招商·时代潮派(售楼处)首页网站|售楼中心|招商·时代潮派楼盘详情|小区环境
扫描到手机,新闻随时看
扫一扫,用手机看文章
更加方便分享给朋友
上海松江招商·时代潮派售楼处电话☎:400-8787-554 ☎✅
售楼处电话/地址☎:400-8787-554 ☎✅
如有问题欢迎来电咨询,来电即可享受买房优惠!
预约来电尊享购房优惠,可预 约案场内部销售人员,专业一对一热情服务,让您用专业眼光去买房。
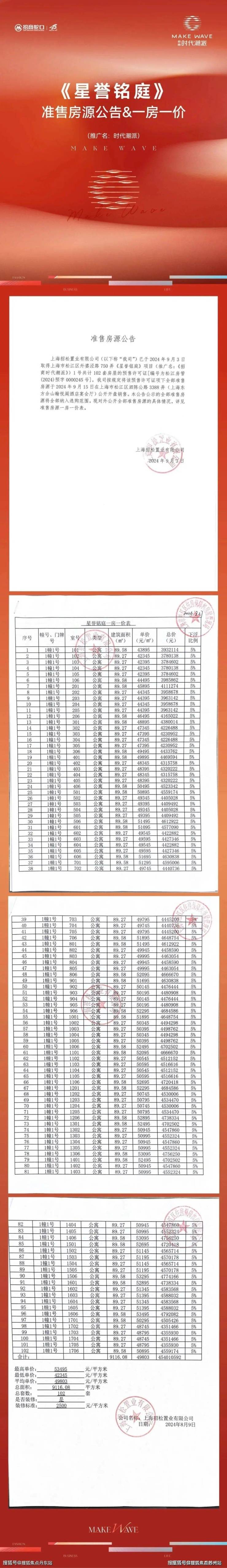
一房一价公示!9号线TOD轨交盘「招商时代潮派预约热线:400-8787-554☎」三期明日认购!加推建面约89㎡王牌户型!
「招商·时代潮派预约热线:400-8787-554☎」
9号线TOD轨交盘「招商·时代潮派预约热线:400-8787-554☎」三期明日认购!加推1号楼,主力建面约89-90㎡3房,均价49803元/m²!
「招商·时代潮派预约热线:400-8787-554☎」
认购时间:2024年9月5日至9月9日;
认购金额:43万元整;
「招商·时代潮派预约热线:400-8787-554☎」
开盘时间:2024年9月15日;
一房一价表如下:
「招商·时代潮派预约热线:400-8787-554☎」
建面约89㎡3房东边套主卧配置约270°双向采光飘窗、S墙设计,主力总价仅约450万级!
项目户型图如下:
「招商·时代潮派预约热线:400-8787-554☎」
在装修标准方面,「招商·时代潮派预约热线:400-8787-554☎」也匠心臻选国内外更懂中国家庭的知名加装品牌!以下装标内容仅供参考,最终每套房屋交付标准以该户房屋买卖合同约定的交付标准为准。
「招商·时代潮派预约热线:400-8787-554☎」
创意展示间实景图,仅做展示以实际交付为准
三大件:松下或日立或东芝或三菱或同等档次品牌的空调地暖两联供,百朗或同等档次品牌新风;
卫生间:科勒或TOTO或同等档次品牌的台盆、台盆龙头,高仪或科勒或同等档次品牌主卫或单卫智能马桶、淋浴花洒,名族或同等档次品牌的风暖。
「招商·时代潮派预约热线:400-8787-554☎」厨房:整个厨房不仅严选用国际品牌的装标,例如挥手即可控制的抽烟机、大面板且具备防干烧技术燃气灶、网红大单体黑石水槽、可抽拉水槽龙头。
「招商·时代潮派预约热线:400-8787-554☎」
创意展示间实景图,仅做展示以实际交付为准
在细节上更是贴心呵护人居,大大提升居住体验!
「招商·时代潮派预约热线:400-8787-554☎」例如铝框窄边三扇移门+完美系列上轨道设计+拉丝艺术玻璃,是身份的象征、也是业主格调的体现;
「招商·时代潮派预约热线:400-8787-554☎」厨房U型操作台面,并配备了洗碗机、末端净水,甚至凉霸,不仅能解放双手,还解决了炎炎夏日厨房做饭闷热的烦恼;
还配备大量收纳系统,例如多功能拉篮、定制亚光翻边造型柜体等。
「招商·时代潮派预约热线:400-8787-554☎」
创意展示间实景图,仅做展示以实际交付为准
「招商·时代潮派预约热线:400-8787-554☎」细节上面,还有入户玄关、电视背景墙、美妆冰箱(主卫)、墙布交付,精致花纹地面玄关入户,柜体别致造型、弧形美学吊顶,所有卧室人字拼地面等高级硬核细节配置均有。

