官方首页:上海临港(港城悦庭)售楼处电话-24小时热线→售楼部地址→户型-港城悦庭2026最新优势-户型→配套资源
扫描到手机,新闻随时看
扫一扫,用手机看文章
更加方便分享给朋友
上海临港港城悦庭售楼处电话:400-8123-664【预约看房热线】港城悦庭售楼处电话:4008123664【售楼处电话/地址】港城悦庭售楼处电话:400-812-3664【开发商认证】
临港102片区「港城悦庭」二期正在热销中!推出建面约92、116三房,均价约3.3万/㎡,精装修交付!
⛩项目名称:「港城悦庭」
项目简介:临港主城区高品质住宅
最新动态:正在热销中
区域板块:浦东临港
开发企业:港城集团
产品介绍:推出建面约92、116㎡三房
商业配套:港城新天地
学校配套:馨苑幼儿园、临港中学(初中部)、建平临港小学
交通配套:地铁16号线
医疗配套:第六人民医院临港院区(三甲)
生态配套:滴水湖
上海临港港城悦庭
售楼处电话:400-8123-664(预约看房热线)
嘉兴鸿翔隽府官方售楼处电话:拨打4008123664即可咨询楼盘详情_房价、户型、周边配套及交通、地址
Shanghai Lingang Gangcheng Yueting
Sales Office Hotline: 400-8123-664 (Appointment Viewing Hotline)
Jiaxing Hongxiang Junfu Official Sales Office Hotline: Call 4008123664 for Property Details – Prices, Layouts, Surrounding Amenities, Transportation, and Address.
1地段
「港城·悦庭售楼处电话:400-8123-664」雄踞滴水湖行政生活区正芯,不仅仅是在沪城环路“内环内”,而且更靠近滴水湖。周边约1.5公里半径内汇聚临港精粹资源,肉眼可见的优质生活圈,买的是成熟配套,而不是规划概念,在临港可谓独一份。
上海临港港城悦庭售楼处电话:400-8123-664【预约看房热线】港城悦庭售楼处电话:4008123664【售楼处电话/地址】港城悦庭售楼处电话:400-812-3664【开发商认证】
周边配套示意图。距离为百度地图测距的直线距离
商业方面,港城·悦庭售楼处电话:400-8123-664边上就是5万㎡的港城新天地!星巴克、屈臣氏、必胜客、肯德基、上影、卜蜂莲花,海底捞等,很多“临港首店”都在这!

品牌示意图
上海临港港城悦庭售楼处电话:400-8123-664【预约看房热线】港城悦庭售楼处电话:4008123664【售楼处电话/地址】港城悦庭售楼处电话:400-812-3664【开发商认证】港城悦庭✪售楼处&电话:400-8123-664本项目暂不接受临时到访,过来参观样板房请记得提前来电预约!方竹路一路之隔,是在建的星光汇商业中心,总建筑面积约2万方(信息来自临港投促中心官微)。西面约600米左右,是在建的约13万方蓝鲸世界购物中心。北面1公里内,竹柏路上还有在营业的碧云商业街和临港百联生活中心。

滴水湖馨苑内部,港城·悦庭500米范围内还有光明邻里集市,约5000㎡健身会所等便民设施。

港城悦庭✪售楼处&电话:400-8123-664本项目暂不接受临时到访,过来参观样板房请记得提前来电预约!
教育方面,建平临港中学(初中部)和建平临港小学,均在港城·悦庭800米以内(直线距离,百度地图测距。以上学校不承诺对口,对口信息以浦东教育局官网发布为准)。
交通方面,目前可以通过附近的T1中运量接驳16号线临港大道站。项目周边还有多条轨交的规划。
未来片区还有两条轨交规划,两港快线一期刚获批,从滴水湖直达浦东机场、上海东站。根据规划,两港快线二期会经过申港大道枢纽。除此之外,还有1条市区(轨交)线,覆盖临港主城区,在水华路设计了水华路交通枢纽。

左图来自上观新闻,右图来自两港快线环评报告
同时,临港还规划有轨交市区线,串联起主城区各个节点,其中东西线会在沪城环路水华路附近设有站点(信息来自上海临港发布的南汇新城绿环概念规划方案评选)。
2产品
上海临港港城悦庭售楼处电话:400-8123-664【预约看房热线】港城悦庭售楼处电话:4008123664【售楼处电话/地址】港城悦庭售楼处电话:400-812-3664【开发商认证】港城悦庭✪售楼处&电话:400-8123-664本项目暂不接受临时到访,过来参观样板房请记得提前来电预约!港城集团,作为国资企业深耕临港新片区的开发建设主体,已经根植临港20年,稳扎稳打,口碑与实力并举。在新房频频“翻车”的当下,安全性和交付品质显得格外有保障!

「港城·悦庭售楼处电话:400-8123-664」作为港城“悦”系作品的全新升级力作,不仅从产品、设施上有所突破,更以公园化的园林布局规划了整个社区。

效果示意图
港城悦庭✪售楼处&电话:400-8123-664本项目暂不接受临时到访,过来参观样板房请记得提前来电预约!项目紧邻城市珍贵天然水系秋涟河,融合以“友好城市界面、开放社区生活、多元活空间”三大要素,规划建设睦邻友好、儿童乐园、晨练设施、滨河步道等社区配套,打造多维社区设施与主题景观,成就全龄宜居的生活环境。
规划示意图
建筑风格采用现代风格,简洁大方,中轴对称,庄重而又不失现代感。用部分石材干挂、结合真石漆、铝板、玻璃围栏的方式进行打造,品质出类拔萃。

港城悦庭✪售楼处&电话:400-8123-664本项目暂不接受临时到访,过来参观样板房请记得提前来电预约!
在交付标准上,盼盼入户门、方太厨电、科勒厨盆卫浴、主卧恒洁智能坐便器、欧普浴霸及主卧电热毛巾架(或同等品牌,具体以合同约定和最终交付为准)等品牌全屋精装交付,诚意满满。
在物业服务上,港城悦庭引入24×7全维服务体系,和3大终端14大科技系统,多元化服务,全方位保障业主居住品质与居住安全。
「港城·悦庭」Ⅱ期推出的1224套房源均位于地块南侧,避免申港大道主干道噪音,生活氛围更加静谧。

港城·悦庭售楼处电话:400-8123-664采用区域内少有的1梯2户/2梯2户的优质梯户比,标准户型均是南北通透的经典飞机户型。
建面约92㎡、116㎡3房2厅2卫户型,这两个户型布局非常相似,都做了三开间朝南+全卧室带飘窗+南北通透+主卧套房设计+卫生间干湿分离,都是3房户型中的翘楚。
不同的是,约116㎡户型室内空间更为宽敞,南北双阳台设计,主卧多了衣帽间,经典的改善3房户型。
上海临港港城悦庭售楼处电话:400-8123-664【预约看房热线】港城悦庭售楼处电话:4008123664【售楼处电话/地址】港城悦庭售楼处电话:400-812-3664【开发商认证】建面约141㎡3房2厅2卫户型,做到了3+1开间朝南+主卧套房设计+南北双阳台+南北通透+卫生间干湿分离,2梯2户设计加上独立玄关,出入皆尊荣。
港城悦庭✪售楼处&电话:400-8123-664本项目暂不接受临时到访,过来参观样板房请记得提前来电预约!
