上海杨浦沁风雅苑售楼处电话:400-8673-567沁风雅苑位于杨浦新江湾城,精装现房交付,均价12万/㎡,总价3700-5400万,拥有生态、交通、商业等优势,由新加坡庆隆集团开发,绿化率35%,得房率89%。
上海杨浦沁风雅苑售楼处电话:400-8673-567✔✔【预约热线】沁风雅苑售楼处营销中心:400-8673-567沁风雅苑售楼处电话/地址☎:400-8673-567(开发商热线)如有问题欢迎来电咨询,专业一对一热情服务,让您用专业眼光去买房。杨浦新江湾城核心,建面约310-362㎡别墅,精装现房交付 均价约12万/㎡,总价3700-5400万。


二、核心优势
1. 区位价值
生态资源:毗邻9.45平方公里新江湾湿地公园,享有15万㎡原生湿地景观
交通网络:距10号线殷高东路站800米,新江湾城站600米,自驾可快速接入逸仙高架
商业配套:500米内可达悠方购物中心,10分钟车程至五角场商圈
2. 产品设计
建筑规划:以玉兰曲线为灵感,打造"流淌之森"主题景观,18栋叠墅呈镜像排列
户型配置:主力户型311-356㎡叠墅,下叠赠送100-200㎡花园,上叠赠送60㎡露台
精装标准:采用瑞族、嘉格纳、杜拉维特等国际品牌,装修标准达3000元/㎡

四、配套资源
1. 教育医疗
学校:中福会幼儿园、同济第一附中、新江湾国安路小学34
医院:上海市肺科医院、长海医院、东方肝胆外科医院3
2. 生态休闲
公园:安徒生童话公园、新江湾城湿地公园2
社区景观:四时有景的园林地景,由比利时景观设计公司打造

沁风雅苑售楼处营销中心:400-8673-567沁风雅苑售楼处电话/地址☎:400-8673-567(开发商热线)
项目基础信息
项目名称:沁风雅苑
总套数:101套
面积段:311-362平
单价:12-13万
产权起始年:2013年
产权年限:70年
交房时间:2023/3/15
装修标准:精装
预售许可:现房
占地面积:3.4万
容积率:1.2
绿化率:35
得房率:89%
规划车位:地上0,地下300
车位配比:1.3
开发商:新加坡庆隆集团
物业公司:绿城物业
物业费:11.4

沁风雅苑售楼处营销中心:400-8673-567沁风雅苑售楼处电话/地址☎:400-8673-567(开发商热线)
在售户型图及样板间鉴赏
A1户型(下叠)
面积:325平
单价:13万
总价:4200万
房型:3➕2房2厅
附赠面积:1楼花园100-200平

沁风雅苑售楼处营销中心:400-8673-567沁风雅苑售楼处电话/地址☎:400-8673-567(开发商热线)
A2户型(下叠)
面积:311-316平
单价:13万
总价:3700-4100万
房型:3➕2房2厅
附赠面积:1楼花园100-200平

沁风雅苑售楼处营销中心:400-8673-567沁风雅苑售楼处电话/地址☎:400-8673-567(开发商热线)
B1户型(中叠)
面积:337-362平
单价:12.5万
总价:4212-4500万
附赠面积:阳台➕露台20平以内

沁风雅苑售楼处营销中心:400-8673-567沁风雅苑售楼处电话/地址☎:400-8673-567(开发商热线)
C1户型(上叠)
面积:357-362
单价:12万
总价:4280-4340万
附赠面积:露台60平方左右

沁风雅苑售楼处营销中心:400-8673-567沁风雅苑售楼处电话/地址☎:400-8673-567(开发商热线)

样板间照片供参考▼

沁风雅苑售楼处营销中心:400-8673-567沁风雅苑售楼处电话/地址☎:400-8673-567(开发商热线)


沁风雅苑售楼处营销中心:400-8673-567沁风雅苑售楼处电话/地址☎:400-8673-567(开发商热线)

沁风雅苑售楼处营销中心:400-8673-567沁风雅苑售楼处电话/地址☎:400-8673-567(开发商热线)



沁风雅苑售楼处营销中心:400-8673-567沁风雅苑售楼处电话/地址☎:400-8673-567(开发商热线)

沁风雅苑实拍

项目区位配套
地理位置:沁风雅苑售楼处营销中心:400-8673-567沁风雅苑售楼处电话/地址☎:400-8673-567(开发商热线)东至污水处理中心(国晓路)新江湾城D5地块(慈善、医疗卫生用地)、南至安徒生主题公园、西至安徒生主题公园、北至国晓路。建筑面积:74557.5㎡规划用地性质:普通商品房容积率:1.2成交楼面价(元/㎡):14780.0竞得人:新加坡庆隆集团