「招商·时代潮派预约热线:400-8787-554☎」
创意展示间实景图,仅做展示以实际交付为准
「招商·时代潮派预约热线:400-8787-554☎」2024年1月10日,招商蛇口以52.5亿的价格竞得松江区泗泾镇SJS20005单元的14-01、16-02、17-07号地块(也被称为招商泗泾TOD项目)。
「招商·时代潮派预约热线:400-8787-554☎」
「招商·时代潮派预约热线:400-8787-554☎」地块位于9号线泗泾站北侧,东至洞泾港、南至泗陈公路、西至外婆泾路、北至恒泽路,出让面积129624.71㎡,起始价48.0251亿元,最高限价52.508亿元。
「招商·时代潮派预约热线:400-8787-554☎」
目前两幅住宅地块的设计方案均已公示,其中:
「招商·时代潮派预约热线:400-8787-554☎」14-01地块:占地面积约6.09万方,总建筑面积约18.24万方,容积率2.0,由16栋14-18F高层住宅、3栋5F多层住宅、1栋18F保障房以及若干配套用房组成;
17-07地块:占地面积约2.76万方,总建筑面积约10.96万方,容积率2.5,由6栋18F高层住宅、1栋18F保障房、1栋14F酒店、3栋2-3F商业以及若干配套用房组成!
「招商·时代潮派预约热线:400-8787-554☎」根据出让合同要求,项目住宅套数下限为1756套,其中14-01地块1229套,17-07地块527套,需配建7%以上的保障性住房,全装修比例50%,中小套户型不得低于住宅总建筑面积的80%!
此外据悉,16-02地块作为该项目的商业地块,将打造上海第五座“招商花园城”,致力于打造三年后的网红产品!
「招商·时代潮派预约热线:400-8787-554☎」据了解:该地块需设置商业综合体,文化设施建筑面积不小于17905平方米,公交场站占地面积不少于12000平方米,有轨电车存车线占地面积不少于4000平方米;配置20个泊位的出租车停泊点一处,规划200个公共停车位。
「招商·时代潮派预约热线:400-8787-554☎」
「招商·时代潮派预约热线:400-8787-554☎」据介绍,设计概念通过绿化公园以形成“消隐的公交站”,将商业、地铁、公交枢纽、居住通过一个城市公园辐射链接,真正塑造城市标杆TOD。

「招商·时代潮派预约热线:400-8787-554☎」
招商泗泾TOD项目一来,要卷死其他400-600万级新房!
「招商·时代潮派预约热线:400-8787-554☎」在全上海地铁房中,招商泗泾TOD项目5.1万/㎡的联动价绝对不算贵,对比洞泾,招商泗泾TOD往前了2站,价格才贵了约1000元/㎡,可以说是肉眼可见的性价比。
「招商·时代潮派预约热线:400-8787-554☎」泗泾的发展其实早在2009年就已掀开了大序幕,区域从刚需住宅区到品质住宅区,再到如今的轨交宜居自在城,已经整整13年,整个区域内的配套,相当之成熟!
9号线 黄金通勤线
3站七宝、6站漕河泾、9站徐家汇,通勤效率非常高
「招商·时代潮派预约热线:400-8787-554☎」对于整个泗泾来说,9号线无疑是最重要的鎏金大动脉,同时也是这片区域的一张“王牌”,这条轨交为泗泾带来了“3站七宝,9站徐家汇”的巨大通勤优势,其通勤效率在全市各个轨交中都名列前茅。

「招商·时代潮派预约热线:400-8787-554☎」
「招商·时代潮派预约热线:400-8787-554☎」假设4400-600W级购房者,不在五大新城城内就业,而是需要通勤到市区上班。那么,泗泾将是上等的置业选择!