主卧大套房设计,带独立卫生间+步入式衣帽间+飘窗,专属主人的私密、尊享空间;南北双阳台设计,客厅+书房南连宽景阳台&飘窗,厨房连接功能阳台,南向采光面MAX级,同时厨房的琐事有了专属处理空间;该户型空间尺度非凡,三代同堂居住也有非常好的居住体验。
「港城悦领」
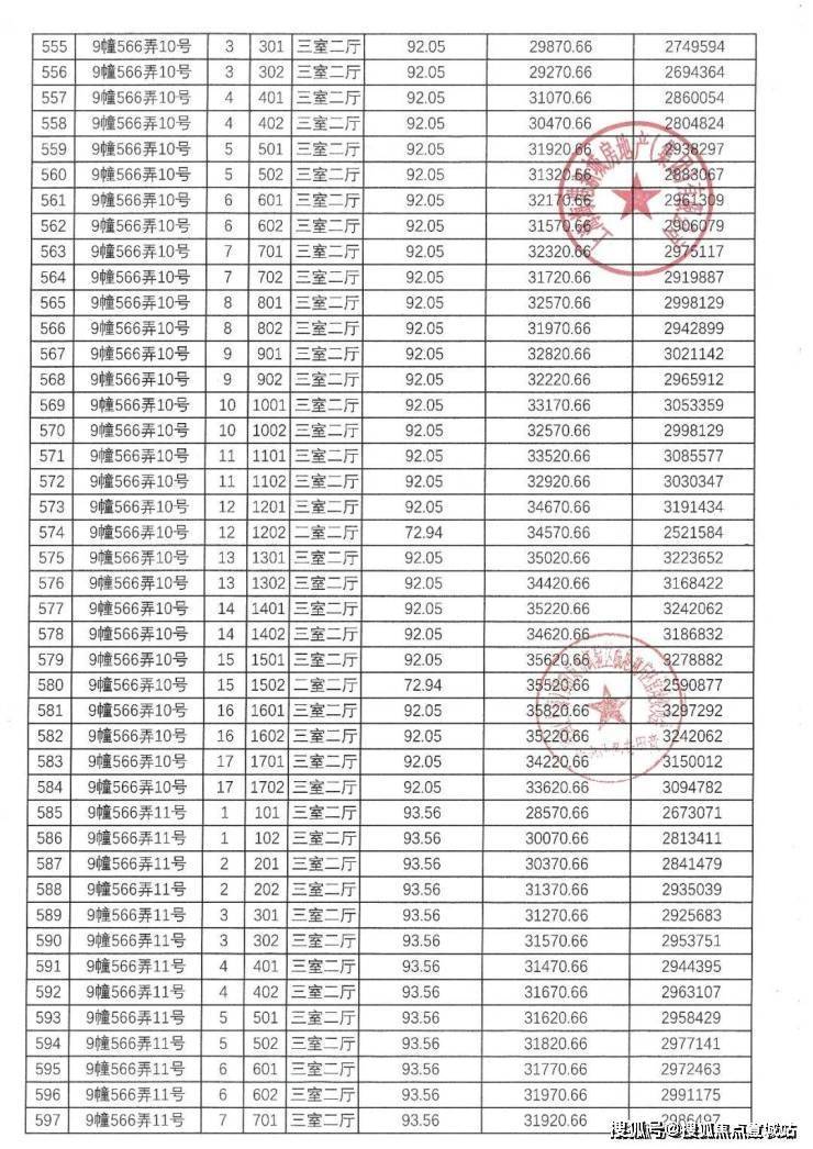
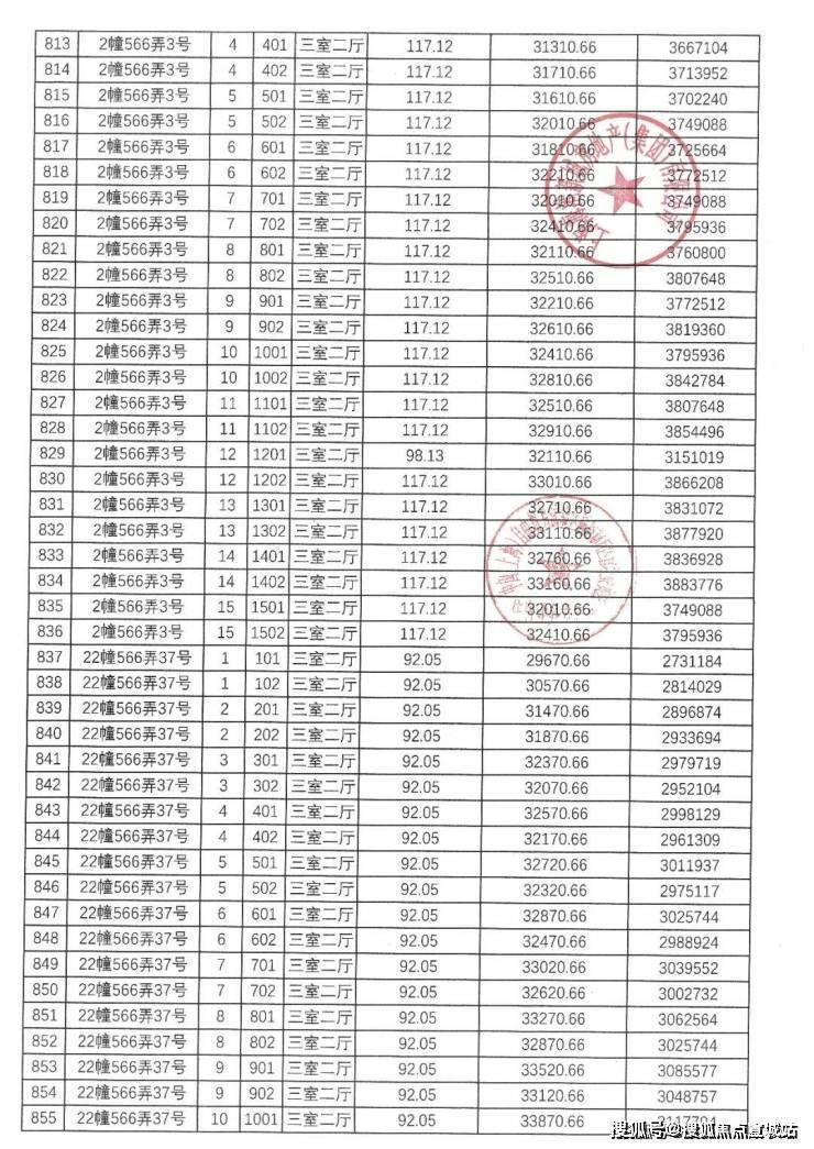
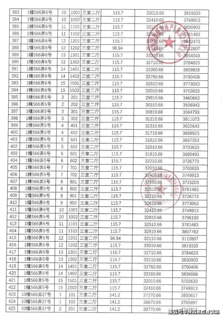
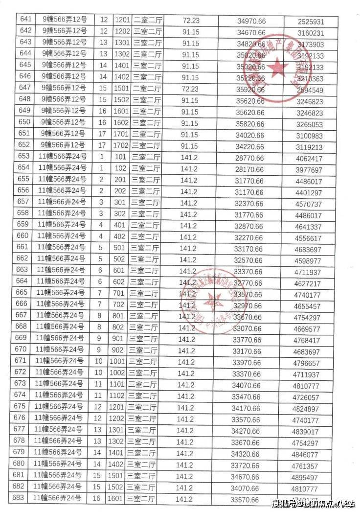
