同悦湾璟庭官方售楼处-(2025同悦湾璟庭最新)-房价-户型-图文介绍
扫描到手机,新闻随时看
扫一扫,用手机看文章
更加方便分享给朋友
上海青浦同悦湾璟庭售楼处电话:400-8828-814✔✔【预约热线】同悦湾璟庭售楼处营销中心:400-8828-814同悦湾璟庭售楼处电话/地址☎:400-882-8814(开发商热线)如有问题欢迎来电咨询,专业一对一热情服务,让您用专业眼光去买房。建面约85-129㎡洋房、叠加,指导价4.4万/㎡,青浦朱家角中式墅居,容积率仅为1.25,绿地率达35%!。
朱家角中式墅居「同悦湾璟庭」户型图发布!建面约85-129㎡洋房、叠加即将入市!
青浦朱家角中式墅居
「同悦湾璟庭」
建面约85-129㎡洋房、叠加
即将入市
指导价4.4万/㎡
同悦湾璟庭售楼处电话☎:400-882-8814(预约热线)✔✔✔
项目位于上海市青浦区朱家角镇阁游路与淀昇路交汇处,容积率仅为1.25,绿地率达35%!
同悦湾璟庭售楼处电话☎:400-882-8814(预约热线)✔✔✔项目由东、西两个地块组成,依据项目进度,西地块将优先入市,西地块由186套建面约85㎡-95㎡洋房及100套建面约117-129㎡叠墅产品组成。
最新户型图如下:
同悦湾璟庭售楼处电话☎:400-882-8814(预约热线)✔✔✔
同悦湾璟庭售楼处电话☎:400-882-8814(预约热线)✔✔✔
同悦湾璟庭售楼处电话☎:400-882-8814(预约热线)✔✔✔
同悦湾璟庭售楼处电话☎:400-882-8814(预约热线)✔✔✔
当朱家角的江南腔调际遇青浦的发力拓进,关于大上海的生活议题升腾而起。
它是城市与人居的共生,是物理空间的迭代,是对历史、文化、经济脉络的深度回应。
同悦湾璟庭售楼处电话☎:400-882-8814(预约热线)✔✔✔它是空间的升维,是配套的丰盈,是圈层的越阶,也是滋养身心的生活美学,映照着城市的光辉前序,引领着我们在生活的路上不断演进和实践。
同悦湾璟庭,纵横上海画卷,悦见东方墅居。
同悦湾璟庭售楼处电话☎:400-882-8814(预约热线)✔✔✔青浦新城与朱家角的配对,成就了纵横世纪的地脉禀赋。
同悦湾璟庭,位居青浦新城,东接虹桥国际开放枢纽,西联江浙两省的“上海之门”,与长三角一体化先行区——朱家角核心,领衔高涨能级。
同悦湾璟庭售楼处电话☎:400-882-8814(预约热线)✔✔✔同时,华为也将入驻青浦,将在西青浦打造首个产业科技园,总投资高达71亿元,年产值预计将达100亿元,势必成为华为全球领先的研发中心,驱动板块价值扶摇而上。
同悦湾璟庭售楼处电话☎:400-882-8814(预约热线)✔✔✔同悦湾璟庭位居青浦新城核心区,随着产业科技元的落地,将吸引大量高净值人群入驻,重磅利好亟待兑现。
同悦湾璟庭售楼处电话☎:400-882-8814(预约热线)✔✔✔于上海发展轨迹之上,青浦新城历经时间沉淀,焕发繁华光彩,全方位呈现高阶人居品级。