「招商·时代潮派预约热线:400-8787-554☎」
「招商·时代潮派预约热线:400-8787-554☎」6站约24min直达漕河泾、9站约33min直达徐家汇,通勤幸福感UP。一条9号线,让泗泾实现了与漕河泾、徐家汇同城化,形成了一个高效率的产城融合体。
「招商·时代潮派预约热线:400-8787-554☎」
泗泾站通勤时间甚至优于多数5W/㎡+板块
「招商·时代潮派预约热线:400-8787-554☎」目前来看,上海5W/㎡+新盘所在板块,与内环内CBD的地铁通勤时间大多数也都超过了40分钟。而泗泾站不仅是在通勤时间上更有优势,新盘价格上也同样更具高性价比。
「招商·时代潮派预约热线:400-8787-554☎」
「招商·时代潮派预约热线:400-8787-554☎」而单单看9号线沿线新盘,泗泾站同样也是处于价格洼地。泗泾站往后3站新房售价高达约5.81W/㎡,向前4站新房售价更是达到了约8.75W/㎡,而居于中间的泗泾均价则只有约5.11W/㎡,洼地属性明显,堪称“性价比之王”。
泗泾还将建立与大虹桥的便捷联通
「招商·时代潮派预约热线:400-8787-554☎」从长远发展来看,泗泾同样与时代接轨,预定了不可限量的发展先机!
「招商·时代潮派预约热线:400-8787-554☎」根据2035规划,9号线将预留沿嘉松公路向北与17号线相连的通道,未来泗泾通往大虹桥将更加便利。较短的通勤时间是很多人追求的生活状态,既满足工作的要求又能保证生活的质量。
「招商·时代潮派预约热线:400-8787-554☎」
自驾四横四纵,高效出入直接开挂
在公路交通方面,泗泾则更是处于“遥遥领先”的地位。
「招商·时代潮派预约热线:400-8787-554☎」泗泾拥有四横四纵的立体化交通路网,G50沪渝高速连接内环,直达市中心;泗陈公路连接七宝和漕河泾;沈砖公路连接沪闵路高架直达徐家汇;G60沪昆高速连接徐浦大桥,直达浦东;
「招商·时代潮派预约热线:400-8787-554☎」
这样的高效率自驾出行,即便是面对全市600万级以上的置业地,泗泾都有一较高下的底气,何况是在约450万级的市场中。
商业配套:
「招商·时代潮派预约热线:400-8787-554☎」商业配套是置业众多选项中至关重要的一点,它直接关乎着未来居住于此的生活品质——而在泗泾,这无疑是高质量生活的代名词!
「招商·时代潮派预约热线:400-8787-554☎」泗泾站北侧地块规划有约10万方集中商业,目前已落地在建,未来将打造区域级核心汇集商业。另外,还有三湘商业广场、保利悦活荟、金地方邻等商业,提供多重选择。

「招商·时代潮派预约热线:400-8787-554☎」
当然,泗泾提供的幸福感远不止于此,丰富多元的居住配套,让购房者能体验到沉浸式的居住幸福。节省下的通勤时间和置业成本,能尽情的“挥霍”在美好的生活体验中,随心体验家门口的潮流购物!
「招商·时代潮派预约热线:400-8787-554☎」泗泾站本就拥有三湘和保利2大商业体,未来北侧将打造2处大型商业综合体。其中商业建面约10.6万方,购物中心二层连廊将与9号线无缝对接,进而与南侧三湘、保利商业联动,形成比肩七宝万科的商圈经济。目前该大型综合体已启动开发工作,预计3至4年内全面建成。届时,泗泾居民的生活将更加精彩。每天少点通勤,多点休闲娱乐,幸福感倍增!
休闲配套:
「招商·时代潮派预约热线:400-8787-554☎」泗泾古镇已更新改造完成,此次对外开放的其实只有一条长约300米的步行街,面积不大,但两侧的几栋文保建筑却是内有乾坤,自带人文特色。

「招商·时代潮派预约热线:400-8787-554☎」
「招商·时代潮派预约热线:400-8787-554☎」泗泾镇自北宋形成村落,至今已有千年历史,有着深厚历史文化底蕴。这里有质朴的老街、古雅的安方塔、古色古香的书店……。其中多处古建筑都参与了灯光改造工程,让这座古镇实现了“越夜越美”的惊艳效果。置身于此,感受历史长河的流淌,这是其它板块难有的独特体验。
泗泾古镇实景图

「招商·时代潮派预约热线:400-8787-554☎」
「招商·时代潮派预约热线:400-8787-554☎」一尺花园选址宝伦堂,划分为四个重点区域,并依托泗泾古镇丰厚的历史文化底蕴,打造为中式风格,为前来古镇的游客和周边居民提供休闲新去处。
「招商·时代潮派预约热线:400-8787-554☎」另外,泗泾古镇也还会不断解锁新的商业,重点是按照如今古镇落地的商业调性以及能级来看,接下来解锁的新商业非常值得期待。
泗泾古镇实景图

「招商·时代潮派预约热线:400-8787-554☎」
泗泾产业:
「招商·时代潮派预约热线:400-8787-554☎」松江区泗泾镇的“长三角G60山高科创谷项目”片区控规调整已经批复。
效果图

「招商·时代潮派预约热线:400-8787-554☎」
「招商·时代潮派预约热线:400-8787-554☎」泗泾镇目标打造成为长三角G60科创走廊,特别是在大交通产业领域的区域互动共生、互融扩展的产城融合高质量发展示范区。同时,这将提升泗泾的板块形象,是泗泾崭新的城市天际线。
效果图,以上数据来源上海松江