项目位于新江湾城安徒生童话公园以北,政和路与国晓路交汇处,位置较为优越。

沁风雅苑售楼处营销中心:400-8673-567沁风雅苑售楼处电话/地址☎:400-8673-567(开发商热线)
交通配套方面:项目周边有10号线,距离新江湾城站、殷高东路站、三门路站都很近。18号线殷高路站也在2公里范围内,步行也可到达。

沁风雅苑售楼处营销中心:400-8673-567沁风雅苑售楼处电话/地址☎:400-8673-567(开发商热线)
商业配套方面:项目附近有约90万方的铁狮门商业圈,驾车去往五角场商圈也非常便捷。

教育资源方面:周边有中福会幼儿园、延吉幼儿园、同济第一附中、上海音乐学院实验中小学。

医疗资源方面:项目周边有上海市肺科医院、上海长海医院、第二军医大学东方肝胆外科医院。
沁风雅苑售楼处营销中心:400-8673-567沁风雅苑售楼处电话/地址☎:400-8673-567(开发商热线)

沁风雅苑售楼处营销中心:400-8673-567沁风雅苑售楼处电话/地址☎:400-8673-567(开发商热线)


沁风雅苑售楼处营销中心:400-8673-567沁风雅苑售楼处电话/地址☎:400-8673-567(开发商热线)沁风雅苑售楼处营销中心:400-8673-567沁风雅苑售楼处电话/地址☎:400-8673-567(开发商热线)

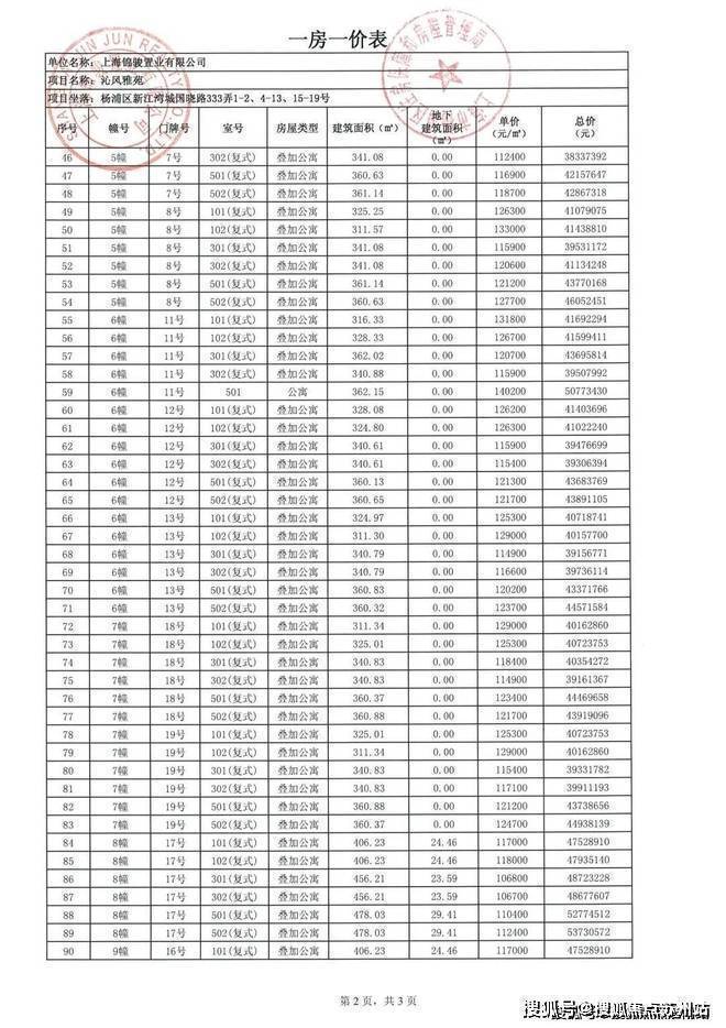
沁风雅苑一房一价表
沁风雅苑售楼处营销中心:400-8673-567沁风雅苑售楼处电话/地址☎:400-8673-567(开发商热线)


上海杨浦沁风雅苑售楼处电话:400-8673-567✔✔【预约热线】沁风雅苑售楼处营销中心:400-8673-567沁风雅苑售楼处电话/地址☎:400-8673-567(开发商热线)如有问题欢迎来电咨询,专业一对一热情服务,让您用专业眼光去买房。杨浦新江湾城核心,建面约310-362㎡别墅,精装现房交付 均价约12万/㎡,总价3700-5400万。