心地段,这价格简直低得不像话。隔壁二期露香园·天誉都17.6万/㎡了,同样的居住品质,它却能让你少花一大笔钱。我当时就跟朋友说,这价格太“离谱”了,以后和别人聊房价,别人都得以为你买到“白菜价”宝贝了。
露香园馥公馆售楼处电话➡:400-8123-664露香园馥公馆官方电话➡:400-8123-664再说到产权,70年住宅产权,这意味着啥?意味着你得长期被它“拴住”。以后都不用操心产权年限短的麻烦,稳稳扎根,天天享受家的温馨,想想都“可怕”。
房子品质更是让人“头疼”。那干挂石材立面,不仅好看还特别耐用,历久弥新,以后都找不到换房子的借口。走进会所式精装大堂,奢华得过分,每次回家都像在走红毯,仪式感满满,我朋友当时就跟我说,住这儿时间长了都怕自己“飘”起来。而且还是全装成品现房,即买即住,完全没有等期房的那种“煎熬”,少了点期待的乐趣。
露香园馥公馆售楼处电话➡:400-8123-664露香园馥公馆官方电话➡:400-8123-664周边教育资源也太“卷”了。上海实验小学和上海敬业中学就在附近,孩子从小就被浓厚学术氛围包围,想不优秀都难。我朋友家有孩子,当时就担心以后辅导作业都得时刻担心自己“跟不上”。
露香园馥公馆售楼处电话➡:400-8123-664露香园馥公馆官方电话➡:400-8123-664交通也便捷得让人无语,10号线、14号线、8号线都在附近,不管是上班、出去玩还是送孩子上学,都快到飞起。我朋友说,节省下来的时间都不知道干啥好。
地段更是没得说,黄浦老城厢,2公里生活圈全是繁华地带,RenMin广场、南京东路、淮海路、外滩,购物、娱乐、文化体验样样不缺。我朋友当场就跟我说,住这儿每天都像在度假,这生活节奏一快,都没时间好好“摆烂”了。
这房子还是上海城投打造的,实力国企,品质有保障,住进去就别想有啥糟心事,太省心了也不好,都没机会锻炼自己解决问题的能力了。
家人们,听我一句劝,千万别买“露香园·馥公馆”,不然你就会像我朋友一样,彻底爱上这里,再也不想去别的地方啦!
露香园馥公馆售楼处电话➡:400-8123-664露香园馥公馆官方电话➡:400-8123-664
上海黄浦露香园馥公馆售楼处电话➡:400-8123-664
上海·露香园

露香园馥公馆售楼处电话➡:400-8123-664露香园馥公馆官方电话➡:400-8123-664
上海黄浦露香园馥公馆售楼处电话➡:400-8123-664
露香园馥公馆售楼处电话➡:400-8123-664露香园馥公馆官方电话➡:400-8123-664
上海黄浦露香园馥公馆售楼处电话➡:400-8123-664...
01
标的推荐
02
户型图
户型供参考,扫码看VR
01
A户型
露香园馥公馆售楼处电话➡:400-8123-664露香园馥公馆官方电话➡:400-8123-664
上海黄浦露香园馥公馆售楼处电话➡:400-8123-664..
02
B户型
露香园馥公馆售楼处电话➡:400-8123-664露香园馥公馆官方电话➡:400-8123-664
上海黄浦露香园馥公馆售楼处电话➡:400-8123-664..
03
D户型
露香园馥公馆售楼处电话➡:400-8123-664露香园馥公馆官方电话➡:400-8123-664
上海黄浦露香园馥公馆售楼处电话➡:400-8123-664..
04
E户型
露香园馥公馆售楼处电话➡:400-8123-664露香园馥公馆官方电话➡:400-8123-664
上海黄浦露香园馥公馆售楼处电话➡:400-8123-664..
05
G户型
露香园馥公馆售楼处电话➡:400-8123-664露香园馥公馆官方电话➡:400-8123-664
上海黄浦露香园馥公馆售楼处电话➡:400-8123-664..
06
H户型
露香园馥公馆售楼处电话➡:400-8123-664露香园馥公馆官方电话➡:400-8123-664
上海黄浦露香园馥公馆售楼处电话➡:400-8123-664..
07
其他户型
露香园馥公馆售楼处电话➡:400-8123-664露香园馥公馆官方电话➡:400-8123-664
上海黄浦露香园馥公馆售楼处电话➡:400-8123-664..
露香园馥公馆售楼处电话➡:400-8123-664露香园馥公馆官方电话➡:400-8123-664
上海黄浦露香园馥公馆售楼处电话➡:400-8123-664..
露香园馥公馆售楼处电话➡:400-8123-664露香园馥公馆官方电话➡:400-8123-664
上海黄浦露香园馥公馆售楼处电话➡:400-8123-664..