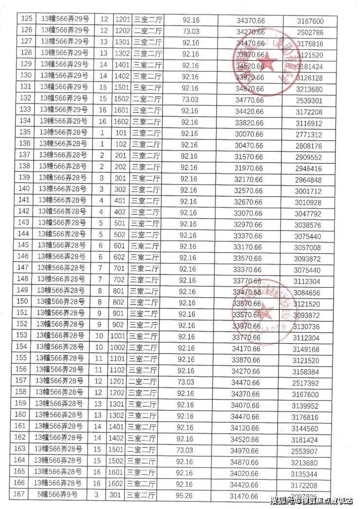
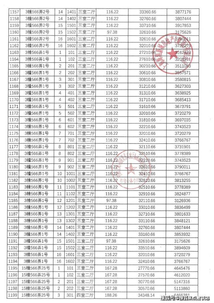
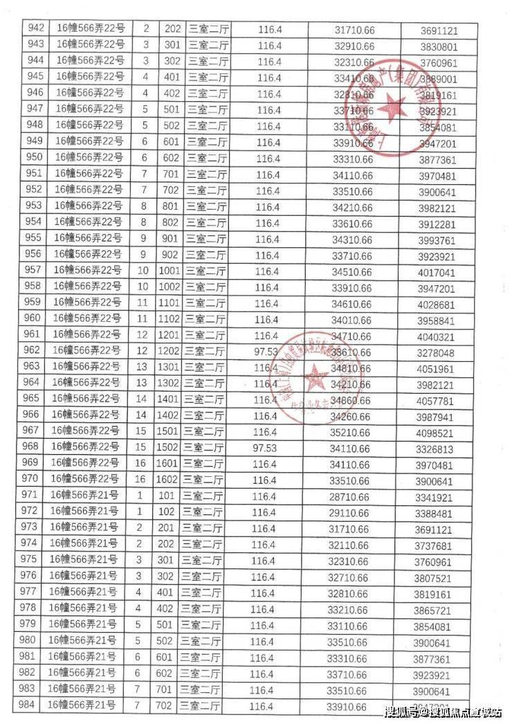
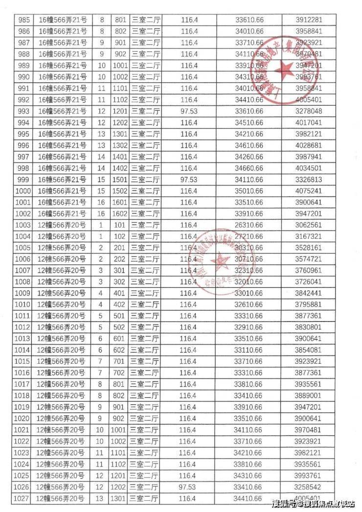
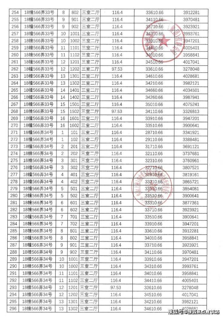
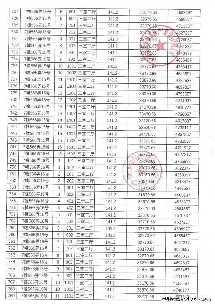
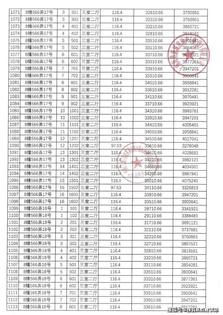
