普陀金茂府售楼处电话→普陀金茂府-售楼中心 -2025楼盘
扫描到手机,新闻随时看
扫一扫,用手机看文章
更加方便分享给朋友
【普陀金茂府】
售楼处电话:400-8787-554(预约热线)
欢迎致电售楼处电话,专业一对一热情服务,让您用专业眼光去买房。
报名等销售电话确认后,请再前往现场
普陀金茂府普陀桃浦智创城核心位
全新国际生态住区约100万方中央绿地首排未来3轨环绕+上海中外环交通枢纽
建面约172-203㎡公园大平层均价83341元/㎡
普陀桃浦「普陀金茂府」已取证,6月1日认购!18套建面约107-203㎡3-4房,均价7.8万/㎡!
✅普陀金茂府售楼处电话:400-8787-554
✅普陀金茂府售楼处电话:400-8787-554

✅普陀金茂府售楼处电话:400-8787-554
请报名后待销售电话,确认后再前往现场 !仅预约客户可进入销售现场!
✅普陀金茂府售楼处电话:400-8787-554
✅普陀金茂府售楼处电话:400-8787-554
项目已更名,全线升级12大科技!
金茂府系列是什么级别品质,懂得都懂!
✅普陀金茂府售楼处电话:400-8787-554
金茂“府”系产品,相信大家都不陌生。
提起“金茂”两个字,大多数人的第一印象应该是那座陆家嘴标志建筑“金茂大厦”,第二印象恐怕就是“金茂府”系列产品了。
从中国金茂首座金茂府——北京广渠金茂府开始,到全国64座金茂府,十三年的时光,每座金茂府都为当地开启了新的人居体验,成为一个象征城市居住高度的时代符号。
并且从大宁金茂府到虹口金茂府再到如今的西郊金茂府,这些金茂府系的产品,无疑不是受人追捧的传奇。
✅普陀金茂府售楼处电话:400-8787-554
而归根结底,金茂还是做对了两件事:高瞻远瞩的择址眼光,以及难以复制高产品力。
而这两件事,在普陀金茂府身上体现的淋漓尽致。
之前不少人吐槽金茂在普陀的项目,不敢用金茂府,是因为产品低配;
但是万万没想到,在项目卖的快差不多的时候:
金茂·景泰府正式改名为普陀·金茂府!
9月4日,金茂正式官宣,桃浦智创城项目由“景泰府”正式升级为“普陀金茂府”。是中国金茂秉承品质筑就更美生活的开发理念,以科技、美学、精工为核心打造的普陀区首座金茂府,更名后的普陀金茂府也将全面引入 “FREE+科技系统(分户式科技系统)”,实现金茂科技住宅在不同场景的运用落地,为客户带来全新的舒适人居环境和未来生活体验。
它每一次都全力以赴,不付城市的嘱托!
如今约800万起有什么好选择?希望能赶快上车!
说实话,起初我们也很纠结,按照需求给各类小伙伴推荐了很多不同的选择。
但9月4日之后,约800万起的市场,就彻底定调了。因为,金茂府来了。
金茂上海桃浦项目(景泰府)将全面引入“FREE+科技系统(分户式科技系统)”,实现金茂科技住宅在不同场景的运用落地,为客户带来全新的舒适人居环境和未来生活体验。
金茂府落地之后
引起了全市约800万起购房者的关注
如今项目热度空前,来看现场实景:
全套户型图发布:
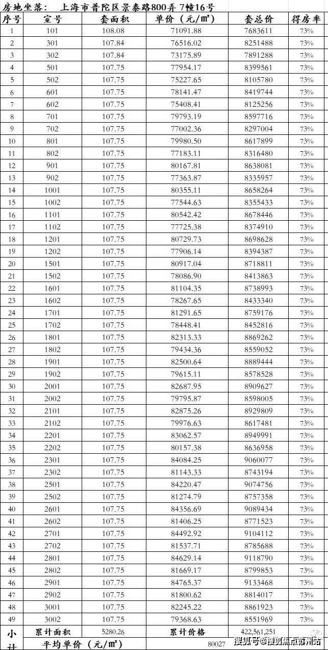
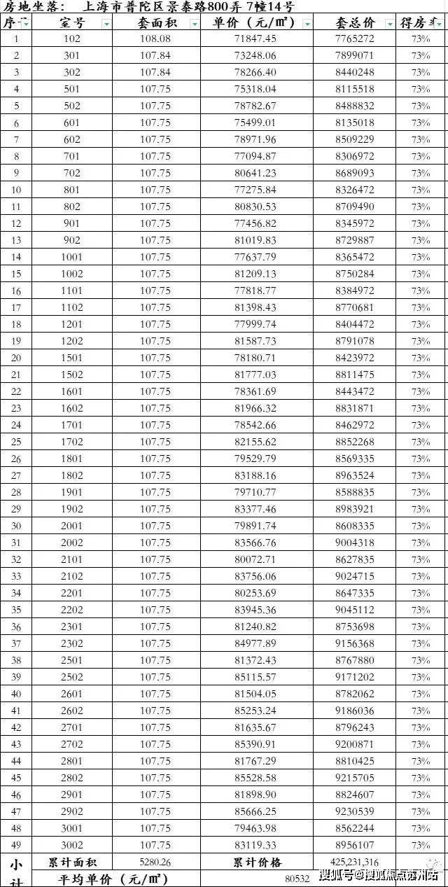
「约107㎡ 3房2厅2卫」
同样功能性与舒适性兼佳,满足每位家庭成员需求。

