灿耀星城(售楼处)首页网站-灿耀星城销售中心(营销中心)-灿耀星城楼盘欢迎您-小区环境-户型-价格-地址-楼盘详情-周边配套-售楼处电话-交房时间
扫描到手机,新闻随时看
扫一扫,用手机看文章
更加方便分享给朋友
售楼处电话☎:400-8673-567【售楼处预约热线】(一对一热情服务)
看房请务必提前致电销售确认时间,只有预约客户才能享受开发商提供的内部优惠以及专属的老客户推荐奖励!我们提供专业的一对一热情服务,助您以专业视角挑选理想的房产。
请务必报名后静待销售电话确认,确认后再行前往现场 !仅预约客户可进入销售现场,感谢您的理解和支持!
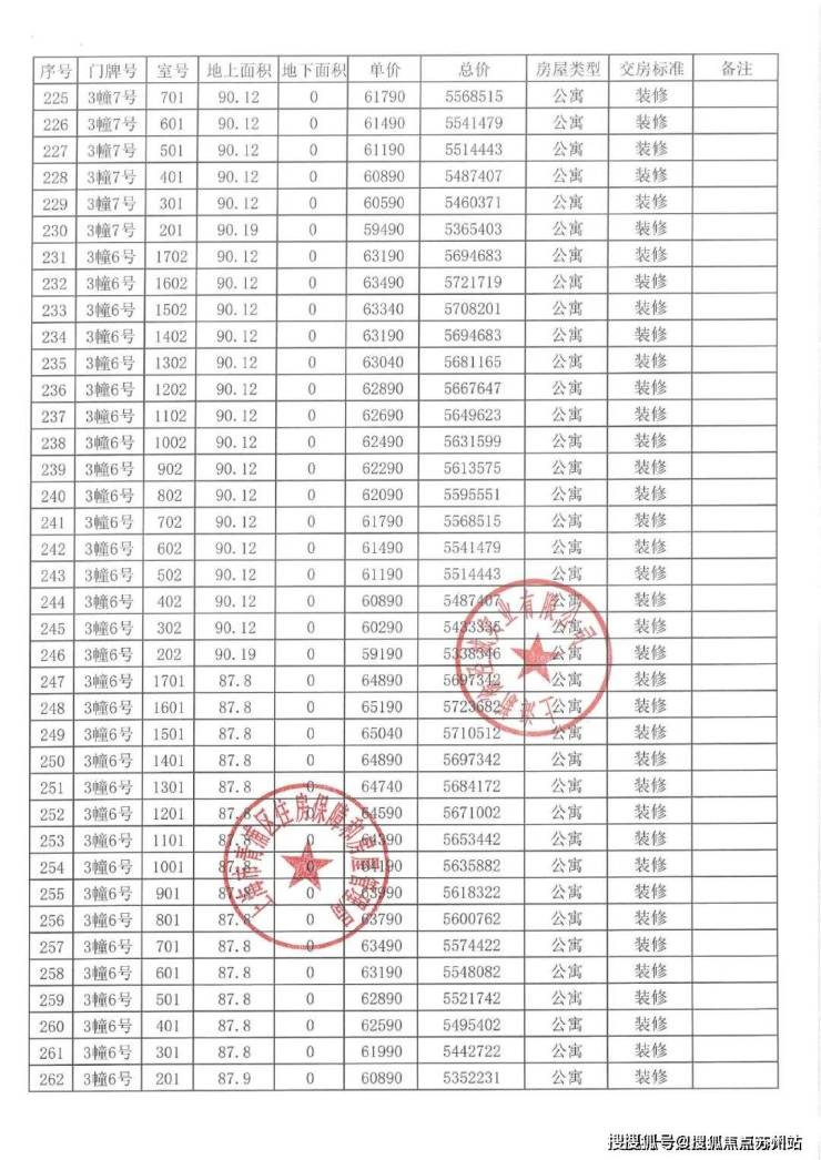
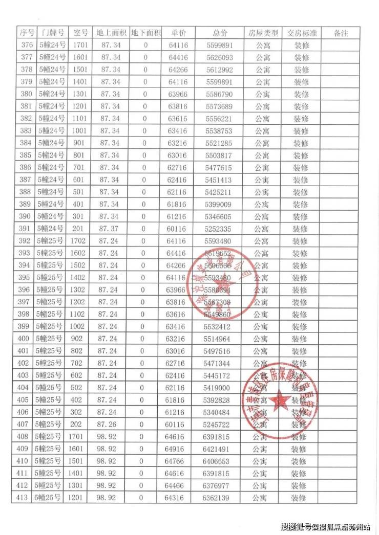