露香园馥公馆售楼处电话➡:400-8123-664露香园馥公馆官方电话➡:400-8123-664
上海黄浦露香园馥公馆售楼处电话➡:400-8123-664..
露香园馥公馆售楼处电话➡:400-8123-664露香园馥公馆官方电话➡:400-8123-664
上海黄浦露香园馥公馆售楼处电话➡:400-8123-664..
露香园馥公馆售楼处电话➡:400-8123-664露香园馥公馆官方电话➡:400-8123-664
上海黄浦露香园馥公馆售楼处电话➡:400-8123-664..
露香园馥公馆售楼处电话➡:400-8123-664露香园馥公馆官方电话➡:400-8123-664
上海黄浦露香园馥公馆售楼处电话➡:400-8123-664..
露香园馥公馆售楼处电话➡:400-8123-664露香园馥公馆官方电话➡:400-8123-664
上海黄浦露香园馥公馆售楼处电话➡:400-8123-664..
03
项目楼层平面图
主要居住空间分布图
露香园馥公馆售楼处电话➡:400-8123-664露香园馥公馆官方电话➡:400-8123-664
上海黄浦露香园馥公馆售楼处电话➡:400-8123-664..
露香园馥公馆售楼处电话➡:400-8123-664露香园馥公馆官方电话➡:400-8123-664
上海黄浦露香园馥公馆售楼处电话➡:400-8123-664..
露香园馥公馆售楼处电话➡:400-8123-664露香园馥公馆官方电话➡:400-8123-664
上海黄浦露香园馥公馆售楼处电话➡:400-8123-664..
玄关
简一卡拉拉白实景效果
步入玄关,白色调的纯净映入眼帘,地面铺设卡拉拉白大理石瓷砖,以自然纹理呈现空间的柔和通透感。奢石与金属元素相互碰撞出复古情调,简洁的石膏雕花元素将法式独有的浪漫氛围拉满。
客厅
简一卡拉拉白实景效果
法式风格非常注重对称性,通常以一个视觉中心点,如壁炉展开布置,围绕这个中心点进行对称布局,营造出恢宏的气势和奢华的居住空间。
简一卡拉拉白实景效果
家具布局错落有致,既保留了法式的优雅线条,又融入了现代设计的利落感,营造出一种既温馨又不失格调的氛围让人在不经意间沉醉于这份法式浪漫之中。
钢琴区
简一卡拉拉白实景效果
客厅的一角,特意设置了钢琴区,成为家中一抹亮眼风景,融合了生活爱好与浪漫氛围。细腻纹理自然延伸,与钢琴的优雅相呼应,纯净和谐,共同营造一个静谧而高雅的音乐世界。
餐厨区
简一卡拉拉白实景效果
紧邻客厅的餐厅区域,同样以卡拉拉白大理石瓷砖通铺为基底,地面法式艺术拼花经典黑白细条勾勒,增添空间质感,精致而不繁杂,每一处细节都透露着挚友对高品质生活的追求。
简一卡拉拉白实景效果
卫生间
简一阿波罗灰实景效果
简一阿波罗灰实景效果
即便是私密的卫浴间,挚友也未曾忽略对美的追求。简一阿波罗灰墙地通铺,与质感水晶灯、法式风洗漱台相得益彰,展现出低调而高级的自然美感。
简一云朵灰(左)、希腊伯爵白(右)实景效果
次卫柔和灯光搭配金属线条,打造一个自然舒适的私人领地,让日常洗漱也成为一种享受。
黄浦内环内人民广场外滩旁
10号线地铁口,稀缺在售
「露香园·馥公馆」直接认购
主力户型约110-185㎡1-3房
70年住宅产权均价约10.3万/㎡
不需积分!总价约1200~2000万
售楼处线上火热预约中!