项目近邻青浦新城万达茂等5大旗舰级商业体,近百万方商业在握。
(图源于网络)
经淀山湖大道、崧泽高架、沪渝高速等通达上海主城,畅达长三角。
同悦湾璟庭售楼处电话☎:400-882-8814(预约热线)✔✔✔全龄段教育资源加持。上海青浦兰生复旦学校,上海平和双语学校、复旦附中(青浦分校)、朱家角中学在旁,更规划幼儿园和小学。
(免责:以上教育资源整理仅代表楼盘与学校的距离,该房屋所在项目暂未划分学区,开发商不对项目交房后所属学区、学校作任何承诺。)
同悦湾璟庭售楼处电话☎:400-882-8814(预约热线)✔✔✔
(图源于网络)
大淀湖、淀山湖、淀浦河水系在旁,课植园等6大生态氧吧环绕,成就诗意栖居。
同悦湾璟庭售楼处电话☎:400-882-8814(预约热线)✔✔✔
(图源于网络)
同时, 同悦湾璟庭售楼处电话☎:400-882-8814(预约热线)✔✔✔2km范围汇聚复旦大学附属中山医院国家医学中心青浦新城院区一期(建设中)、朱家角人民医院/长三角智慧医院等4大院区,为健康保驾护航。
(图源于网络)
30余载耕耘, 同悦湾璟庭售楼处电话☎:400-882-8814(预约热线)✔✔✔同济房产先后投资和建成项目荣获国家和省市级的鲁班奖、白玉兰奖、国家住宅示范小区等奖项,力呈大匠之心。这一次,同济房产立足青浦新城与朱家角两大门户,以朱家角为造景原理,打造【一湖 两园 两轴 八韵 十二境】,围合之内,重现东方美学。
同悦湾璟庭售楼处电话☎:400-882-8814(预约热线)✔✔✔同悦湾璟庭,执揽大淀湖湖景,成就繁华间的心灵栖居。项目以现代中式风格为基底,凝萃平坡结合手法,融入顶部挑檐及坡顶设计,全心呈现建面约117-129㎡中式叠墅、建面约85-95㎡逸境洋房,洞见大匠修为。
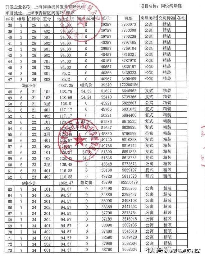
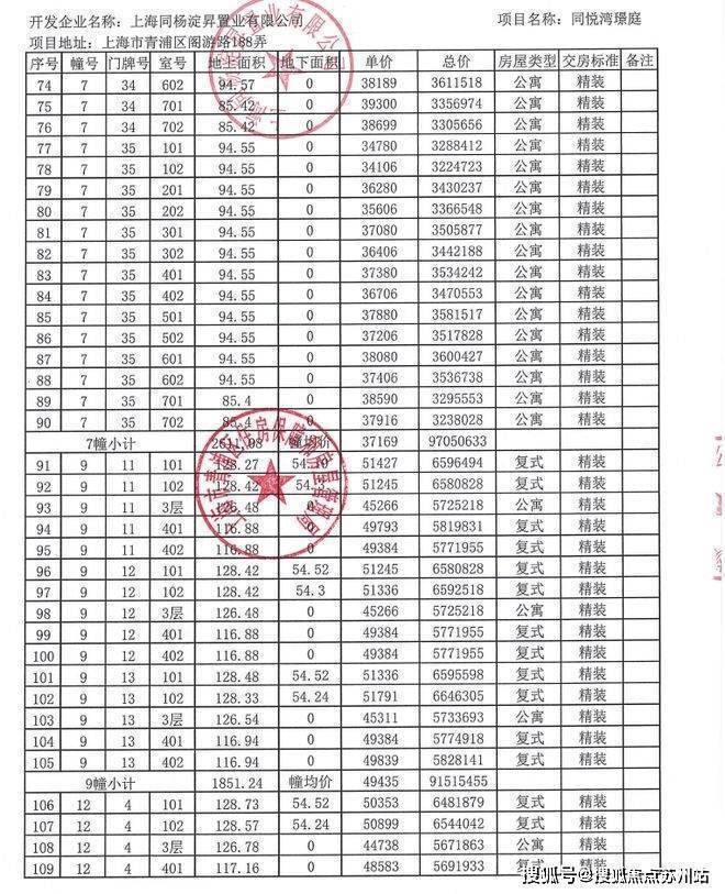
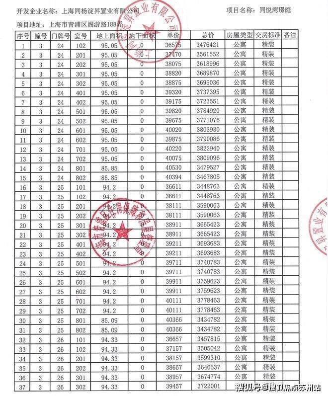
附全套一房一价表:同悦湾璟庭售楼处营销中心:400-8828-814同悦湾璟庭售楼处电话/地址☎:400-882-8814(开发商热线)
同悦湾璟庭售楼处营销中心:400-8828-814同悦湾璟庭售楼处电话/地址☎:400-882-8814(开发商热线)
上海青浦同悦湾璟庭售楼处电话:400-8828-814✔✔【预约热线】同悦湾璟庭售楼处营销中心:400-8828-814同悦湾璟庭售楼处电话/地址☎:400-882-8814(开发商热线)如有问题欢迎来电咨询,专业一对一热情服务,让您用专业眼光去买房。建面约85-129㎡洋房、叠加,指导价4.4万/㎡,青浦朱家角中式墅居,容积率仅为1.25,绿地率达35%!。
声明:本文由入驻焦点开放平台的作者撰写,除焦点官方账号外,观点仅代表作者本人,不代表焦点立场。