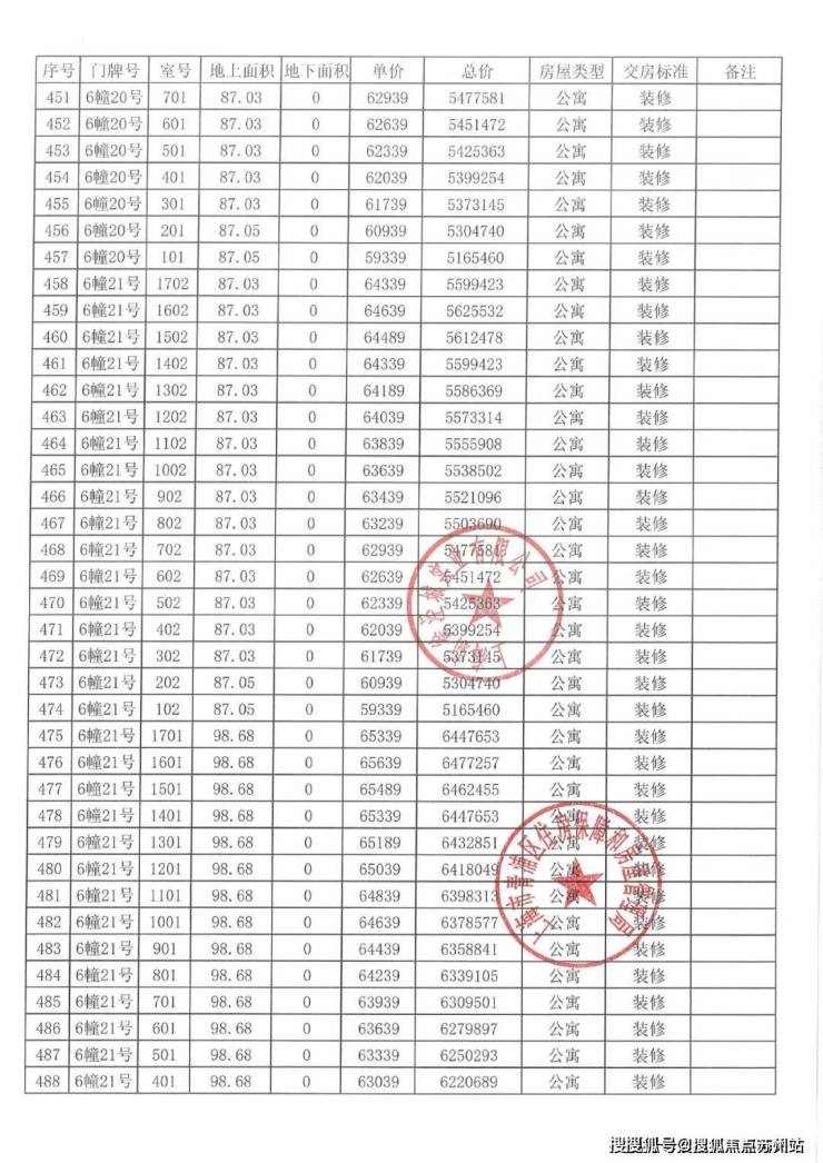
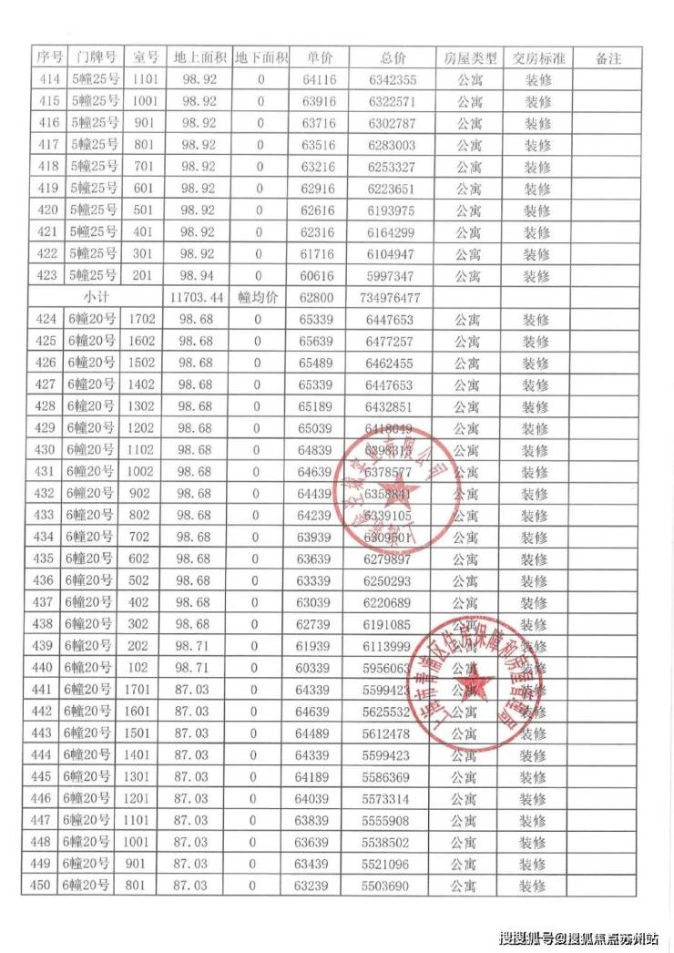
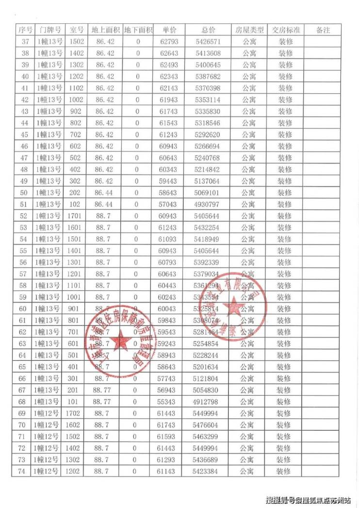
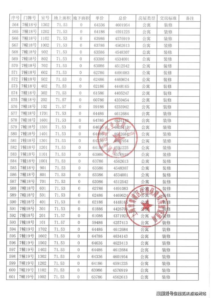
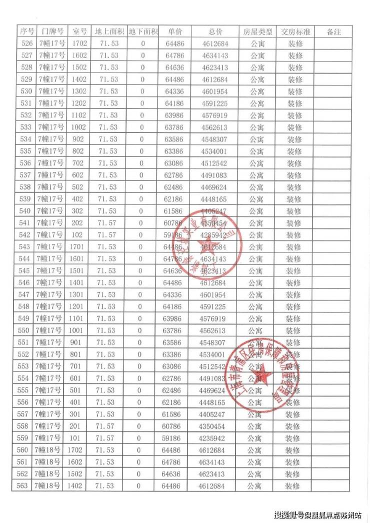
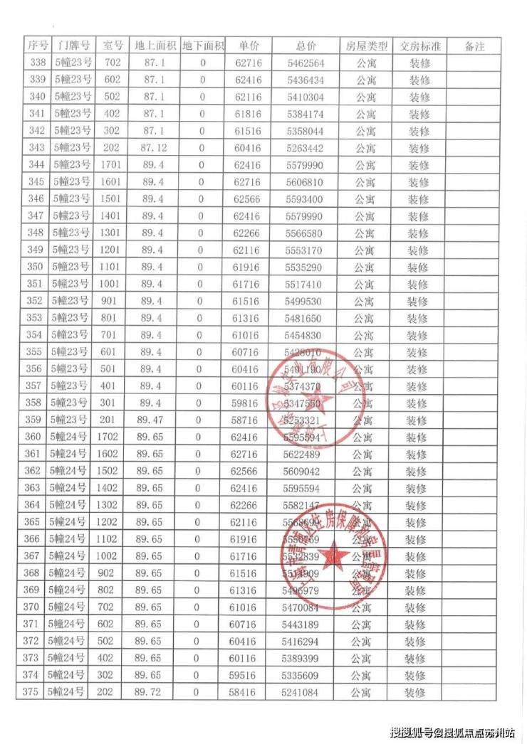
三期住宅基本信息
物业类型:高层住宅
建筑楼层:17层
推售套数:627套
得房率:约74%-78%
建筑层高:约3.15米
梯户比:两梯四户
交付标准:精装修交付,全部采用知名品牌
公共区域+卧室:日立中央空调、德国威能热水器、全屋地暖、新风系统,博世智能门锁,入户玄关柜、实木复合地板、low-E三玻两腔内置百叶窗
厨房:老板油烟机、灶台、洗碗机,海德泰克净水器,松下凉霸,厨柜组合
卫生间:TOTO智能马桶(卫洗丽)、toto台盆、高仪龙头花洒,松下暖风机,摩恩小五金,镜柜组合
阳台:电动晾衣架
所有装修品牌最终以预售合同为准!
交房时间:2024年
车位比:约1:1
小区采用人车分流设计
开发商:上海新徐泾城实业有限公司
物业:灿俊星城物业有限公司
物业费:4.05元/平/月
容积率:2.3
绿化率:35%
请务必报名后静待销售电话确认,确认后再行前往现场 !仅预约客户可进入销售现场,感谢您的理解和支持!
项目外立面是现代简约风格,采用三段式经典格局,让整个建筑立面透出明快简洁、但又富有朝气,打造的是高质轻奢社区。