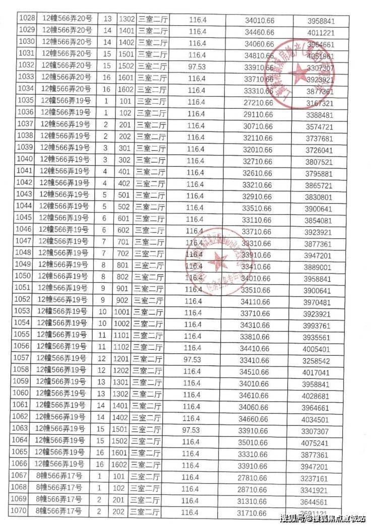
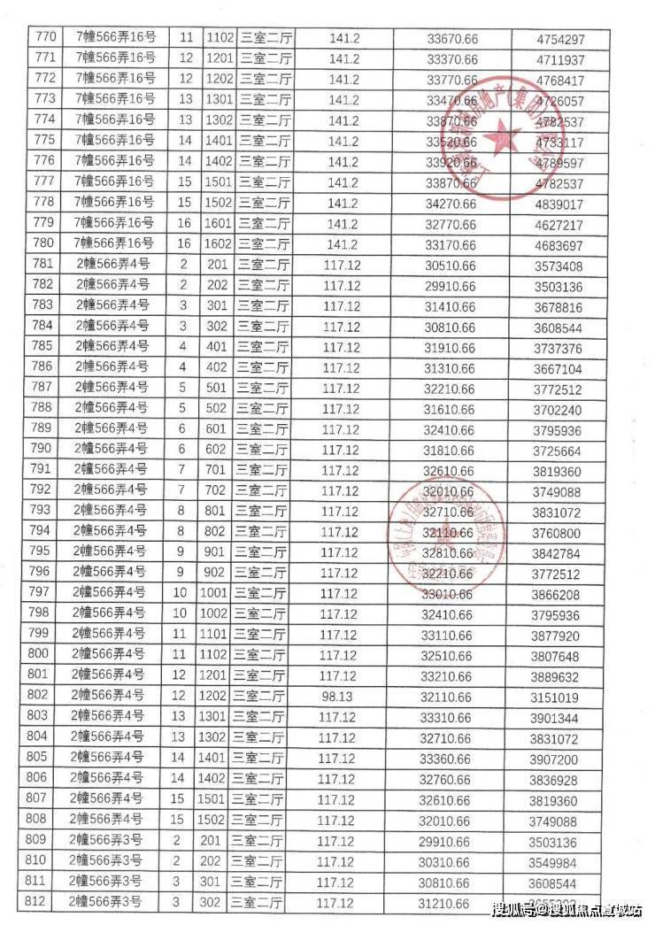
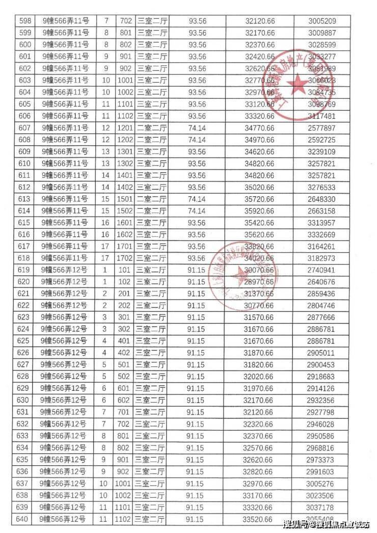
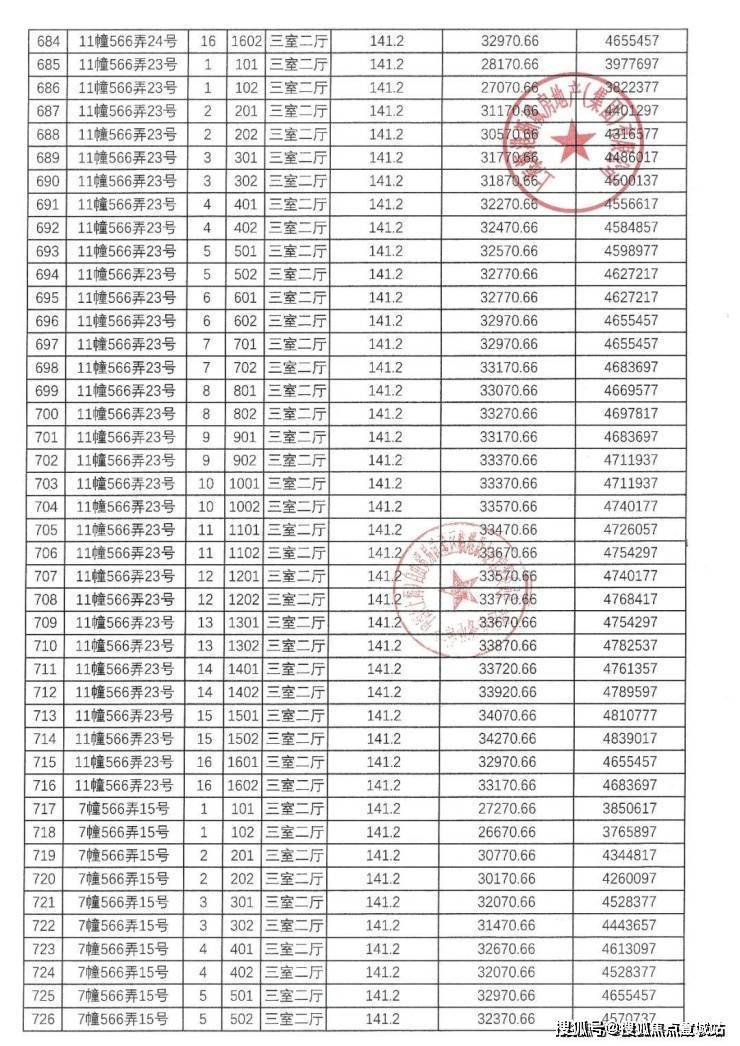
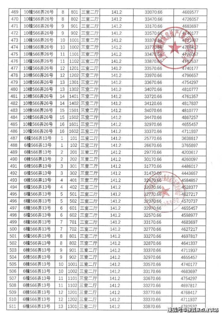
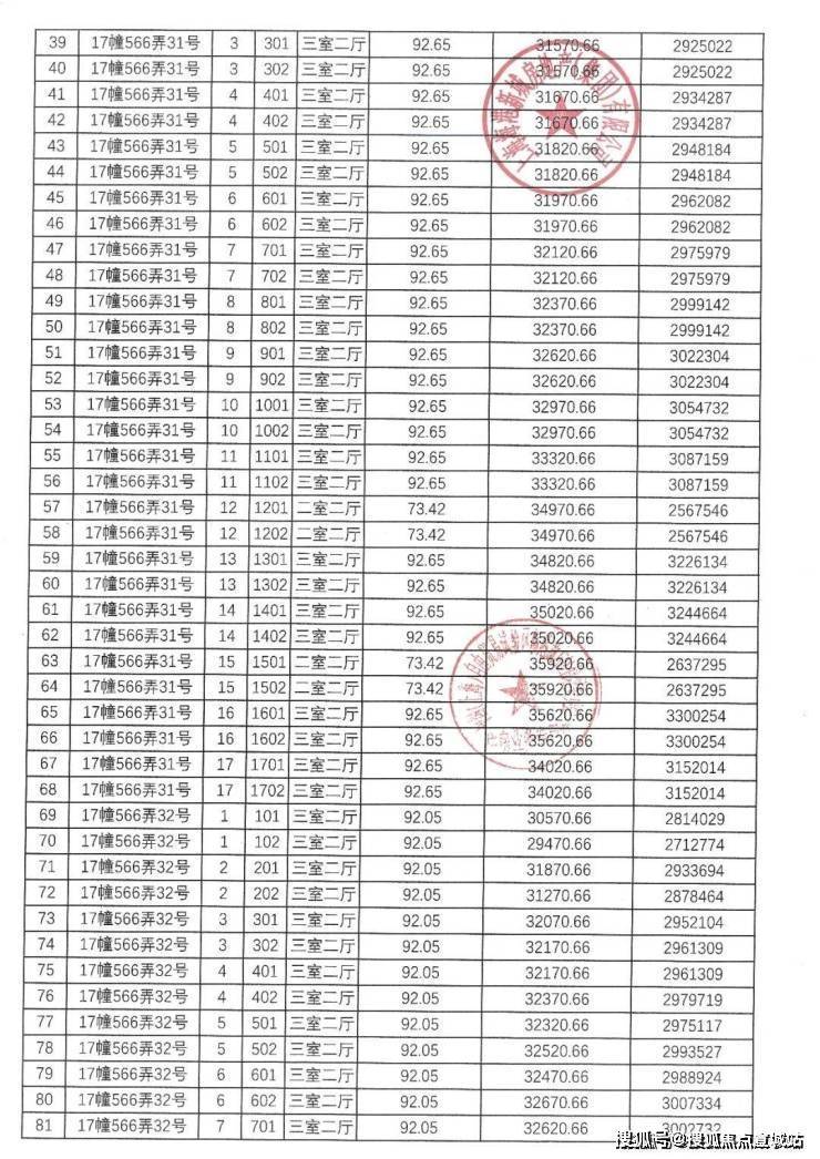
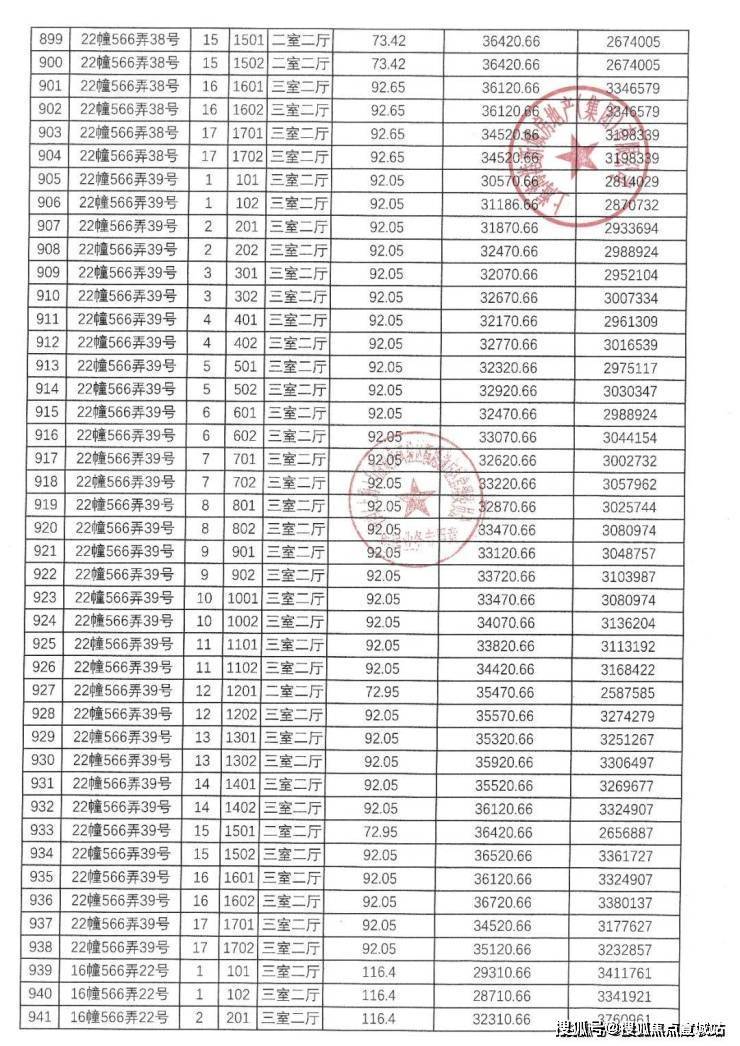
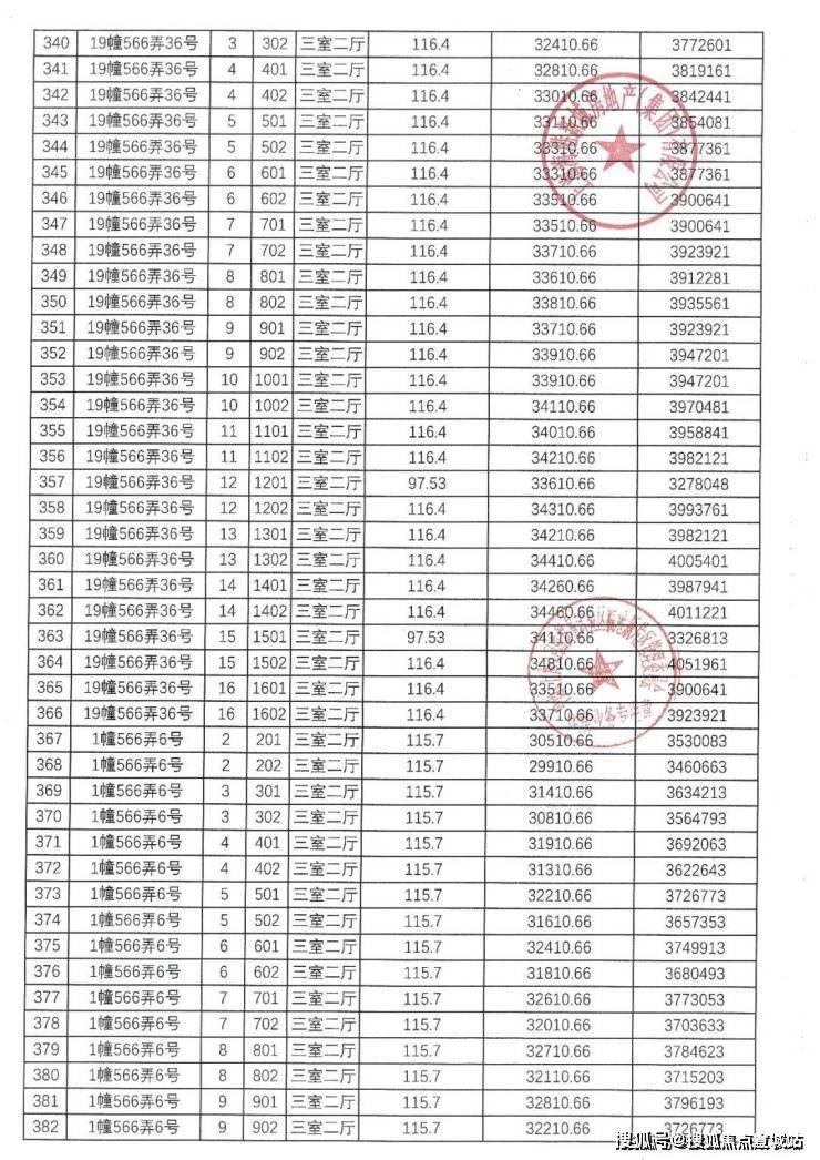