✅普陀金茂府售楼处电话:400-8787-554
主次卧+客厅三开间朝南,餐客厅一体化设计,主卧套房设计,卫浴、衣柜、卧室层层递进,既有空间的尺度感,又有生活的舒适性,卫浴还是全明设置,极大提高生活的舒适度。
✅普陀金茂府售楼处电话:400-8787-554
值得一提的是,小户型内部设置了精细化的收纳体系,几乎每一个可利用的空间都用起来了。
✅普陀金茂府售楼处电话:400-8787-554
「约180㎡ 4房2厅3卫」
南向大开间,大尺度横厅设计,餐客厨阳台“LDKG”一体化设计,增加空间尺度感;套房主卧集起居、衣帽、梳妆、卫浴四大功能于一体,南向阳光父母房套房,私享静谧

✅普陀金茂府售楼处电话:400-8787-554
户型示意图
✅普陀金茂府售楼处电话:400-8787-554
新政后现场热度依旧
证明了金茂府的价值
✅普陀金茂府售楼处电话:400-8787-554
✅普陀金茂府售楼处电话:400-8787-554
✅普陀金茂府售楼处电话:400-8787-554
✅普陀金茂府售楼处电话:400-8787-554
✅普陀金茂府售楼处电话:400-8787-554
附项目外立面实景以及景观示范区实景照片:

✅普陀金茂府售楼处电话:400-8787-554
普陀金茂府售楼处电话:400-8787-554
普陀金茂府售楼处电话:400-8787-554
普陀金茂府售楼处电话:400-8787-554
普陀金茂府售楼处电话:400-8787-554

其实早在项目土拍阶段,普陀金茂府就要求不低于4000元/平方米精装。
小区还必须要有使用面积不低于2000㎡的会所,室内装修也要用国际一线品牌。
这一次项目采用了施工难度大,成本高的德国超低能耗建筑。
还通过每户配备独立的新风系统、空调和地暖,尽可能的降低建筑能源消耗,充分利用可再生能源,从而以最少的能源消耗提供最舒适的室内环境。
产品户型上,项目目前有建面约172-203㎡公园大平层在售!
普陀金茂府售楼处电话:400-8787-554
约172㎡和180㎡的4房3卫的户型,南向五开间朝南,整体的采光度、尺度感堪比别墅。
双套房以及入户大玄关的设计,更大程度的保证了主人的私密空间。对于追求改善的小伙伴来说,这样的宽绰型4房,能让您真正的一步到位。
约203㎡4房,西侧打造了超大景观视野,可直面桃浦中央绿地,光这个景观和视野,就能让这个户型成为未来所有桃浦人,梦想中的大宅。
择址上海新一代国际生态居住区
普陀金茂府仅为拓高上海人居价值而来!
大宁,上海中环线如今的扛鼎者。
嘉定新城,如今五个新城中如今热度更高的新城。
发现了吗?金茂府总是择址在各个城市发展的节点之上,这高瞻远瞩的择址眼光是金茂府成功的又一大原因。
而本次,普陀金茂府落地与普陀桃浦智创城内,这是一个比前滩更有想象力的潜力之地。