项目效果图


项目效果图
社区方面景观方面,项目以现代手法结合传统精髓的创新设计与纯净的星空相互融合, 将建筑、文化、艺术与景观完美交融。筑造出星阙、星荟、星野、星际、星云、星河六大盛境,营造中央景观 “景阔似海、品如繁星”的高品质人居环境。




项目还是智能化社区,场地内增加 usb、驱蚊灯;在休闲区和儿童玩乐区会设置户外 WIFI、天使之眼、户外可移动伞座、可视对讲系统、24小时安防系统、一键呼叫等。



项目效果图
户型图及样板间赏析
项目主推建面约72-137平2-3房,建面约72平2房、建面约88平3房、建面约98平3房。项目此次加推的小户型确实难得,预算有限的刚需客也可以低总价上车大虹桥。

· 约72㎡户型:大虹桥非常臻稀的小户型,总价仅约422万起,不仅是优秀的自住过渡产品,更是低总价撬动大未来的资产配置利器!
· 约89㎡户型:大虹桥范围不到90㎡的户型大部分都只做到2房,灿耀星城该面积段实现3房功能性,让自住客户一步到位,也让该产品进入二手市场后具备降维打击的优势!
· 约99㎡户型:格局上实现南北通透+三开间朝南,采光通风效果上佳。主卧套房设计,自带卫生间,舒适度颇高!适配对品质有要求或者首改客户!
· 约137㎡户型:格局上做到了三开间朝南+南北通透,大尺度的奢阔横厅设计串联南向观景大阳台,整个公区的视野无比通透;主卧套房,保证了业主的尊崇感和私密性!
装修标准:室内三大件(地暖、新风、日立中央空调)厨房三大件(末端净水、老板洗碗机、油烟机)电动晾衣架,ToTo智能马桶等。
项目区位配套
【灿耀星城】位于虹桥中央商务区西虹桥片区徐泾正芯,总体量约55万方,以大城之势,汇聚品质住宅、活力商业、星级酒店、现代办公、幼儿园、养老院等多种业态,并以城市基建、生态建设、多元业态、产业集群、人居革新,五位一体擎动城市更繁华,赋能城市焕新升级。




自驾:三横三纵的立体式道路交通网络(三横为崧泽大道、沪青平公路、沪渝高速,三纵为沈海高速、嘉闵高架、外环高速),自驾可速至市中心和各大核心商圈
轨交:距离2号线潘祥路站(规划中)约1.5公里,距离17号线蟠龙路站约2公里,门口有多条公交直达
公交:沪青平公路明珠路站,有多条公交线路直达17号线蟠龙路站、2号线徐泾东站

成熟的现代商业集群:虹桥食尚天地、希尔顿酒店等与项目仅一路之隔,距离项目1.5KM范围内,还有夏都小镇、永业购物中心等
充满烟火气的老牌街区:京华路、盈港东路,汇聚人气美食、精品老店等
未来可期的全新商业:自带约9万方商办,近享缤纷生活

高端医疗汇聚,为健康护航:周边汇聚远大健康城(一期上海医大医院为三级非营利性综合医院,已运营)、上海德达医院、复旦大学附属华山医院(西院)、上海新虹桥国际医学中心以及徐泾卫生服务中心等。

家门口的公园,休闲打卡胜地:约4.6万方时光公园,将重新改造、统一风格,以后将成为徐泾的绿色地标、打卡胜地。


请务必报名后静待销售电话确认,确认后再行前往现场 !仅预约客户可进入销售现场,感谢您的理解和支持!
售楼处电话☎:400-8673-567【售楼处预约热线】(一对一热情服务)
看房请务必提前致电销售确认时间,只有预约客户才能享受开发商提供的内部优惠以及专属的老客户推荐奖励!我们提供专业的一对一热情服务,助您以专业视角挑选理想的房产。
声明:本文由入驻焦点开放平台的作者撰写,除焦点官方账号外,观点仅代表作者本人,不代表焦点立场。