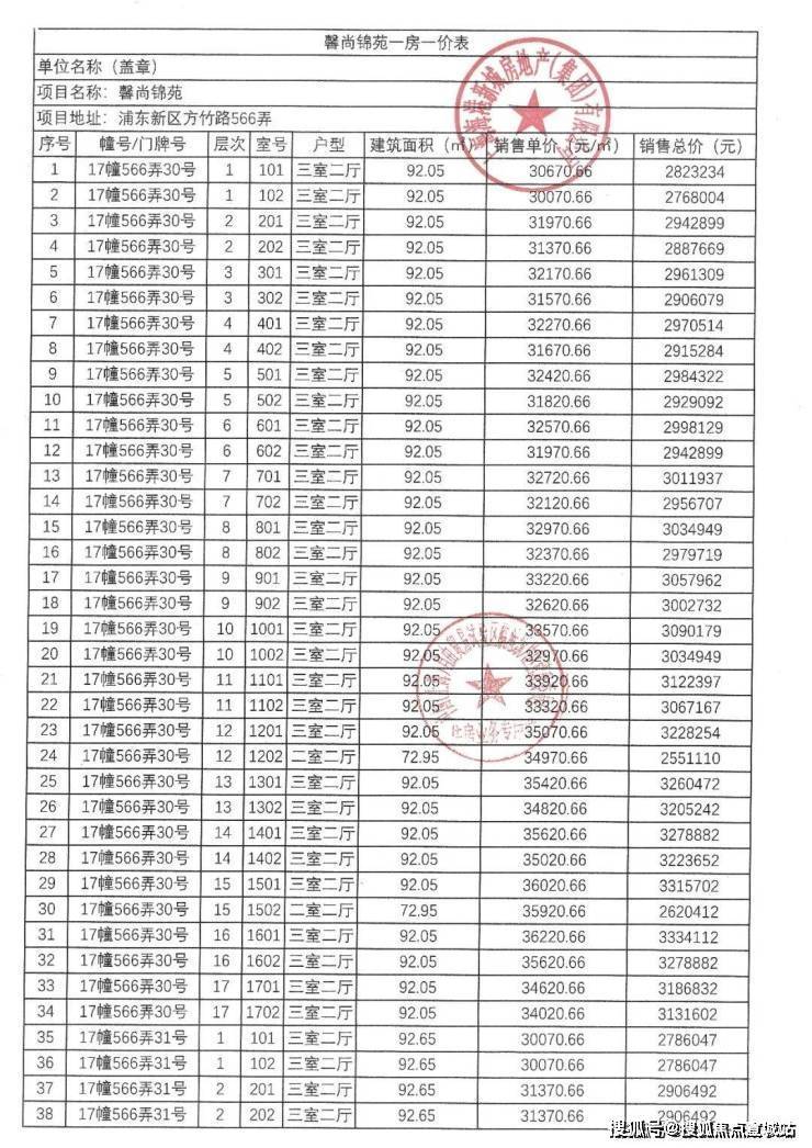
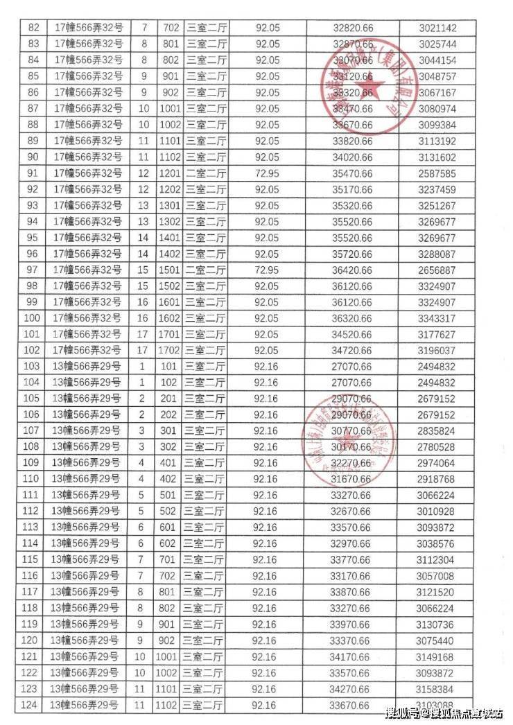
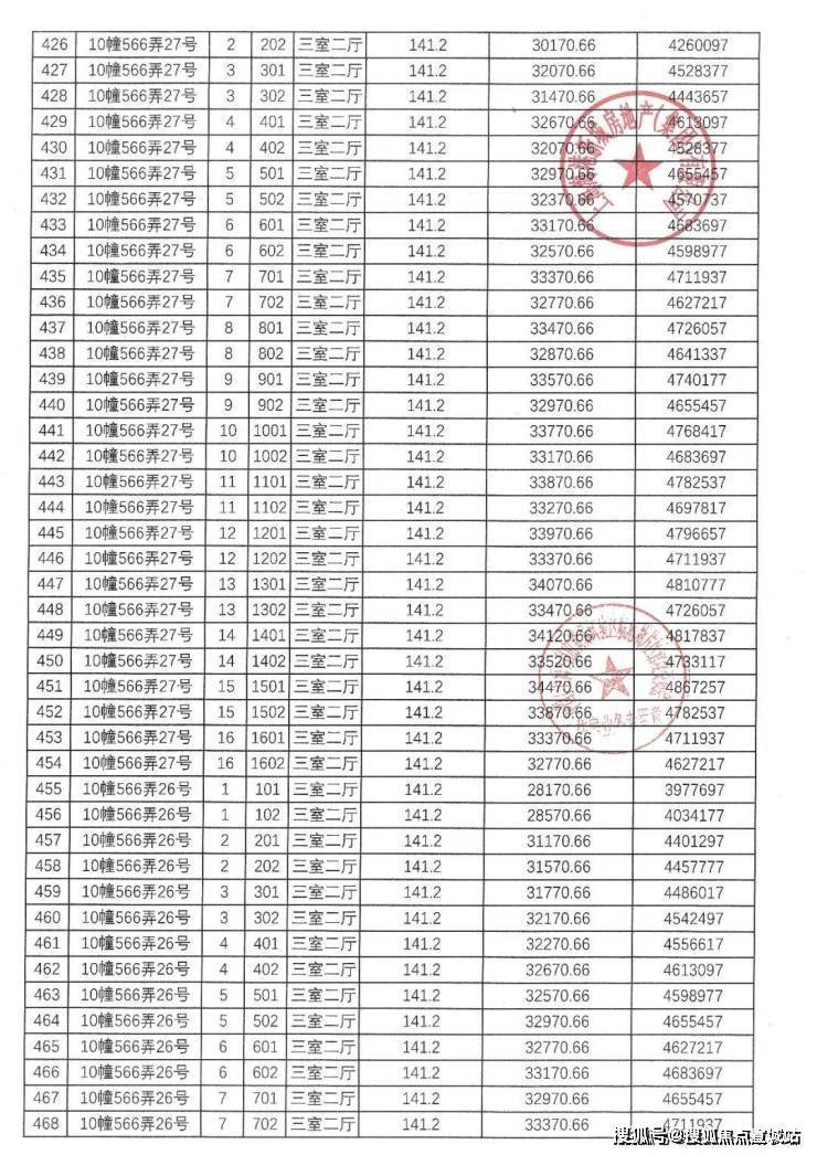
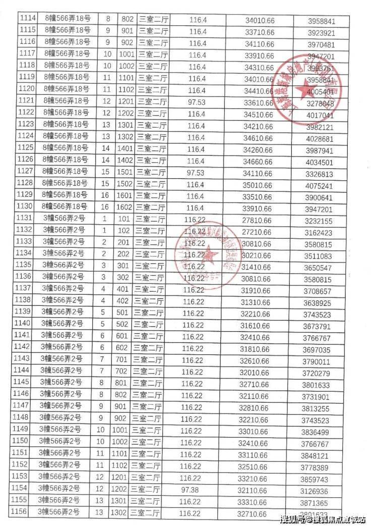
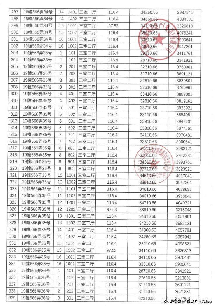
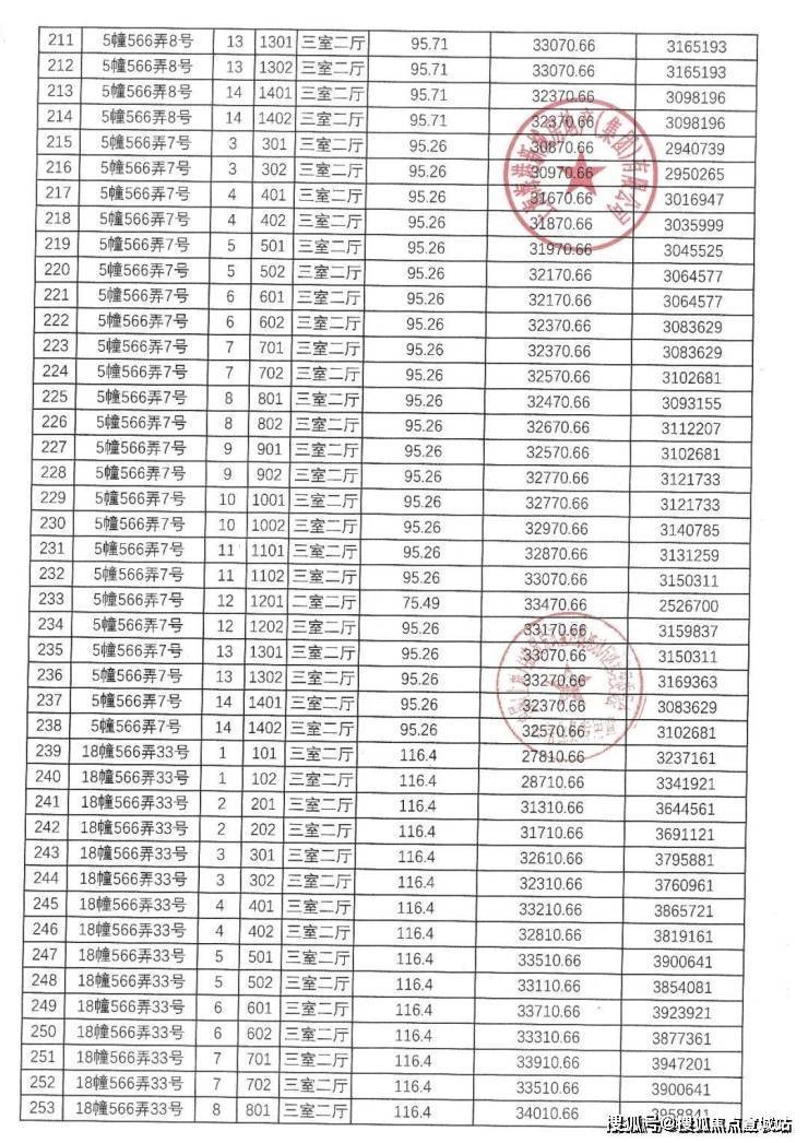
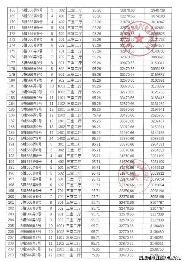