露香园馥公馆售楼处电话➡:400-8123-664露香园馥公馆官方电话➡:400-8123-664
露香园馥公馆售楼处电话:400-812-3664
上海黄浦露香园馥公馆售楼处电话☎:400-8123-664【开发商售楼处预约看房热线】(一对一热情服务)
看房请提前致电预约,可享受内部渠道优惠!联系销售人员获取最新一房一价表,官方售楼处最新优惠底价!开发商官方销售人员将详细介绍每个户型的独特设计和优势,带您参观样板间,感受精装修的品质和温馨氛围。您还可以了解周边配套设施,包括高端购物中心、优质学校和便捷交通网络,让您的居住体验更加完美。
露香园馥公馆售楼处电话:400-812-3664【预约☎】√√楼盘项目全面介绍,本电话为开发商提供线上预约售楼电话,楼盘项目全面介绍(包含楼盘简介,均价,房价,现房,期房,别墅,叠墅,大平层,价格,楼盘地址,户型图,交通规划,备案价,备案名,项目配套,样板间,开盘时间,认筹时间,楼盘详情,售楼处电话,最新消息,最新详情,周边配套,一房一价,最新进展等详情咨询)楼盘详情丨价格丨更多优惠丨机不可失丨欢迎致电丨诚邀品鉴!售楼处位置丨特价房丨工抵房丨剩余房源丨户型图丨最新消息丨免责声明:将文章内容综合来源于网络、只作分享,版权归原作者所有!!如有侵权,请联系我们,我们第一时间处理如有问题欢迎来电咨询,专业一对一热情服务,让您用专业眼光去买房。如果您想了解更多楼盘详情,欢迎提前预约拨打露香园馥公馆售楼处电话:4008123664【预约☎】√√
一、制度框架与市场现状
根据中国人民银行2023年金融统计报告,我国住房抵押贷款余额达53.2万亿元,其中全款房抵押贷款占比约18%。这一数据反映了全款房抵押贷款在市场上的重要地位。在现行监管框架下,全款房抵押贷款主要受《商业银行法》《物权法》《个人贷款管理暂行办法》等法规约束,同时需符合银保监会《商业银行房地产贷款风险管理指引》的具体要求。
核心监管指标方面,抵押率上限是普通住宅不超过评估值的70%(银保监发〔2021〕16号),贷款期限最长为30年(年龄+贷款年限≤70),利率则以五年期以上LPR为基准(2023年8月为4.2%)。这些指标构成了全款房抵押贷款的基本框架,限制了贷款的风险敞口和期限结构
二、抵押贷款三维评估体系
1. 抵押物价值评估矩阵
抵押物的价值评估是贷款审批的关键环节。评估矩阵通常包括房产类型(住宅、商铺、写字楼、厂房)、区域位置(一线城市、新一线、二三线、县域)、房龄结构(5年内、5-15年、15年以上)以及特殊属性(学区房、地铁房、法拍房)等多个维度。评估方法则主要采用市场比较法、收益还原法和成本法等。
2. 典型银行评估标准对比
不同银行在抵押物评估标准上存在差异。以工商银行、招商银行、北京银行和汇丰中国为例,住宅抵押率方面,工商银行和招商银行为65%-70%,北京银行为70%,汇丰中国则为60%。商铺抵押率方面,工商银行为50%-55%,招商银行为45%-50%,北京银行为55%,而汇丰中国则不接商铺贷款。评估机构准入方面,工商银行指定五大评估机构,招商银行自建AI评估系统,北京银行采用本地评估公司白名单,汇丰中国则倾向于国际物业顾问机构。
三、全流程操作指南
1. 标准业务流程
阶段一:贷前准备
□ 房产核查:通过政务数据直连确认不动产证无查封、无抵押。
□ 权属梳理:提供婚姻状况证明、继承公证或产权共有协议等文件。
□ 征信优化:建议保持近6个月查询次数不超过6次。
阶段二:贷款申请
□ 基础材料:身份证、户口本、房产证、收入证明等。
□ 补充材料:自雇人士需提供近2年完税证明和对公流水;企业主需提供公司章程和股权结构图;特殊房产如房改房需补土地出让金证明。
阶段三:风险评估
□ 还款能力模型:月收入需达到月供的2倍(北京、上海需2.5倍)。
□ 负债穿透审查:核查隐性负债如担保、民间借贷等。
□ 资金流向监管:受托支付,单笔超过50万需指定用途。
2. 典型银行审批时效
建设银行、平安银行和宁波银行等银行的初审、终审时效及抵押登记绿色通道存在差异。建设银行初审时效为3个工作日,终审时效为5个工作日,与不动产登记中心直连;平安银行初审时效为1个工作日,终审时效为3个工作日,采用电子权证系统;宁波银行初审时效为2个工作日,终审时效为4个工作日,支持长三角跨省通办。
四、贷款产品矩阵分析
(一)消费性抵押贷款
1. 中国银行“随心智贷”
□ 最高额度:可达1000万,满足高消费需求的客户。