普陀金茂府售楼处电话:400-8787-554
首先,桃浦与前滩一样,是上海中心城区为数不多的空白土地,所以政府在这片土地之上,放肆的规划了相当高能级的蓝图。
并且,几点关键性的板块发展维度,例如:规划人口、约207万方商务办公用地、教育科研设计用地、基础教育设施用地、文化用地以及医疗等,体量甚至比前滩更大。(数据来源:桃浦智创城 官方网站)
并且能级超高,我们从目前已经公示的教育、医疗等资源中就能感受到一些:
首先,教育方面:区域内如今已拥有上海安生学校(原上海托马斯实验学校)、上外附属普陀实验学校、上海儿童世界基金会普陀幼儿园等全龄教育资源。
除此之外,区域内还有一所9年一贯制学校,值得期待。

普陀金茂府售楼处电话:400-8787-554
项目周边的幼儿园、小学、中学等教育设施(如有)是城市公共生活配套的重要组成部分。本项目销售过程中,部分展示与介绍可能涉及项目周边已有或规划中教育设施,但并非项目所在的学区,本项目不承诺任何学区,介绍此信息旨在帮助客户更全面的了解项目周边条件,并不代表我公司对此提供保证。
医疗资源方面:西部区域医疗中心将于明年底在桃浦开工建设。
这一项目被列入普陀区卫生健康“十四五”规划重点项目之一,总建筑面积达25万平方米。是主城区少有的集医疗、教学、科研、预防于一体的大型综合性医院。并且,有望引进四大三甲医院(华山、仁济、瑞金、中山)代为运营。
除此之外,桃浦智创城还有非常高端的养老配套:国华康养中心。
占地面积约1.4万平方米,投资建设金额达7亿元。未来这里将成为普陀区内一个“康、养、医”一体化的养老服务新高地,也为区内重点产业之一的生命健康产业增添了新的强劲发展极。(数据来源:上海普陀发布)
普陀金茂府售楼处电话:400-8787-554
这片区域的配套能级和想象空间,甚至比前滩更高。
而普陀金茂府位于占据着这片区域更为核心的C位。
首先,项目位于约100万方桃浦中央绿地首排:
项目效果图
生态是桃浦的立身之本,尤其是桃浦中央绿地,其体量和能级甚至超越了上海城芯其余四座已经成熟的公园绿地。(数据来源:桃浦智创城 官方网站)
普陀金茂府售楼处电话:400-8787-554
这块绿地打破了国内许多公园的固有模式,陆桥和隧道在满足基础道路设施需求的同时,还创造出一个庞大且连续的公园。
对于普陀金茂府的业主而言,未来推窗就能看到这座上海更加庞大且独具特色的生态绿肺!而这样的窗外风景,决定普陀金茂府独一无二的价值。
除此之外,项目周边还环绕着三条轨交:
项目距离11号线祁连山南路直线约1.5km、距离15号线古浪路站,约2.1公里。
上车后,真如、徐家汇、江苏路、静安寺、豫园、陆家嘴等区域,都是业主未来的生活圈。
而在远期规划中,核心区还会有20号线的规划。
总的来说,三条轨交+中环+外环+上海西站的交通枢纽,为普陀金茂府串联起了上海西北以及上海中心城区更重要的几大节点板块。
再加上普陀智创城自身所拥有的完善生态、商业配套能级,项目纵享城心繁华。
在2023年更好的置业契机下
遇到了上海又一座金茂府
总价约800万起
买市面上地段更好、配套更完善、产品更佳的
优质红盘!
普陀金茂府火热在售中
【普陀金茂府】
售楼处电话:400-8787-554(预约热线)
欢迎致电售楼处电话,专业一对一热情服务,让您用专业眼光去买房。
报名等销售电话确认后,请再前往现场
声明:本文由入驻焦点开放平台的作者撰写,除焦点官方账号外,观点仅代表作者本人,不代表焦点立场。