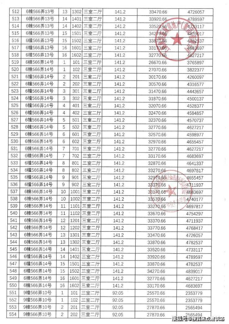
一房一价表
上海临港港城悦庭
售楼处电话:400-8123-664(预约看房热线)
嘉兴鸿翔隽府官方售楼处电话:拨打4008123664即可咨询楼盘详情_房价、户型、周边配套及交通、地址
Shanghai Lingang Gangcheng Yueting
Sales Office Hotline: 400-8123-664 (Appointment Viewing Hotline)
Jiaxing Hongxiang Junfu Official Sales Office Hotline: Call 4008123664 for Property Details – Prices, Layouts, Surrounding Amenities, Transportation, and Address.
��房价特价信息丨优惠政策丨详细解答丨在售房源丨在售户型图丨项目介绍丨周边配套丨VR看房丨楼盘图丨沙盘图丨位置图丨配套图丨售楼处地址丨足不出户丨销售1V1讲解如有问题欢迎来电咨询,可预约销售人员,专业一对一热情服务,让您用专业眼光去买房
一、限购政策:户籍与社保的双重门槛
上海实行严格的限购政策,核心规则如下:
(一)本市户籍家庭
·已婚家庭:可购买2套住房,但需注意,若家庭名下已有2套住房,则无法再购买.