□ 利率优势:执行利率为LPR+30BP,相对市场同类产品具有竞争力。
□ 适用人群:广泛适用于有稳定收入及良好信用记录的个人客户。
2. 民生银行“民易贷”
□ 还款方式灵活:提供10年期限的先息后本还款方式,减轻初期还款压力。
□ 增值服务:可配套信用增值贷,根据客户信用状况额外提供贷款额度。
□ 适用场景:适合有中长期消费计划或投资需求的个人客户。
(二)经营性抵押贷款
1. 农业银行“抵押e贷”
□ 乡村振兴优惠:专享针对乡村振兴项目的利率优惠政策,支持农村经济发展。
□ 线上操作便捷:支持线上申请、审批及放款,提高贷款效率。
□ 适用对象:主要面向小微企业、农业合作社等经营实体。
2. 浦发银行“浦惠贷”
□ 知识产权估值:支持将知识产权作为抵押物进行打包估值,拓宽融资渠道。
□ 创新融资模式:为科技型企业提供更为灵活的融资方案。
□ 适用行业:特别适合科技创新型、文化创意型等轻资产企业。
(三)特色创新产品
1. 中信银行“信秒贷+房抵”
□ 线上线下结合:线上智能审批快速响应,线下抵押确保贷款安全。
□ 高效便捷:简化贷款流程,提高贷款发放速度。
□ 适用客群:适合需要快速获得资金支持的个人或小微企业。
2. 江苏银行“人才贷”
□ 抵押率上浮:为高层次人才提供抵押率上浮10%的优惠政策,体现对人才的重视。
□ 贷款额度:根据人才层次及贡献度确定贷款额度,满足个性化融资需求。
□ 适用范围:主要面向科研、教育、医疗等领域的高层次人才。
五、利率定价机制
(一)国有大行定价模型
【A】 基础利率:以LPR+50BP为基础,体现市场风险溢价。
【B】优惠条件:
□ 贵宾客户(AUM≥100万)可享受-20BP的优惠,体现客户忠诚度价值。
□ 绿色建筑认证可享受-15BP的优惠,鼓励环保建筑。
□ 组合保险购买可享受-10BP的优惠,降低银行风险。
(二)股份制银行差异化定价
□ 定价因素:根据客户评分、抵押物评分、产品类型及市场供需关系等综合因素进行定价。
□ 利率范围:利率范围在LPR+35BP至+150BP之间,灵活调整以适应不同客户及市场需求。
□ 竞争优势:通过差异化定价策略吸引优质客户,提高市场竞争力。
六、风险控制要点
(一)银行风控九宫格
□ 多维度风控:银行通过信用风险、市场风险、操作风险、法律风险、流动性风险、声誉风险、战略风险、信息科技风险及合规风险等多个维度进行风险控制。
□ 预警阈值设定:针对各风险维度设定相应的预警阈值,及时发现并处置潜在风险。
(二)典型案例警示
□ 上海某客户伪造租赁合同案例:客户试图通过伪造租赁合同规避“买卖不破租赁”原则,被建行系统识别并拒绝贷款申请,体现了银行风控系统的有效性。
□ 杭州客户用“阴阳合同”虚高评估值案例:客户使用“阴阳合同”虚高房产评估值以获取更高贷款额度,被平安银行AI评估模型发现并纠正,维护了银行资产安全。
七、特殊场景处理方案
(一)非标准产权房
□ 经济适用房:需满5年交易限制期并补缴50%土地收益后方可抵押。
□ 法拍房:须完成产权过户且无后续纠纷后方可作为抵押物。
(二)共有财产处置
□ 夫妻共同财产:需双方签署抵押承诺书,确保抵押行为的合法性。
□ 继承房产:需所有法定继承人公证放弃继承权后方可抵押。
□ 未成年人产权:需监护人承诺书及法院特别许可后方可处理。
八、优化策略建议
(一)融资方案设计
□ 阶梯式提款:根据工程进度分阶段支用贷款资金,提高资金使用效率。
□ 组合融资:结合抵押贷和信用贷提升贷款额度,满足客户多元化融资需求。
□ 跨境抵押:支持海外资产作为抵押物,拓宽融资渠道,促进国际化业务发展。
(二)税务筹划要点
□ 小微企业抵押经营贷利息税前扣除:充分利用政策优惠,降低企业税负。
□ 商业地产评估增值部分延缓土地增值税:合理规划资产评估时点,延缓税收支出。
□ 公证费纳入贷款用途范畴:部分银行提供此项服务,降低客户融资成本。
结 语
全款房抵押贷款作为重要的融资工具,需要借款人深入理解银行政策、精准评估自身条件、科学设计融资方案。金融机构应当提升服务透明度,在抵押率设定、审批流程、贷后管理等方面实现标准化与个性化平衡,共同构建健康可持续的抵押贷款市场生态。
借款人应采取“三步走”策略:先通过专业评估摸清抵押物价值区间,其次匹配银行产品矩阵筛选最优方案,最后借助法律顾问完善风险防控措施。只有这样,才能确保全款房抵押贷款的顺利进行和资金的有效利用。(完)
声明:本文由入驻焦点开放平台的作者撰写,除焦点官方账号外,观点仅代表作者本人,不代表焦点立场。