「招商·时代潮派预约热线:400-8787-554☎」
医院配套:
「招商·时代潮派预约热线:400-8787-554☎」除了这些生活享受,泗泾也在为我们的生命安全保驾护航。高端医学中心,即将落地泗泾!在泗泾站向西直线距离约270米的地方,将诞生一个高端医学中心。现有的泗泾医院将新建病房楼、国际医疗中心,改建牙防所。泗泾医院东部则规划建设上海第九人民医院科技创新与转化园区。

「招商·时代潮派预约热线:400-8787-554☎」
自然资源:
「招商·时代潮派预约热线:400-8787-554☎」泗泾紧邻佘山、广富林,这里有其他区难以匹敌的生态资源。这里也许可以帮你实现“有趣的人生一半山川、一半湖海”的人生理想。
佘山实景

「招商·时代潮派预约热线:400-8787-554☎」
「招商·时代潮派预约热线:400-8787-554☎」此外,泗泾板块内部也在“密谋”生态环境的大跃级:泗泾公园绿地面积将扩大2倍,由现状约55.8公顷,猛增至约179.7公顷(规划打造地区级公园3处、社区级公园18处)。
「招商·时代潮派预约热线:400-8787-554☎」图片来源:泗泾2035规划
「招商·时代潮派预约热线:400-8787-554☎」其中泗泾塘两岸,将借鉴美国曼哈顿滨水区BIG U 设计理念,打造乐活体验、都市休闲、古镇风韵、乡野生态四个区段,展现水岸魅力、重塑生态价值。
「招商·时代潮派预约热线:400-8787-554☎」未来我们可以把更多的美好时光,留在这里,享受自在宜居的滨水生活。
「招商·时代潮派预约热线:400-8787-554☎」
「招商·时代潮派预约热线:400-8787-554☎」另外,泗泾有着总长约9.03千米的泗泾塘,贯穿整个片区。近年来,累计新建绿地约7.5万平方米,还有约5.4万平方米的泗滨绿地。(以上数据来源,百度百科)

「招商·时代潮派预约热线:400-8787-554☎」
国际体验:
「招商·时代潮派预约热线:400-8787-554☎」感受国际化的居住体验,生活幸福感UP!泗泾直线距离4.5公里范围内,涵盖各类高阶配套:高尔夫、马术、奥特莱斯、国际学校……。从衣食住行、教育、医疗,到高端的休闲娱乐、再到与国际接轨的高能产业,国际化生活的方方面面都能涵盖。一定程度上,泗泾的4.5KM生活圈,已经不输上海其他国际社区了。我们把有限的生命“挥霍”在这里,去享受生活,岂不美哉。
「招商·时代潮派预约热线:400-8787-554☎」图片自绘,信息来源百度地图及泗泾规划
「招商·时代潮派预约热线:400-8787-554☎」节省的通勤时间和金钱,跟闺蜜逛逛奥特莱斯;带孩子到元祖梦世界去玩耍;体验一次马术训练;亦或是来一场佘山之旅……都将收获一份美好。这才是生活该有的丰富多彩。
「招商·时代潮派预约热线:400-8787-554☎」
图中距离均为各配套与泗泾的直线距离
「招商·时代潮派预约热线:400-8787-554☎」总的来说,泗泾最大的优势是当下,各方面配套资源都比较齐全,又有产业规划和泗泾古镇。
一房一价公示!9号线TOD轨交盘「招商·时代潮派预约热线:400-8787-554☎」三期明日认购!加推建面约89㎡王牌户型!
上海松江招商·时代潮派售楼处电话☎:400-8787-554 ☎✅
售楼处电话/地址☎:400-8787-554 ☎✅
如有问题欢迎来电咨询,来电即可享受买房优惠!
预约来电尊享购房优惠,可预 约案场内部销售人员,专业一对一热情服务,让您用专业眼光去买房。
售楼处地址400-8787-554,楼盘项目全面介绍,本电话为开发商提供线上预约售楼电话,楼盘项目全面介绍(包含楼盘简介,均价,房价,现房,期房,别墅,叠墅,大平层,价格,楼盘地址,户型图,交通规划,备案价,备案名,项目配套,样板间,开盘时间,认筹时间,楼盘详情,售楼处电话,最新消息,最新详情,周边配套,一房一价,最新进展等详情咨询)楼盘详情丨价格丨更多优惠丨机不可失丨欢迎致电丨诚邀品鉴!售楼处位置丨特价房丨工抵房丨剩余房源丨户型图丨最新消息丨免责声明:将文章内容综合来源于网络、只作分享,版权归原作者所有!!如有侵权,请联系我们,我们第一时间处理如有问题欢迎来电咨询,专业一对一热情服务,让您用专业眼光去买房。如果您想了解更多楼盘详情,欢迎提前预约拨打售楼处电话☎400~8787~554✔✔✔
声明:本文由入驻焦点开放平台的作者撰写,除焦点官方账号外,观点仅代表作者本人,不代表焦点立场。