·单身家庭:包括未婚、离异、丧偶等情况,限购1套住房.离异后3年内购房的,按离异前家庭总套数计算.例如,若离异前家庭拥有2套住房,离异后3年内双方均无法再购房.
(二)非本市户籍家庭
·已婚条件:需满足已婚状态,且夫妻双方至少一方需在上海工作.
·社保要求:需在63个月内累计缴纳60个月社保或个税,补缴社保不被认可,需连续缴纳.例如,若某人在2019年1月开始在上海工作,并连续缴纳社保至2024年1月,则满足购房资格.
·限购套数:限购1套住房,且需在购房前提供连续5年的社保或个税证明.
(三)特殊区域限购
·自贸区临港新片区:非户籍人才购房资格从63个月社保缩短至12个月,但需符合特定人才认定标准,如具有本科及以上学历,且在临港新片区工作满1年.
·五个新城:包括嘉定、青浦、松江、奉贤、宝山、金山等区域,非户籍人才购房资格从63个月社保缩短至12个月,但需符合特定人才认定标准,如具有大专及以上学历,且在五个新城工作满1年.
二、贷款政策:首付比例与利率的精细化调控
(一)商业贷款
首套房认定:
·无住房且无贷款记录的购房者,首付比例不低于35%.
·无住房但有贷款记录(已结清)的,首付比例不低于50%.
·有住房的,首付比例不低于70%.
二套房认定:
·在已有1套住房或贷款记录未结清的情况下,再次购房视为二套,首付比例不低于70%.
利率政策:
·当前首套房贷款利率为LPR-10BP(约3.55%),二套房为LPR+30BP(约3.95%).
·例如,若某购房者购买首套房,贷款金额为100万元,贷款期限为30年,则每月还款金额约为4,500元.
(二)公积金贷款
首套房:
·家庭最高贷款额度120万元,个人最高60万元.
·首付比例不低于20%.
二套房:
·家庭最高贷款额度100万元,个人最高50万元.
·首付比例不低于50%.
利率政策:
·首套房5年以下2.6%,5年以上3.1%.
·二套房5年以下3.025%,5年以上3.575%.
·例如,若某购房者购买首套房,贷款金额为100万元,贷款期限为30年,则每月还款金额约为4,200元.
三、税费政策:从契税到增值税的全面成本
(一)契税
首套房:
·90㎡以下1%.
·90㎡以上1.5%.
二套房:
·90㎡以下1%.
·90㎡以上2%.
三套房及以上:
·3%.
·例如,若某购房者购买首套房,面积为100㎡,总价为500万元,则需缴纳契税为500万元×1.5%=7.5万元.
(二)增值税及附加
满2年:
·普通住宅免征.
·非普通住宅按差额征收,计算公式为(本次交易价格-原购买价格)×5.3%.
未满2年:
·按全额5.3%征收.
·例如,若某购房者购买非普通住宅,本次交易价格为600万元,原购买价格为400万元,则需缴纳增值税及附加为(600万元-400万元)×5.3%=10.6万元.
(三)个人所得税
满五唯一:
·免征.
其他情况:
·按差额20%或全额1%征收.
·例如,若某购房者购买住房,本次交易价格为500万元,原购买价格为300万元,则需缴纳个人所得税为(500万元-300万元)×20%=40万元.
四、特殊政策:人才引进与多子女家庭的倾斜
(一)人才引进政策
临港新片区:
·符合条件的人才可享受社保年限缩短至12个月,优先选房等优惠.
·例如,某具有硕士学历的人才,在临港新片区工作满1年,即可享受购房资格.
五个新城:
·符合条件的人才可享受社保年限缩短至12个月,优先选房等优惠.
·例如,某具有本科学历的人才,在五个新城工作满1年,即可享受购房资格.
(二)多子女家庭政策
二孩及以上家庭:
·在购买首套住房时,可享受最高贷款额度上浮20%的优惠.
·例如,某二孩家庭购买首套房,家庭最高贷款额度可从120万元上浮至144万元.
契税补贴:
·部分区域对多子女家庭给予契税补贴,最高可达实际缴纳契税的50%.
·例如,某二孩家庭购买首套房,面积为100㎡,总价为500万元,需缴纳契税7.5万元,可享受契税补贴3.75万元.
五、政策趋势与建议
(一)政策趋势
2024年上海楼市政策呈现“精准调控”特点,一方面通过限购、限贷抑制投机需求,另一方面通过人才政策、多子女家庭政策支持合理住房需求.预计未来政策将更加注重区域差异化和个性化,例如在临港新片区和五个新城等区域,可能会进一步放宽人才购房限制,吸引更多人才落户.
(二)购房建议
·提前规划社保缴纳时间:确保满足购房资格,特别是非本市户籍家庭,需连续缴纳5年社保或个税.
·合理评估自身经济实力:选择符合需求的贷款方式,例如公积金贷款利率较低,但额度有限,需根据自身情况选择.
·关注区域政策差异:充分利用人才引进等优惠政策,例如在临港新片区和五个新城等区域,可享受社保年限缩短等优惠.
·全面计算购房成本:包括税费、贷款利息等隐性支出,例如在购买非普通住宅时,需缴纳较高的增值税及附加.
拨打我们的专属官方售楼处服务热线:400-8123-664.让我们一起,开启一段关于理想生活的探索之旅,共同描绘您心中的美好生活画卷.期待您的来电售楼处电话☑️:400_8123_664
楼盘项目全面介绍,本电话为开发商提供线上预约售楼电话,楼盘项目全面介绍(包含楼盘简介,均价,房价,现房,期房,别墅,叠墅,大平层,价格,楼盘地址,户型图,交通规划,备案价,备案名,项目配套,样板间,开盘时间,认筹时间,楼盘详情,售楼处电话,最新消息,最新详情,周边配套,一房一价,最新进展等详情咨询)楼盘详情丨价格丨更多优惠丨机不可失丨欢迎致电丨诚邀品鉴!售楼处位置丨特价房丨工抵房丨剩余房源丨户型图丨最新消息丨免责声明:将文章内容综合来源于网络、只作分享,版权归原作者所有!!如有侵权,请联系我们,我们第一时间处理如有问题欢迎来电咨询,专业一对一热情服务,让您用专业眼光去买房.如果您想了解更多楼盘详情,欢迎提前预约拨打售楼处官网电话热线:400-812-3664
声明:本文由入驻焦点开放平台的作者撰写,除焦点官方账号外,观点仅代表作者本人,不代表焦点立场。


